Мой кууурсач (1027721), страница 3
Текст из файла (страница 3)
С увеличением интенсивности отказов уменьшается вероятность безотказной работы системы.
С увеличением интенсивности восстановления увеличивается вероятность безотказной работы системы.
Для заданных значений t = 2000 ч,
= 0.06 1/ч и
= 1 1/ч Pсист = 4.746*10^-13
С увеличением интенсивности отказов уменьшается среднее время безотказной работы.
При увеличении интенсивности восстановления среднее время безотказной работы увеличивается по линейному закону.
Для заданных значений
= 0.06 1/ч и
= 1 1/ч среднее время безотказной работы mt = 72 ч. Что много меньше заданного времени работы системы.
При увеличении интенсивности отказов коэффициент готовности системы уменьшается.
При увеличении интенсивности восстановления коэффициент готовности системы увеличивается.
Для заданных значений
= 0.06 1/ч и
= 1 1/ч Kг = 0.983.
При увеличении интенсивности отказов наработка на отказ уменьшается.
При увеличении интенсивности восстановления наработка на отказ увеличивается.
При заданных значениях интенсивности восстановления
= 1 1/ч и интенсивности отказов
= 0.06 1/ч наработка на отказ составляет 56.5 ч., что много меньше заданного значения t = 2000 ч.
При увеличении интенсивности восстановления среднее время восстановления уменьшается: чем больше интенсивность восстановления, тем быстрее восстанавливается система. Графиком зависимости среднего времени восстановления от интенсивности восстановления является гипербола. Для заданных значений
= 4.746*10^-13 ч.
С увеличением времени работы системы уменьшается вероятность ее успешного использования.
С увеличением интенсивности отказов уменьшается вероятность успешного использования системы.
С увеличением интенсивности восстановления увеличивается вероятность успешного использования системы.
Для заданных значений t = 2000 ч,
= 0.06 1/ч и
= 1 1/ч R(t) = 4.746*10^-13.
C частично нагруженным резервом.
Расчетно-логическая схема системы:
За состояния системы примем количество неисправных элементов системы, будем считать, что в системе одно восстанавливающее устройство, тогда граф состояний системы примет следующий вид
Состояния 0~2 – рабочие;
Состояние 3 – отказовое.
Для определения вероятности безотказной работы составим систему дифференциальных уравнений, соответствующих состояниям системы, исключив переход из отказового состояния в предотказовое:
В начальный момент времени все элементы системы находятся в работоспособном состоянии:
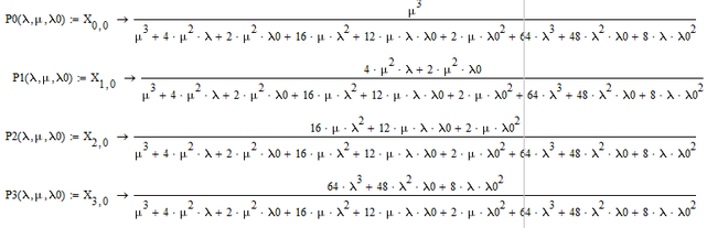
При расчете методом дифференциальных уравнений, после применения прямого преобразования Лапласа при начальных условиях система принимает вид:
Или, что то же самое:
Отсюда:
После применения обратного преобразования Лапласа и подстановки значений: =0.005 =0.5 можно получить выражения для P0(t), P1(t), P2(t), P3(t) и P4(t)
0
Вероятность безотказной работы.
Функцию вероятности безотказной работы системы, в силу наличия одного состояния отказа и нормировочного условия, можно записать следующим образом
Для значений t=2000 =0.06 =1, получается следующее значение
P(t)= 1.77*10^-8
Зависимость вероятности безотказной работы от времени:
P1m - вероятность безотказной работы при
= 0.05 1/ч
P - вероятность безотказной работы при
= 0.06 1/ч
P1b - вероятность безотказной работы при
= 0.07 1/ч
Зависимость вероятности безотказной работы от интенсивности отказов запасных элементов:
P2m - вероятность безотказной работы при
0 = 0.004 1/ч
P - вероятность безотказной работы при
0 = 0.005 1/ч
P2b - вероятность безотказной работы при
0 = 0.006 1/ч
Зависимость вероятности безотказной работы от интенсивности восстановления:
P3m - вероятность безотказной работы при = 0.8 1/ч
P - вероятность безотказной работы при = 1 1/ч
P3b - вероятность безотказной работы при = 1.2 1/ч
Среднее время безотказной работы.
