Курсовая Пугач (1027811)
Текст из файла
Московский государственный технический университет им. Н. Э. Баумана
| ПРЕПОДАВАТЕЛЬ: | |
| Кузовлев В. И. | «__»_________2010 г. |
КУРСОВАЯ РАБОТА
«ИССЛЕДОВАНИЕ МЕТОДОВ РЕЗЕРВИРОВАНИЯ СИСТЕМ»
ПО РАЗДЕЛУ «Модели и методы оценки надежности
автоматизированных систем»
курса «Модели оценки качества АСОиУ»
Вариант 15
| ИСПОЛНИТЕЛЬ: |
| студент группы ИУ5-102 |
| Пугач О.В. |
Москва — 2010
Содержание
Содержание 2
1. Задание 3
Цель работы: Изучение и исследование методов структурного резервирования восстанавливаемых и невосстанавливаемых систем. 3
2. Исходные данные 4
3. Расчет невосстанавливаемой резервированной системы с комбинированным резервом 5
Решение методом дифференциальных уравнений 6
Решение методом графов 16
Замечание 16
Восстанавливаемая резервированная система с дробной кратностью при неограниченном ремонте 17
С нагруженным резервом 17
С ненагруженным резервом 22
С частично нагруженным резервом 26
Восстанавливаемая нерезервированная система при неограниченном ремонте 31
Невосстанавливаемая резервированная система с дробной кратностью 33
Восстанавливаемая резервированная система с целой кратностью при неограниченном ремонте с нагруженным резервом 36
Расчет критериев надежности для указанных в задании параметров и типов систем 40
Исследование влияния различных параметров на надежность систем 43
Влияние интенсивности потока отказов 43
Для восстанавливаемой резервированной системы с нагруженным резервом 43
Для восстанавливаемой резервированной системы с ненагруженным резервом 45
Для восстанавливаемой резервированной системы с частично нагруженным резервом 47
Влияние интенсивности восстановления 52
Для восстанавливаемой резервированной системы с нагруженным резервом 52
Для восстанавливаемой резервированной системы с частично нагруженным резервом 58
Сравнение по критериям надежности различных типов систем 61
Сравнение резервированной и нерезервированной систем 61
Сравнение восстанавливаемых и невосстанавливаемых систем 62
Сравнение систем с целой и дробной кратностью 63
Общие выводы по работе 65
Используемая литература: 66
1. Задание
Цель работы: Изучение и исследование методов структурного резервирования восстанавливаемых и невосстанавливаемых систем.
Для заданных расчетно-логических схем систем (резервных групп):
1. Получить методами интегральных, дифференциальных уравнений и методом графов (не менее чем двумя методами) для указанных типов систем общие соотношения и расчетные формулы для следующих критериев надежности систем:
-
— вероятность безотказной работы; -
— среднее время безотказной работы (для невосстанавливаемых систем) или среднее время наработки на отказ (для восстанавливаемых систем); -
— среднее время восстановления системы после сбоя; -
— коэффициента готовности системы; -
— вероятность успешного использования системы.
Параметры 3, 4, 5, рассчитываются только для восстанавливаемых систем.
2. Рассчитать для указанных в задании параметров по полученным в пункте 1 формулам критерии надежности систем.
3. Исследовать влияние на надежность систем:
-
Интенсивности отказов
:
; -
Интенсивности отказов при облегченном режиме работы
:
-
Интенсивности восстановления
:
-
Числа резервных блоков для различных типов резерва
:
4. Провести сравнение (по вероятности безотказной работы, среднему времени безотказной работы и коэффициенту готовности):
-
Резервированной и не резервированной систем,
-
Различных типов резерва,
-
Восстанавливаемой и невосстанавливаемой систем,
-
Целой и дробной кратности.
2. Исходные данные
| Вариант | Типы систем | t, ч | λ, ч-1 | μ, ч-1 | λ0, ч-1 | W | S |
| 15 | 4; 7абв | 2000 | 8•10-2 | 20 | 2•10-3 | 5 | 3 |
| 2 W 1 S Схема 4 | Невосстанавливаемая резервированная система с комбинированным резервом. |
|
1 2 W 1 S Схема 7а | Восстанавливаемая резервированная система с дробной кратностью при неограниченном ремонте: а) с нагруженным резервом; |
| 1 2 W
1 2 S Схема 7б,в | Восстанавливаемая резервированная система с дробной кратностью при неограниченном ремонте: б) с ненагруженным резервом. |
3. Расчет невосстанавливаемой резервированной системы с комбинированным резервом
На рис.1. элемент 1 – основной, элементы 2-5 – работают в режиме «горячей замены», элементы 6-8 – в режиме «холодной замены».
