Конспект_ОПиЭНТО_ч2 (1060536)
Текст из файла
5. Погрешность кинематическИХ цепЕЙ
Погрешностью кинематической цепи Δφ называется отклонение фактической величины перемещения φф от расчётной φр (регламентированной):
Такой вид погрешности называется абсолютной погрешностью, т.к. математически определяется по абсолютной величине.
Используется также такой показатель как относительная погрешность δφ, которая определяется
.
Источниками погрешности являются первичные погрешности, которые возникают после изготовления, сборки и эксплуатации на деталях, входящих в кинематическую цепь, например, на зубчатых колёсах или на валах, на которых колёса расположены и т.п.
Например, среди источников первичных погрешностей зубчатых колёс можно выделить:
- радиальное биение оси делительной окружности зубчатого колеса;
- радиальное биение поверхности вала (оси) на которую монтируется зубчатое колесо;
- накопленная погрешность шага зубьев цилиндрического зубчатого колеса
и так далее.
Расчёт кинематической погрешности цилиндрической передачи заключается в нахождении угловой погрешности в зависимости от радиального биения зубчатого колеса (см. расчётную сему на рисунке 11)
Исходные данные:
- D1 диаметр делительной окружности зубчатого колеса, имеющего радиальное биение;
- е радиальное биение;
- D2 диаметр делительной окружности эталонного зубчатого колеса;
- φ угол поворота первого зубчатого колеса.
Решение:
Длина окружности первого колеса, рассчитанная с учётом радиального биения е
= π (
Погрешность длины окружности 1-го колеса
Δ
=
Рисунок 11 _ Расчётная схема
Из пропорции
можно получить формулу, описывающую угловую погрешность в зависимости от величины радиального биения e
Для оценки величины погрешности кинематической цепи решаются две основные задачи:
- прямая задача, когда определяют суммарную погрешность цепи по известным погрешностям составляющих;
- обратная задача, когда оцениваются погрешности составляющих кинематической цепи по известной суммарной погрешности
5.1. Прямая задача расчёта кинематической цепи
Суть прямой задачи отражена на рисунке 10: по известным погрешностям звеньев кинематической цепи найти суммарную погрешность всей цепи.
Решение прямой задачи на этапе проектирования привода установки позволяет:
- рассчитать ожидаемые погрешности для всех вариантов структуры кинематической цепи;
- оценить правильность выбора структуры кинематической цепи;
- определить последовательность расстановки передач в цепи с целью минимизации суммарной погрешности
Рисунок 10 – Прямая задача
Суммарная кинематическая погрешность
определяется так:
j · ij
где
– погрешность j-того звена (элемента) кинематической цепи;
- произведение передаточных коэффициентов передач, расположенных в кинематической цепи после j-того звена (элемента).
В зависимости от полноты знаний о погрешностях составляющих кинематической цепи, формула для оценки суммарной погрешности
будет считаться по-разному.
В качестве примера рассмотрим кинематическую цепь, представленную на рисунке 12.
а) если известны погрешности передач, т.е. j =mn – суммарная погрешность j-той передачи (например, передачи zm / а zn), тогда
б
) если известны погрешности каждого зубчатого колеса, т.е. j – погрешность j-того зубчатого колеса (например, передачи Zm или Zn)
Рисунок 11 – Кинематическая цепь
Анализируя полученные выражения для суммарной погрешности, можно сделать следующий вывод:
- для кинематической цепи, у которой все передачи являются редуцирующими, кинематические звенья (передачи), с наибольшей угловой погрешностью, следует размещать ближе к начальному звену;
- для этих же кинематических цепей предпочтительно размещать все передачи по степеням редукции, то есть передачи с наименьшим передаточным коэффициентом i следует располагать ближе к ведомому (выходному) звену.
Пример.
Определение минимального значения суммарной погрешности кинематической цепи состоящей из трёх передач, характеристики которых приведены ниже. Расставьте передачи в последовательности, обеспечивающей на выходном звене минимум суммарной погрешности.
Исходные данные
Передачи, входящие в кинематическую цепь:
i1= 32/40 (максимальная погрешность передачи: 1=1,5 угл.мин);
i2=30/40 ( 2=1,6 угл.мин),
i3=30/48 ( 3=2,1 угл.мин)
Решение (приведено в таблице 6)
| Передачи | Суммарная погрешность | ||
|
| 1-2-3 | 3,803 | |
|
| 1-3-2 | 3,878 | |
|
| 2-1-3 | 3,837 | |
|
| 2-3-1 | 3,980 | |
|
| 3-1-2 | 3,985 | |
|
| 3-2-1 | 4,040 | |
|
| 3,803 | ||
Основными способами снижения кинематической погрешности являются:
-
Повышение точности изготовления и сборки элементов привода. Достигается за счёт применения в техпроцессе более точного оборудования, что сопряжено со значительными материальными затратами.