Среднее время безотказной работы:
Для заданных значений
= 0.06 1/ч,
0 = 0.005 1/ч и
= 1 1/ч:
m= 113.608
С увеличением интенсивности отказов основных элементов среднее время безотказной работы уменьшается (
= 1 1/ч,
0 = 0.005 1/ч ):
С увеличением интенсивности восстановления среднее время безотказной работы увеличивается (
= 0.06 1/ч,
0 = 0.005 1/ч ):
С увеличением интенсивности отказов запасных элементов среднее время безотказной работы уменьшается (
= 0.06 1/ч,
= 1 1/ч):
Коэффициент готовности.
Нахождение коэффициента готовности системы можно осуществить двумя способами - путем составления дифференциальных уравнений на основании графа состояния системы и методом Половко.
Нахождение Кг методом дифференциальных уравнений
Для графа состояний рассматриваемой системы (см. п. 3.1.2.) система дифференциальных уравнений имеет вид:
В начальный момент времени все элементы системы находятся в работоспособном состоянии:
Если предположить, что потоки стационарны, то есть
= 0,
,
,
0=const, то можно получить следующую систему:
Тогда, исключая, например, третью строку как линейно зависимую от двух первых и четвертой, можно получить следующую систему уравнений:
Представим в другом виде:
Откуда:
Для заданных значений
= 0.005 1/ч ,
0 = 0.0005 1/ч и
= 0.5 1/ч вероятности нахождения системы в каждом из состояний принимают следующие значения:
P0 = Кг0 = 0.754
P1 = Кг1 = 0.188
P2 = Кг2 = 0.046
P3 = Кг3 = 0.011
Кг = P0 + P1 + P2 = 0.9889
Нахождение Кг методом Половко:
Кг = P0 + P1 + P2 = 0.9889
Значения Кг, полученный методом Половко, совпадает с предыдущим расчетным, что подтверждает правильность его нахождения.
Зависимость коэффициента готовности системы от интенсивности отказов основных элементов.
Зависимость коэффициента готовности системы от интенсивности отказов резервных элементов.
Зависимость коэффициента готовности системы от интенсивности восстановления элементов.
Наработка на отказ:
Для заданных значений: Кг(
,
0,
) =0.9889,
= 1 1/ч
Зависимость времени наработки на отказ от интенсивности отказов основных элементов:
Зависимость времени наработки на отказ от интенсивности отказов резервных элементов:
Зависимость времени наработки на отказ от интенсивности восстановления элементов:
Среднее время восстановления системы:
Зависимость среднего времени восстановления системы от интенсивности восстановления:
Вероятность успешного использования системы:
Для заданных значений Кг =0.9889 и Pсист = 1.77*10^-8
R(t) = 1.75*10^-8
Зависимость вероятности успешного использования системы от времени:
Зависимость вероятности успешного использования системы от интенсивности отказов основных элементов:
R1m - вероятность успешного использования системы при
= 0.05 1/ч
R - вероятность успешного использования системы при
= 0.06 1/ч
R1b - вероятность успешного использования системы при
= 0.07 1/ч
Зависимость вероятности успешного использования системы от интенсивности восстановления:
R3m - вероятность успешного использования системы при
= 0.8 1/ч
R- вероятность успешного использования системы при
= 1 1/ч
R3b - вероятность успешного использования системы при
= 1.2 1/ч
Зависимость вероятности успешного использования системы от интенсивности отказов основных элементов:
R2m - вероятность успешного использования системы при
0 = 0.004 1/ч
R - вероятность успешного использования системы при
0 = 0.005 1/ч
R2b - вероятность успешного использования системы при
0 = 0.006 1/ч
Выводы.
Из полученных графиков следует, что с увеличением времени работы системы уменьшается вероятность ее безотказной работы.
С увеличением интенсивности отказов уменьшается вероятность безотказной работы системы.
С увеличением интенсивности восстановления увеличивается вероятность безотказной работы системы.
Для заданных значений t = 2000 ч,
= 0.06 1/ч,
0 = 0.005 1/ч и
= 1 1/ч
Pсист = 1.77*10^-8
















