ВКР А.Ю Гагарин (1052300), страница 5
Текст из файла (страница 5)
Основные характеристики используемого сервера:
1. Процессор: четырехядерный, Intel Xeon E5320, 2,86ГГц.
2. Память: 1024 МБ, 887МГц (максимальный объем 64ГБ).
3. Диски SAS или SATA: до 4,0Тб.
4. Наличие технология предсказания сбоев.
В процессе работы с устройством используют специальное программное обеспечение - IBM Director 6.2 и IBM Systems Director Active Energy Manager.
Устройство резервирования информации в сети - система IBM System DS3200, имеющая необходимое ПО.
Параметры данной системы представлены ниже:
1. Масштабируемость: до 3,6 Тб при взаимодействии с дисками SAS объемом до 300 Гбайт.
2. Упрощенная процедура развертывания по средствам программного обеспечения DS3000 Storage Manager.
3. Дополнительное подключение до трех дисков EXP3000 совокупным объемом 16,4 Тбайт.
Выбранный источник бесперебойного питания - АРС SMT1000RMI2U.
Его внешний вид приведен на рисунке 4.1.
Рисунок 4.1 – Внешний вид ИБП АРС SMT1000RMI2U
SMT1000RMI2U - источник бесперебойного питания для монтажа в стойку высотой 2U APC Smart-UPS 1000VA/670W, RM 2U, Line-Interactive, LCD, Out: 220-240V 4xC13 (2-Switched), SmartSlot, USB, COM, HS User Replaceable Bat, Black, 3(2) y.war. (REP: SUA1000RMI1U, SUA1000RMI2U).
Основные технические характеристики ИБП приведена в таблице 4.3.
Таблица 4.3 - Технические характеристики SMT1000RMI2U
| Производитель | APC |
| Артикул | SMT1000RMI2U |
| Выход | |
| Максимальная выходная мощность | 700 Ватт / 1000 ВА |
| Максимальное задаваемое значение мощности | 700 Ватт / 1000 ВА |
| Номинальное выходное напряжение | 230V |
| Искажения формы выходного напряжения | менее 5% при полной нагрузке |
| Выходная частота (синхронизированная с электросетью) | 47-53 Гц для номинала в 50 Гц, 57-63 Гц для номинала в 60 Гц |
| Другие выходные напряжения | 220, 240 |
| Топология | линейно-интерактивный |
| Тип формы напряжения | Синусоидальный сигнал |
| Вход | |
| Номинальное входное напряжение | 230V |
| Входная частота | 50/60 Гц +/- 3 Гц (автоматическое определение) |
| Тип входного соединения | IEC-320 C14 |
| Диапазон входного напряжения | 160 - 286В |
| Изменяемый (устанавливаемый) диапазон входного напряжения | 151 - 302В |
| Другие значения входного напряжения | 220, 240 |
| Батареи и продолжительность автономной работы | |
| Тип батареи | Необслуживаемая герметичная свинцово-кислотная батарея с загущенным электролитом : защита от утечек |
| Типовое время перезарядки | 3 часов |
| Коммуникационные средства и средства администрирования | |
| Интерфейсный порт | Последовательный порт RJ-45, Разъем SmartSlot, USB |
| Защита от всплесков напряжения и фильтрация шумов | |
| Дополнительные параметры | |
| Масса | 28,18кг |
| Размеры | 89 x 432 x 457 мм |
| Температурный режим рабочий | 0 - 40 °C |
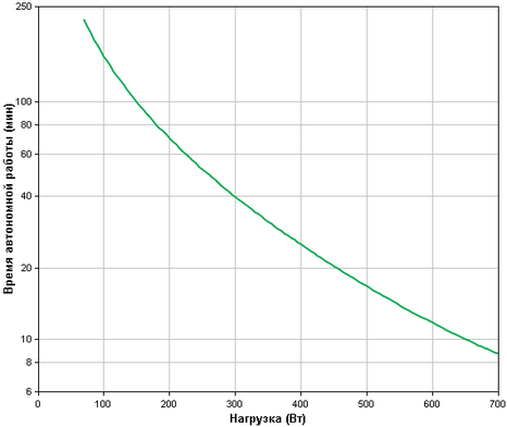
Диаграмма времени автономной работы выбранного ИБП приведена на рисунке 4.2.
На плакате 12 изображен фасад ТК шкафа с используемым оборудованием.
Обобщенная структурная схема проекта приведена на плакате 13.
Рисунок 4.2 - Диаграмма времени автономной работы выбранного ИБП
4.2.2 Выбор программного обеспечения
4.2.2.1 Выбор операционной системы
Основные варианты операционных систем: система на базе ядра LINUX и система на базе ядра WINDOWS.
Следует выбирать систему WINDOWS, если имеется необходимость легко конфигурировать программное обеспечение [1]. Недостатками серверов на базе операционных систем Windows является завышение требований к ресурсам, уязвимость для DoS-атак, нестабильная работа в сети. Учитывая требования руководства компании, использоваться будет операционная система на базе ядра LINUX.
Проектируемая сеть должна давать для пользователей возможность выхода в глобальную сеть Интернет. Данная возможность реализуется при помощи сервера-шлюза, базирующегося на операционной системе LINUX.
Главные задачи, которые должен решать сервер-шлюз - это обеспечение пользователям сети доступа в Интернет, учеты трафика за каждым пользователем, а так же защита локальной сети от внешних атак [12].
Разделение и учет трафика можно организовать двумя способами: настройкой маршрутизации вместе с билингвой системой или с применением прокси-сервера. Обе схемы имеют равное значение и применимы очень широко.