-
Размещение звеньев кинематической цепи по степеням редукции. Зубчатые пары с наименьшим передаточным отношением i необходимо размещать ближе к выходному звену. Наименее точные передачи – ближе к ведущему звену
-
Использовать корректирующие устройства.
На рисунке 12 приведена схема корректирующего устройства, предназначенного для снижения погрешности шага ходового винта.
1 – столик; 2 – ходовой винт; 3 – гайка; 4 – рычаг; 5 – ролик; 6 – корректирующая линейка.
Рисунок 12 – Корректирующее устройство погрешности шага ходового винта.
Принцип действия устройства. При вращении ходового винта 2 гайка 3 перемещается поступательно. Вместе с гайкой перемещается столик. Погрешности шага ходового винта 2 компенсируются с помощью корректирующей линейки, рычага 3 с роликом 5, находящимся в контакте с линейкой 6, профиль которой выполнен по результатам измерений погрешностей шага винта 2. Ролик 5, поднимающийся (опускающийся) согласно профилю линейки 6, поворачивает гайку 3. Этот поворот на винте сообщает гайке 3 перемещение, равное погрешности шага ходового винта 3. Корректирующая линейка 6 изготавливается для конкретного ходового винта и учитывает его погрешности изготовления.
5.2. Обратная задача оценки кинематической погрешности
Суть обратной задачи состоит в оценке погрешности составляющих кинематической цепи по известной суммарной погрешности. Графически существо этой задачи отражено на рисунке.
Решение обратной задачи на этапе эксплуатации установки позволяет:
- оценить состав погрешности нового, главным образом, импортного, редуктора;
- принять решение о качестве редуктора
Рисунок 13 – Обратная задача
При обратной задаче используется метод гармонического (спектрального) анализа суммарной погрешности. Он позволяет по экспериментальным данным, полученным на выходном звене отдельной передачи (или кинематической цепи в целом), определить (оценить) погрешности каждого элемента (звена), входящего в данную передачу (цепь).
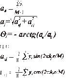
Погрешности кинематической цепи, состоящей из передач вращения, хорошо описываются периодическими тригонометрическими функциями, например, угловая погрешность j-того зубчатого колеса может быть описана как
=
Спектральный анализ представляется в виде тригонометрического ряда Фурье
.
=
Расчёт значений
,
и
:
Зная составляющие суммарной погрешности можно выработать стратегию компенсации наибольшей погрешности.
6. Динамика привода
Динамика привода посвящена рассмотрению колебаний (вибраций) элементов привода.
Различают колебания:
- свободные (собственные) – представляющие собой колебания системы, мгновенно выведенной из равновесия; система при этом будет колебаться с собственной частотой;
- вынужденные колебания - вызываются внешней постоянно действующей периодической силой; система будет колебаться с частотой вынужденных колебаний;
- автоколебания – вызываются внешними силами непериодического действия; классический пример – в часах с гирями, маятник колеблется за счёт постоянно действующей силы веса гири;
- параметрические колебания – происходят при периодическом изменении системы (например, когда меняется положение шпоночного паза).
Наиболее характерные источники вынужденных колебаний валов и рекомендации по определению частоты их колебаний приведены в таблице 7.
Таблица 7 - Источники и частота вынужденных колебаний параметрического характера.
| Собственные источники вынужденных колебаний | Частота вынужденных колебаний |
| шарикоподшипники |
|
| шпоночный паз на валу |
|
| дисбаланс (биение) вала |
|
Колебания описываются дифференциальными уравнениями.
Дифференциальное уравнение собственных (свободных) колебаний вала описывает колебания вала, выведенного из состояния равновесия мгновенной силой (на рисунке 14 не показана).
Характеристики
Тип файла документ
Документы такого типа открываются такими программами, как Microsoft Office Word на компьютерах Windows, Apple Pages на компьютерах Mac, Open Office - бесплатная альтернатива на различных платформах, в том числе Linux. Наиболее простым и современным решением будут Google документы, так как открываются онлайн без скачивания прямо в браузере на любой платформе. Существуют российские качественные аналоги, например от Яндекса.
Будьте внимательны на мобильных устройствах, так как там используются упрощённый функционал даже в официальном приложении от Microsoft, поэтому для просмотра скачивайте PDF-версию. А если нужно редактировать файл, то используйте оригинальный файл.
Файлы такого типа обычно разбиты на страницы, а текст может быть форматированным (жирный, курсив, выбор шрифта, таблицы и т.п.), а также в него можно добавлять изображения. Формат идеально подходит для рефератов, докладов и РПЗ курсовых проектов, которые необходимо распечатать. Кстати перед печатью также сохраняйте файл в PDF, так как принтер может начудить со шрифтами.
1-2-3 .
, где z – число шариков в подшипнике, nв – частота вращения вала [об/мин], d и D – диаметры внутренней и внешней дорожек подшипника [мм]
[c-1]
[c-1]















