Электронные лекции (1051336)
Текст из файла
-
Принцип и особенности реализации СТМ-литографии для модификации поверхности.
СТМ литография делится на множество способов, но самый несложный это:
- модификация поверхности при помощи сканирующего туннельного микроскопа, заключающаяся в конкретном силовом воздействии СТМ зонда на поверхность, что приводит к образованию ямки на поверхности образца, но при этом может повреждаться и сам зонд.
Чтобы этого избежать был создан метод воздействия на поверхность, который заключается в том, что:
на образец подается импульс тока высокой плотности или электрического поля высокой напряженности. Поверхность образца под зондом при этом может расплавляться и даже частично испаряться. Зонд сканирующего туннельного микроскопа может перемещать частицы материала по поверхности образца, удалять их оттуда, управлять большими молекулами и даже отдельными атомами.
2 Локальное анодное окисление при формировании наноструктур. АСМ анодно-окислительная литография.
Сканирующая зондовая литография в основе которой лежит локальное анодное окисление применяется для образования микро- и наноструктур определенной конфигурации на поверхности металлов и полупроводников.
С использованием атомно-силового микроскопа локальное анодное окисление происходит на воздухе с высоким уровнем влажности, вследствие чего на поверхности адсорбируется тонкий слой воды. Приближая проводящий зонд (кантилевер) атомно-силового микроскопа к поверхности , формируется капиллярный водяной мостик между кончиком иглы кантилевера и поверхностью. Подавая на зонд напряжения в несколько вольт вблизи кончика иглы создается поле порядка 108–1010 В/м, под действием которого происходит электрохимическая реакция – диссоциация молекул воды на протоны Н+, анионы О–2 и ОН–, далее образуется оксид, т.к. ионы реагируют с поверхностью подложки. После реакции объем оксида больше объема исходного материала подложки, вследствие чего на поверхности формируются выступы - увеличенные в объеме участки поверхности, которые можно увидеть с помощью атомно-силового микроскопа.
3 Принцип реализации АСМ силовой литографии для модификации поверхности.
АСМ контактирует с образцом непосредственно силовым взаимодействием, которое может происходить несколькими способами - динамическим воздействием (нанoчеканка) и статическим воздействием (нанoгравировка).
Метод гравировки - это способ нанесения рисунка на поверхности предмета. Но в отличии от обычной гравировки, наноргравировка имеет нанометровое разрешение и осуществляется с помощью использования сканирующих зандовых микроскопов. Пользуются методом обычной контактной силовой микроскопии. Суть этого метода заключается в том, что зонд микроскопа перемещается по поверхности подложки с большой силой прижима. В результате этого возникает рисунок, сформированный углублениями (царапинами). Этот метод работает на принципе вспашки: материал извлекается из подложки определенным образом, в процессе чего остаются канавки с сечением соответствующим формой кончика зонда.
Реализация силовой литографии требует определенные условия:
-
твердость материала зонда была выше твердости образца
-
не должно происходить налипание частиц материала подложки на зонд
-
не должно происходить залипание кантилевера
-
шероховатость образца должна быть небольшой
Динамическая силовая литография (нанoчеканки). Принцип этого способа заключается в следующем: модификация поверхности происходит за счет формирования углублений на поверхности образца колеблющимся зондом, при этом используется прерывисто-контактный метод сканирования. Такой метод нанолитографии свободен от торсионных искажений и дает возможность производить визуализировать сформированный рисунок, не повреждая при этом ни пожложку, ни слой резиста. Кратковременное «укалывание» поверхности также защищает зонд от быстрого разрушения.
Векторное или растровое сканирование - это еще один способ динамической литографии. Векторная литография осуществляется по заранее заданному рисунку.
В отличии от векторной литографии растровая осуществляется более медленно, т.к. при ее проведение сканирование осуществляется по всей площади участка подложки, на которой формируется рисунок, однако она позволяет осуществлять различное (в зависимости от рисунка шаблона) по силе воздействие зонда на подложку.
4 Измерение твердости тонких пленок методом наноиндентирования. Система регистрации изгиба зондового датчика.