Общий принцип применения прокси-сервера выражен в том, что пользователь локальной сети прописывает в браузере IP и порт прокси-сервера, а затем все запросы браузер переводит на определенный порт LINUX сервера. Итак, можно сделать вывод, что учет производится по всем протоколам и портам, не понижает производительность сервера при динамической работе пользователей в интернете.
4.2.2.2 Выбор билингвой системы
Сравним два вида интернет-шлюзов: на базе платформы Microsoft Windows и на базе платформы Linux.
На рынке имеется множество продукции на базе данных платформ. Рассмотрим самые популярные.
1. KERIO CONTROL (WINDOWS).
Возможности данного программного обеспечения включают:
-
возможность управления полосой пропускания;
-
надежную защиту от хакерских атак;
-
DHCP, DNS серверы;
-
кеширующие PROXY сервера;
-
мощный инструмент управления доступом в сеть Интернет;
-
антивирусное ядро;
-
авторизацию пользователей;
-
гибкую настройку и удобное управление.
После изучения характеристик данного программного обеспечения, делаем вывод, что эта модель удобна в настройке, может создавать временные зоны пользователей. Однако, данная модель зависит от свойств операционной системы WINDOWS. Стоимость на 20 человек составляет 120 000 рублей без учета стоимости операционной системы WINDOWS.
2.TRAFFIC INSPECTOR (WINDOWS).
Преимущества данного программного обеспечения заключаются в:
-
наличии лицензии ФСТЭК на осуществление деятельности по разработке, производству систем защиты информации;
-
многоуровневой защите трафика: в составе Traffic Inspector имеется система блокирования высокой активности, защищающая от неизвестных вирусных программ;
-
простоте установки и функционирования программного обеспечения, которое работает на ОС Microsoft Windows, при этом не требуя специфических настроек;
-
наличие маршрутизации трафика нескольких провайдеров.
Сделаем вывод, что данная модель удобна при настройке, которая осуществляется через административную панель. Однако, данное программное обеспечение зависимо от возможностей ОС WINDOWS. Стоимость на 20 человек - 82 000 рублей без учета цены операционной системы WINDOWS.
3. TRAFFPRO OFFICE (LINUX PACKAGE).
С помощью данного программного обеспечение решаются вопросы:
-
защиты сети от внешних угроз;
-
использования резервирования каналов;
-
использования одновременно более двух провайдеров;
-
ограничения доступа пользователей сети к развлекательным ресурсам;
-
балансирования трафика между пользователями сети для увеличения качества использования каналов;
-
блокирования вирусной активности [20].
Сделаем вывод по данному программному обеспечению.
Данная программа имеет возможность установки с помощью исходников на установленную систему LINUX (FEDORA, UBUNTU) через запуск автоматических скриптов установки. Все необходимые программы установки скачиваются в автоматическом режиме. Пользователь имеет возможность в процессе установки указывать сетевые интерфейсы. Программное обеспечение TRAFFPRO требует от пользователя базовых знаний операционной системы LINUX. Рассматриваемая программа не перегружена большим количеством служб и способна функционировать на слабых конфигурациях ПК. Цена на 20 человек составляет 25 000 рублей.
Подведем промежуточные итоги.
Проанализировав аппаратные и программные средства с учетом требований технического задания, сформирован список используемого активного сетевого оборудования и ПО:
1. Для программной реализации выбор остановлен на платформе SuperMicro SYS-5016I-MR с ОС на ядре Linux как максимально производительное решение при проектировании программного маршрутизатора.
2. Коммутатор второго уровня Cisco Catalyst 3750G-12S-S с числом портов 48, наличием протокола 802.1Q, высокой скоростью коммутации, оснащенный модулями SFP для возможного подключения к волоконно-оптической линии связи [19].
3. Оборудование и материалы для монтажа: шкафы, кабели и розетки, выполняющие требования стандарта IEEE 802.3.
4. Программный Интернет-шлюз Traffpro office способен обеспечить требуемую функциональность, прост в установке и относительно недорог. Наличие функции балансировки каналов позволяет сохранять доступ к сети Интернет.
4.3 Расчет надежности активного оборудования ЛВС
Под надежностью системы (в рассматриваемом случае, компоненты системы – это совокупность активного оборудования проектируемой сети) следует понимать ее способность выполнять заданные функции с заданным качеством в течение некоторого промежутка времени в определенных условиях. Изменение состояния системы, которое влечет за собой потерю указанного свойства, называется отказом. По теории надежности отказы рассматриваются как случайные события. Интервалом времени от момента включения до первого отказа является случайной величиной, называемой «Время безотказной работы».
Интегральная функция распределения этой случайной величины, представляющая собой (по определению) вероятность того, что время безотказной работы будет менее t , обозначается Q(t) и имеет смысл вероятности отказа на интервале 0... t . Вероятность противоположного события - безотказной работы на этом интервале - равна:
p(t)=1- Q(t). (4.1)
Удобной мерой надежности элементов и систем является интенсивность отказов Q(t), представляющая собой условную плотность вероятности отказов в момент t , при условии, что до этого момента отказов не было. Между функциями
и p(t) существует взаимосвязь.
. (4.2)
В период нормальной эксплуатации (после приработки, но еще до того, как наступил физический износ) интенсивность отказов примерно постоянна
. В этом случае:
. (4.3)
Таким образом, постоянной интенсивности отказов, характерной для периода нормальной эксплуатации, соответствует экспоненциальное уменьшение вероятности безотказной работы с течением времени.
Среднее время безотказной работы (наработки на отказ) находят как математическое ожидание случайной величины «время безотказной работы»
. (4.4)















