Электронные лекции (1051336), страница 3
Текст из файла (страница 3)
-
Спектроскопия электронных потерь, ее использование для анализа материалов.
20 Сканирующая электронная микроскопия, характеристики и возможности при анализе материалов и объектов
Метод идентификации поверхностных примесей, основанный на регистрации возбуждаемых электронным пучком оже-электронов, был предложен в 1953 г.
Отличительными особенностями метода ОЭС являются:
- поверхностная чувствительность метода;
- чувствительность к химическому состоянию элементов;
- возможность сканирования образца сфокусированным электронным пучком, позволяющая получать карту распределения элементов по поверхности с субмикронным разрешением;
- использование анализаторов электронов типа цилиндрического зеркала, обладающих большей чувствительностью по сравнению с другими типами анализаторов.
Возможностями метода ожэ-электронной микроскопии при исследовании электронных материалов являются определение элементного состава, электронных свойств и в некоторой степени изучение атомной структуры.
21. Методы ионной спектроскопии. Схема метода спектроскопии рассеяния медленных ионов.
Методы ионной спектроскопии основаны на использовании в качестве «зонда» - ускоренного пучка ионов с энергией E0 и регистрации энергетического спектра рассеянных первичных ионов. В зависимости от энергии используемого ионного пучка различают:
- спектроскопию рассеяния медленных ионов (СРМИ)с энергиями E0 = 0.1…10 кэВ;
- спектроскопию рассеяния быстрых ионов (СРБИ)с энергиями E0 =0.01…2 МэВ;
- спектроскопию обратного резерфордовского рассеяния (ОРР) с энергиями E0 > 2 МэВ.
Иногда в отдельный метод выделяют спектроскопию рассеяния ионов средних энерги как промежуточную между СРМИ и СРБИ.
Основной принцип анализа поверхности методом СРМИ заключается в регистрации энергетического спектра ионов, рассеянных под определенным углом поверхностными атомами образца, при его облучении моноэнергетическим сколлимированным пучком первичных ионов с энергиями E0 ÷= 101.0 кэВ под определенным углом.
Получаемая информация:
1) элементный состав поверхности
2) относительная концентрация поверхностных атомов
3) информация о структуре поверхностной решетки, адсорбированных атомов и дефектов
4) в некоторых случаях тонкая структура спектральных линий позволяет получить информацию о химическом состоянии поверхностных атомов/
4.2. Физические основы СРМИ
Энергия рассеянного иона E1 полностью определяется массой атома-рассеивателя М, массой m и энергией Е0 рассеивающегося иона и углом рассеяния θ . Используя закон сохранения энергии
E0 = E1 + E2
и закон сохранения импульса
mv0 = mv1+ Mv2 ,
где индексы 0, 1 и 2 соответствуют налетающему иону, рассеянному иону и испытавшему отдачу атому поверхности.
Рис.1 Схематичная диаграмма упругого двухчастичного соударения налетающего иона с массой m, кинетической энергией E0 и скоростью v0 и атома поверхности с массой M, кинетической энергией отдачи Е2 и скоростью v2
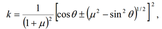
Нетрудно получить так называемое кинематическое соотношение:
E1=kE0 ,
где коэффициент k называется кинематическим фактором и определяется выражением
где μ = / mM – отношение масс атома-рассеивателя и иона, знак «+» выбирается для случая μ > 1 (рассеяние на тяжелом атоме), и знак «-» - для μ < 1 (рассеяние на легком атоме). Схематически геометрия рассеяния представлена на рисунке 1. Энергия отдачи, приобретаемая поверхностным атомом, также пропорциональна энергии падающего иона и составляет
Таким образом, зная угол рассеяния, задаваемый геометрией установки (углом между ионной пушкой и анализатором) и массу иона, по энергии пика рассеянных ионов можно однозначно определить массу поверхностных атомов, на которых произошло рассеяние.
22.Реализация метода спектроскопии рассеяния медленных ионов.
Типичный вид спектра рассеяния медленных ионов He+ с энергией 1 кэВ на поверхности сплава Al, Cu Pb, полученный для угла рассеяния θ = 90 , представлен на рисунке.
Рис. Типичный обзорный спектр рассеяния медленных ионов He+ c энергией E0 = 1кэВ на загрязненной поверхности сплава
Спектр состоит из широкого плавно меняющегося с энергией фона, обусловленного неупругорассеянными ионами, и отдельных линий, отвечающих упругому рассеянию ионов Не+ ( m = 4 а.е.м.) на атомах O ( M ≈ 16 а.е.м.), Al ( M ≈ 27 а.е.м.), Cu ( M ≈ 64 а.е.м.) и Pb ( M ≈ 207 а.е.м.) с кинематическим фактором kO = 447.0 , k Al = 625.0 , kCu = 820.0 и kPb = 941.0 . Рассеяние на более тяжелых атомах сопровождается меньшими потерями энергии, поэтому пик О в спектре имеет наименьшую, а пик Pb – наи- большую энергию.
Ширина пиков рассеяния определяется следующими факторами:
1) распределением по энергии в первичном пучке ионов (степенью немонохроматичности);
2) расходимостью первичного пучка (вследствие взаимного отталкивания ионов невозможно создать строго параллельный ионный пучок);
3) углом сбора рассеянных ионов и разрешающей способностью энергоанализатора;
4) кинетической энергией рассеянных ионов.
23. Оценка коэффициента покрытия поверхности пленкой материала методом СРМИ
Определение коэффициента покрытия поверхности пленкой:
Где θ – степень покрытия
I(θ) – интенсивность линии рассеяния СРМИ частичного покрытия поверхности (адсорбированные атомы, фрагменты пленки)
I∞ – интенсивность спектральной линии рассеяния СРМИ полного покрытия.
Существуют 3 механизма роста тонких плёнок:
Скорость роста интенсивности спектральной линии адсорбата/конденсата при осаждении и скорость затенения линии подложки позволяет определить характер роста конденсата.
При послойном росте зависимость интенсивности спектральных линий адсорбата/конденсата и подложки от степени заполнения поверхности является линейной, и при достижении θ=1 линия от атомов подложки полностью исчезает. При островковом росте затенение сигнала подложки происходит значительно медленнее.
24. Разрешающая способность метода спектроскопии рассеяния медленных ионов. Факторы, оказывающие влияние.
Основной характеристикой любого спектрометра является разрешающая способность. Для метода СРМИ разрешающая способность по энергии RE и по массе RM , определяются следующим выражением: (RE = RM)
Где
∆M, ∆E – минимальная разница масс (энергий), при которых пики в спектре будут различимы.
Θ - угол рассеяния
μ = М/ m – отношение масс атома-рассеивателя и ион (вроде бы, но я не уверена)
Ширина пиков рассеяния определяется следующими факторами:
1) распределением по энергии в первичном пучке ионов (степенью немонохроматичности);
2) расходимостью первичного пучка (вследствие взаимного отталкивания ионов невозможно создать строго параллельный ионный пучок);
3) углом сбора рассеянных ионов и разрешающей способностью энергоанализатора;
4) кинетической энергией рассеянных ионов.
С увеличением энергии ширина пиков рассеяния возрастает.
