Шероховатость поверхности. Известно, что шероховатость изучаемой поверхности существенно влияет на достоверность результатов наноиндентирования. Так в одном из литературных источников было установлено, что чем шероховатость поверхности меньше, тем твердость материала (Ni) выше (см. Рис.8).
Рис.8
Для снижения ее роли в измерениях используется очевидный прием: усреднение результатов по большому количеству отдельных тестов, проведенных в эквивалентных условиях.
5 Наноиндентирование поверхности. Кривые нагрузки-разгрузки. Упругие и пластические деформации.
Метод наноиндентирования заключается в прецизионном нагружении плоской поверхности образца индентором с одновременной регистрацией усилия внедрения Р и глубины внедрения h, что позволяет локализовать деформацию в субмикронной области исследуемого материала. Индентирование позволяет определить модуль упругости и нанотвердость поверхности образца.
Принцип:
Наконечник индентора, перпендикулярный к поверхности образца, вдавливается в него, путем приложения возрастающей нагрузки до предварительно заданной величины. Выдерживается заданное время при максимальной нагрузке, и затем постепенно снижают её. При этом вдавленный материал, под индентором, частично возвращается в свое исходное состояние. Таким образом, происходит упругопластическая деформация материала, т.е. испытываемый материал деформируется (вдавливается), под воздействием индентора, однако в конце стадии деформации в материале наблюдается частичное упругое восстановление.
Рис.3 hmax – максимальная глубина отпечатка при максимальной нагрузке Рmax , hf - глубина проникновения индентора после снятия нагрузки, hc – контактная глубина отпечатка при максимальной нагрузке на индентор.
По результатам индентирования строится так называемая P-h-диаграмма
Анализ P-h-диаграмм позволяет исследовать влияние масштабного фактора на механическое поведение материалов, а также при помощи специальных методик определять ряд величин, характеризующих механические свойства изучаемых материалов. Чаще всего для этого пользуются методикой Оливера-Фарра.
Суть этого метода состоит в аппроксимации начального участка разгрузочной кривой степенной функцией:
Pmax=B(h–hf)m,
(где Рmax — максимальная нагрузка, h — глубина проникновения индентора, hf — глубина проникновения индентора после снятия нагрузки, В и m — эмпирически определяемые параметры.)
6 Наноиндентирование поверхности реальных материалов. Факторы, влияющие на погрешность измерений
НИ дает возможность определить твердость и модуль упругости тонких пленок и другие разнообразные количественные характеристики материала из первичных данных путем смены программы обработки этих данных. К таким характеристикам относятся: вязкость разрушения; контактная жесткость; диаграмма нагружения σ=f(ε), восстанавливаемая по диаграмме P=f(h); доли упругой и пластической деформации под индентором по отношению к полной и т.д. Также можно оценить другую группу свойств материала, у которых нет определенных алгоритмов и методик определения. В этом случае они носят относительный, качественный характер. К ним относятся: зависимость свойств от глубины в градиентных материалах; параметры различных масштабных эффектов, условия их проявления; адгезия, характеристики отслаивания и разрушения пленочных покрытий; характеристика дислокаций в структуре и т.д.
Факторы, влияющие на погрешность измерения:
- шероховатость: чем шероховатость поверхности меньше, тем твердость материала
Для снижения ее роли в измерениях используется очевидный прием: усреднение результатов по большому количеству отдельных тестов, проведенных в эквивалентных условиях.
- сила вдавливания индентора: уменьшение силы порождает нарастающее влияние искажений и помех со стороны различных источников.
Простой и надежный способ контроля правильности учета погрешностей – периодическое проведение тестов на хорошо изученных материалах и сравнение полученных данных с табличными.
- Образование навалов (pile in) и провалов (sink in) по контуру отпечатка: При внедрении индентора в жесткие материалы стороны отпечатка искажаются выпуклостью внутрь, а у мягких материалов – выпуклостью наружу
Существует несколько методов учета этой погрешности при обработке результатов. Например, прямой обмер отпечатка с целью определения площади контакта Ас без использования Р-h диаграммы, либо использование корректирующих функций, вносящих поправки в определяемые Е и Н.