Определим стратегию использования комбинированного резерва следующим образом: при отказах сначала берутся элементы из «горячего резерва»; а потом из «холодного». То есть сначала полностью исчерпывается горячий резерв, и только потом начинают использоваться элементы из холодного резерва.
Решение методом дифференциальных уравнений
Вариант решения №1
Найдём вероятностные характеристики этой системы методом дифференциальных уравнений, для этого сначала построим вероятностный граф состояний, за состояние примем количество неисправных элементов.
На основе вероятностного графа системы запишем систему дифференциальных уравнений:
Начальные условия:
Применим преобразование Лапласа к левой и правой частям уравнений полученной системы:
Приведём подобные в системе:
Применим к системе обратное преобразование Лапласа при помощи Mathcad:
Вероятность безотказной работы системы:
.
При =8*10-2 и t=2000
и
принимают значение:
Следовательно, среднее время безотказной работы системы равно 66,04 часа, а вероятность безотказной работы системы
.
Вариант решения №2
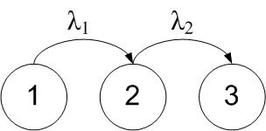
Построим вероятностный граф состояний (ВГС). В системе выделим 3 состояния: 1 — работает горячий резерв, 2 — работает холодный резерв, система не работает. За рабочие состояния примем 1 и 2.
Рис. 3. Вероятностный граф состояний
На ВГС L1 — интенсивность отказов системы, состоящей из W элементов, находящихся в горячем резерве, L2 — интенсивность отказов системы, состоящей из S элементов, находящихся в холодном резерве.
На основе приведенного ВГС запишем систему дифференциальных уравнений:
Решаем эту систему уравнений. Сначала найдем P0(t):
Теперь найдем P1(t):
Будем искать решение в виде:
Подставим P2(t) в исходное уравнение:
Теперь найдем P2(t):
Проверка. Должно выполняться нормировочное условие:
,
т.е. сумма вероятностей нахождения во всех состояниях = 0.
Решение системы уравнений следующее:
Таким образом, вероятность безотказной работы системы будет равна:
, где
При = 0,08 и t = 2000
принимает значение
.
Среднее время безотказной работы системы:
ч
Таким образом, решения варианта №1 и варианта №2 совпали. Для построения графических зависимостей будем пользоваться формулами из варианта №2, т.к они менее громоздкие
3.1.2.1. Зависимость вероятности безотказной работы от времени
Рис. 4 Зависимость вероятности безотказной работы от времени
3.1.2.2. Интенсивность отказов
Рис. 5 Зависимость надежности работы системы от интенсивности потока отказов
Характеристики
Тип файла документ
Документы такого типа открываются такими программами, как Microsoft Office Word на компьютерах Windows, Apple Pages на компьютерах Mac, Open Office - бесплатная альтернатива на различных платформах, в том числе Linux. Наиболее простым и современным решением будут Google документы, так как открываются онлайн без скачивания прямо в браузере на любой платформе. Существуют российские качественные аналоги, например от Яндекса.
Будьте внимательны на мобильных устройствах, так как там используются упрощённый функционал даже в официальном приложении от Microsoft, поэтому для просмотра скачивайте PDF-версию. А если нужно редактировать файл, то используйте оригинальный файл.
Файлы такого типа обычно разбиты на страницы, а текст может быть форматированным (жирный, курсив, выбор шрифта, таблицы и т.п.), а также в него можно добавлять изображения. Формат идеально подходит для рефератов, докладов и РПЗ курсовых проектов, которые необходимо распечатать. Кстати перед печатью также сохраняйте файл в PDF, так как принтер может начудить со шрифтами.
— вероятность безотказной работы;
— среднее время безотказной работы (для невосстанавливаемых систем) или среднее время наработки на отказ (для восстанавливаемых систем);
— среднее время восстановления системы после сбоя;
— коэффициента готовности системы;
— вероятность успешного использования системы.
:
;
:
:
:
1
















