РПЗ (1041724)
Текст из файла
1. Исходные данные для проведения расчетно-конструкторского проектирования ТНА
Номинальные параметры, заданные заказчиком, которые необходимо получить в ходе проектирования ТНА.
Насос окислителя
Насос горючего
-
Двухступенчатый
Первая ступень
Вторая ступень
Турбина
2. Выбор компоновки ТНА
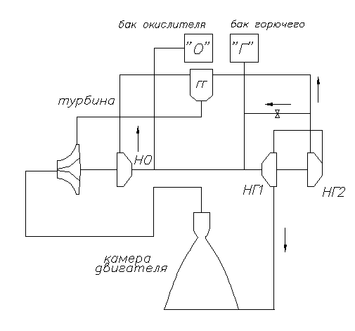
После проведения поверочных расчетов и исследования аналогов для заданных параметров была сформирована компоновочная схема ТНА (рис.2.1). В нее вошли радиально – осевая турбина, шнекоцентробежные насосы окислителя и горючего. Вторая ступень насоса горючего представляет черпаковый насос, вращающийся корпус которого служит местом расположения пусковой турбины. Преимуществом предлагаемой схемы является высокий КПД второй ступени насоса горючего (ввиду оптимального коэффициента быстроходности для черпакового насоса), уменьшенные массогабаритные параметры и облегченная технология сборки. С целью повышения КПД второй ступени насоса горючего выбрана схема с увеличенным расходом компонента. Для обеспечения заданных параметров производится сброс избыточного количества на вход в первую ступень насоса.
Рис.2.1. Схема ЖРД
3. Насос окислителя
3.1. Расчет насоса
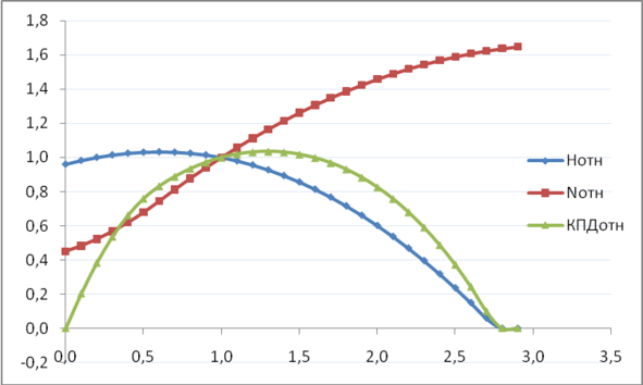
Расчет насоса окислителя выполнялся в расчетном комплексе TURBO-PUMP Program (TPP). Результаты представлены в Приложении 1. Используя табулированные зависимости, получены графики энергетических характеристик рассматриваемого насоса окислителя в приведенном виде (рис.3.1).
Рис.3.1. Диаграмма приведенных энергетических характеристик относительно приведенного расхода
3.2. Проектирование диска
По результатам расчета в TPP диск насоса должен иметь 10 лопаток. Построение геометрии лопаток производилось параболой с последующим приближенной аппроксимацией дугами окружности для повышения технологичности изделия.
После построения лопаток произведена проверка проходного сечения межлопаточного пространства. Изменение площади межлопаточного пространства находится в интервале 1,0…1,2 F(R1) и имеет плавную зависимость, что согласуется с рядом рекомендаций [1], [3].
Максимальная толщина лопаток с учетом прочностных характеристик колеса и проходных сечений каналов, составляет 3 мм
Для предотвращения загромождения лопатками вход в колесо необходимо произвести «подрезку» лопаток до среднего диаметра.
Геометрическое построение диска, планы скоростей, напорная характеристика, кавитационная характеристика насоса приведены на 1-м листе проекта.
3.3. Проектирование шнека
Шнек имеет 2 лопатки постоянного шага. Параметры расчета приведены в Приложении 1. Толщина лопатки шнека на среднем диаметре составляет 1мм. Для увеличения антикавитационных качеств насоса лопатки шнека заострены на входе. Углы «подрезки» шнека составляют 100 и 140 град. на входе и выходе соответственно.
3.4. Проектирование подвода
Ввиду неконсольного расположения насоса окислителя и малорасходности насоса был выбран кольцевой подвод с конфузорным участком для повышения скорости потока на 20% до 10 м/с. Геометрия подвода, согласно рекомендациям, представлена на рис.3.2:
Рис.3.2. Геометрия подвода
3.5. Проектирование отвода
В рассматриваемом проекте в качестве отвода насоса окислителя предлагается использовать кольцевой безлопаточный диффузор, спиральный сборник и конический диффузор. Для повышения технологичности форма канала предлагается прямоугольного сечения. Методика проектирования отвода насоса приведена в Приложении 2.
4. Первая ступень насоса горючего
Расчет шнекоцентробежного насоса горючего первой ступени выполнялся аналогично расчету насоса окислителя в расчетном комплексе TURBO-PUMP Program (TPP). Результаты представлены в Приложении 3. Используя табулированные зависимости, получены графики энергетических характеристик рассматриваемого насоса горючего в приведенном виде (рис.4.1).
Рис.4.1. Диаграмма приведенных энергетических характеристик относительно приведенного расхода
4.2. Проектирование насоса
Количество лопаток диска первой ступени насоса горючего равно 14. Как и лопатки насоса окислителя – насос горючего выполнен с «подрезными» через одну лопатками (рис.4.2).
Рис.4.2. Осевое сечение колеса насоса
Аналогично проектированию элементов насоса окислителя выполнялось проектирование первой ступени насоса горючего. Кавитационная характеристика насоса горючего представлена на рис.4.3.
Рис.4.3. Кавитационная характеристика
5. Расчет насоса горючего второй ступени
Расчет насоса горючего второй ступени выполнен по методике для насосов черпакового типа. Основные зависимости методики и расчет на номинальный режим работы представлены в Приложении 3. Реализованный алгоритм расчета в среде MathCad 14, позволяет оптимизировать параметры насоса с целью повышения КПД. Произведен ряд теоретических исследований по изучению характеристик насоса относительно расхода
Необходимо отметить, что расчет проводился для варианта перепуска части горючего с целью повышения КПД насоса. При этом значение расхода было поднято до 0,4 кг/с, что соответствует коэффициенту быстроходности ns=17,7.
6. Турбина ТНА
8
Характеристики
Тип файла документ
Документы такого типа открываются такими программами, как Microsoft Office Word на компьютерах Windows, Apple Pages на компьютерах Mac, Open Office - бесплатная альтернатива на различных платформах, в том числе Linux. Наиболее простым и современным решением будут Google документы, так как открываются онлайн без скачивания прямо в браузере на любой платформе. Существуют российские качественные аналоги, например от Яндекса.
Будьте внимательны на мобильных устройствах, так как там используются упрощённый функционал даже в официальном приложении от Microsoft, поэтому для просмотра скачивайте PDF-версию. А если нужно редактировать файл, то используйте оригинальный файл.
Файлы такого типа обычно разбиты на страницы, а текст может быть форматированным (жирный, курсив, выбор шрифта, таблицы и т.п.), а также в него можно добавлять изображения. Формат идеально подходит для рефератов, докладов и РПЗ курсовых проектов, которые необходимо распечатать. Кстати перед печатью также сохраняйте файл в PDF, так как принтер может начудить со шрифтами.