7 Применения углеродных наноматериалов – графен, фуллерены, нанотрубки
Графен – это одиночный плоский лист, состоящий из атомов углерода, связанных между собой и образующих решётку. Расстояние между ближайшими атомами углерода в графене составляет около 0,14 нм. В качестве наноматериала используется для:
-
конструирования баллистических транзисторов
-
сверхчувствительных сенсоров (для обнаружения отдельных молекул)
-
электродов в суперконденсаторах и т.д.
Углеродные нанотрубки — это протяжённые цилиндрические структуры диаметром от одного до нескольких десятков нанометров, состоящие из одной или нескольких свёрнутых в трубку графеновых плоскостей и заканчивающиеся полусферической головкой. Основываясь на отдельных свойствах УНТ:
-
механические – сверхпрочные нити композитные материалы, нановесы;
-
микроэлектроника – транзисторы, наношины, проводящие поверхности и т.д.
Фуллере́н — молекулярное соединение, принадлежащее классу аллотропных форм углерода и представляющее собой выпуклые замкнутые многогранники, составленные из чётного числа трёхкоординированных атомов углерода.
Применение:
-
Оптические затворы
-
материалы для полупроводниковой техники
-
сверхпроводящие соединения
-
Фармакология
8 Применение молекулярных слоев дисульфида молибдена в полевом транзисторе.
На его основе можно создать гибкий и прозрачный полевой транзистор. Его структура:
1 – Подложка Si со слоем SiO2 2 – Слой графена(затвор) 3 – Электрод сток из Ti/Al 4 – Канал из слоёв MoS2 5 – Электрод исток из Ti/Al
6 – Диэлектрический слой из h-BN(гексогональный нитрид бора)
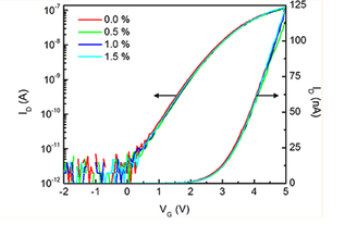
Порядок формирования: Si, на нём SiO2(1), на нём Графен(2), на нём h-BN(6), на нём MoS2(4), затем электроды Ti/Al(3,5).ВАХ транзистора при различных относительных деформациях( в %)
По сути график один про V>0, при V<0 ВАХ выглядит просто как высокочастотный фон, т.е. рандомно фигачит вверх вниз в пределах 10^(-12)-10^(-11) А, левая кривая считается по левой шкале тока, правая соответственно по правой. То, что там 0,0% и т. д. это значения относительной деформации соответственно цветам графиков. (т.е. мы гнём транзистор)
На левом графике красный – зависимость тока в мА от напряжения для MB, синее для MS при повышении-понижении V, там стрелочками показано. На правом графике ВАХ для 1 и 2 слоя MoS2 в MBG структуре.
При увеличении относительной деформации транзистора увеличивается подвижность свободных носителей зарядов. Также подвижность значительно увеличивается при применении h-BN в MBG.
9 Сверхвысокочувствительный детектор на молекулярном слое дисульфида молибдена. Чем определяется правая граница длины волны детектируемого излучения?
Характеристики
Тип файла документ
Документы такого типа открываются такими программами, как Microsoft Office Word на компьютерах Windows, Apple Pages на компьютерах Mac, Open Office - бесплатная альтернатива на различных платформах, в том числе Linux. Наиболее простым и современным решением будут Google документы, так как открываются онлайн без скачивания прямо в браузере на любой платформе. Существуют российские качественные аналоги, например от Яндекса.
Будьте внимательны на мобильных устройствах, так как там используются упрощённый функционал даже в официальном приложении от Microsoft, поэтому для просмотра скачивайте PDF-версию. А если нужно редактировать файл, то используйте оригинальный файл.
Файлы такого типа обычно разбиты на страницы, а текст может быть форматированным (жирный, курсив, выбор шрифта, таблицы и т.п.), а также в него можно добавлять изображения. Формат идеально подходит для рефератов, докладов и РПЗ курсовых проектов, которые необходимо распечатать. Кстати перед печатью также сохраняйте файл в PDF, так как принтер может начудить со шрифтами.
















