2001 Сапаев (4,5абв) (1027693), страница 2
Текст из файла (страница 2)
С увеличением интенсивности отказов нагруженных элементов уменьшается вероятность безотказной работы системы.
С увеличением интенсивности отказов частично нагруженных элементов уменьшается вероятность безотказной работы системы.
Для заданных значений интенсивностей отказов
= 0.0001 1/ч,
0 = 0.00001 1/ч и времени t = 2400 ч вероятность безотказной работы системы Pсист = 0.999193
С увеличением интенсивности отказов нагруженных элементов уменьшается среднее время безотказной работы.
С увеличением интенсивности отказов частично нагруженных элементов уменьшается среднее время безотказной работы.
Для заданных значений интенсивностей отказов
= 0.0001 1/ч,
0 = 0.00001 1/ч среднее время безотказной работы mt составляет 25928.57 ч., что превышает заданное t = 2400 ч., что соответствует тому, что с вероятностью 0.999193 к заданному времени система находится в работоспособном состоянии.
. Сравнение характеристик невосстанавливаемых резервированных систем с комбинированным резервом, рассмотренных в п. 2.1. и п.2.2.
Система, рассмотренная в п. 2.1. является частным случаем системы, рассмотренной в п.2.2 для
0 = 0. Если рассматривать систему с горячим резервированием, то она также будет являться частным случаем системы п. 2.2., где
0 =
.
Сопоставление систем удобно провести с помощью сравнительного графика зависимостей вероятностей безотказной работы от времени:
Характеристики надежности для заданных значений
t = 2400 ч,
= 0.0001 1/ч,
0 =0.00001 1/ч.:
| Система с комбинированными горячим и холодным резервами (п. 2.1.) | Система с комбинированными горячим и теплым резервами (п. 2.2.) | Система с горячим резервом. | |
| Вероятность безотказной работы системы | 0.999508 | 0.999193 | |
| Среднее время безотказной работы системы (ч) | 28333,333 | 25928.571 |
Лучшими показателями надежности из рассмотренных систем с комбинированными резервами обладает система с комбинированными горячим и холодным резервами. Наихудшими характеристиками надежности обладает система, весь резерв которой является горячим. Тем не менее, следует отметить, что для такой системы меньшее время занимает переключение с отказавшего элемента на резервный, что при расчетах не учитывалось.
Восстанавливаемая резервируемая система с целой кратностью при неограниченном ремонте
С нагруженным резервом
Расчетно-логическая схема
Расчетно-логическая схема представлена на рис. 15.
Рисунок 1
Граф состояний системы
Будем считать, что в системе имеется одно восстанавливающее устройство.
Граф состояний системы представлен на рис. 16.
Критерии надежности
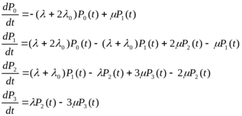
Составим систему дифференциальных уравнений, соответствующую графу состояний на рис.16.
Для определения изображений функций вероятности нахождения системы в состоянии 0-3 найдем изображения правой и левой части каждого из уравнений системы дифференциальных уравнений, а затем, по правилу Крамера, найдем изображения функций.
Таким образом:
Найдем вероятность безотказной работы:
Для заданных значений =0,00011/ч, =0,00001 1/ч, е=2400
P(t)=1-P3(t)= 0.99739
Зависимость безотказной работы от времени.
Из полученного графика видно, что с увеличением времени работы системы вероятность нахождения системы в рабочем состоянии падает.
Зависимость времени безотказной работы от интенсивности отказов.
Из графика видно, что увеличение интенсивности отказав влечет за собой уменьшение вероятности безотказной работы системы.
Psist(t)при =0,0001
Psist1(t)при =0,0002
Psist2(t)при =0,00015
Зависимость вероятности безотказной работы системы от интенсивности восстановления
Psist(t)при =0,0001
Psist1(t)при =0,0002
Psist2(t)при =0,00015
Из полученного графика видно, что увеличение интенсивности восстанавления влечет за собой увеличение безотказной работы системы.
Найдем среднее время безотказной работы:
mt()=
mt()=413293.021
Нахождения коэффициента Кг методом диффиренциальных уравнений на основе графа состояний системы.
По правилу Крамера найдем решение системы.
Kг=P0(t)+ P1(t)+ P2(t)
Kг=1- P3(t)= 0.999249
Зависимость Кгот от интенсивности отказов.
З
ависимость Кгот от интенсивности восстановления.
Наработка на отказ.
Д
ля заданных Кгот=0.999249, =0,001(1/ч) mотк= 1330557.9228(1/ч)
Зависимость времени наработки на отказ от интенсивности отказов.
З
ависимость времени наработки на отказ от интенсивности восстановления.
Среднее время восстановления системы.
для =0,001, mtв=333,333
В
ероятность успешного использования системы.
R(t)=Кгот*Pсист
Для заданных значений Кгот=0.999249 и Рсист=0.99739
R(t)= 0.996641
Зависимость вероятности успешного использования системы от времени.
Зависимость вероятности успешного использования системы от интенсивности отказов..
Зависимость вероятности успешного использования системы от интенсивности восстановления..
С частично нагруженным резервом
Расчетно-логическая схема
Расчетно-логическая схема представлена на рис. 23.
Рисунок 2
Граф состояний системы
Будем считать, что в системе имеется одно восстанавливающее устройство.
Граф состояний системы
Критерии надежности
Составим систему дифференциальных уравнений, соответствующую графу состояний на рис.16.
Для определения изображений функций вероятности нахождения системы в состоянии 0-3 найдем изображения правой и левой части каждого из уравнений системы дифференциальных уравнений, а затем, по правилу Крамера, найдем изображения функций.
Найдем вероятность безотказной работы:
Для заданных значений =0,00011/ч, =0,00001 1/ч, е=2400
P(t)=1-P3(t)= 0.99936
Зависимость безотказной работы от времени.
Из полученного графика видно, что с увеличением времени работы системы вероятность нахождения системы в рабочем состоянии падает.
Зависимость времени безотказной работы от интенсивности отказов.
Из графика видно, что увеличение интенсивности отказав влечет за собой уменьшение вероятности безотказной работы системы.
Psist(t)при =0,0001
Psist1(t)при =0,0002
Psist2(t)при =0,00015
Зависимость времени безотказной работы от интенсивности отказов резервных элементов.
Из графика видно, что увеличение интенсивности отказав влечет за собой уменьшение вероятности безотказной работы системы.
Psist(t)при 0=0,00001
Psist1(t)при 0=0,00005
Psist2(t)при 0=0,00009
Зависимость вероятности безотказной работы системы от интенсивности восстановления
Psist(t)при =0,0001
Psist1(t)при =0,0002
Psist2(t)при =0,00015
Из полученного графика видно, что увеличение интенсивности восстанавления влечет за собой увеличение безотказной работы системы.
Найдем среднее время безотказной работы:
mt()=
mt()=767707.104
Нахождения коэффициента Кг методом диффиренциальных уравнений на основе графа состояний системы.
По правилу Крамера найдем решение системы.
Kг=P0(t)+ P1(t)+ P2(t)
Kг=1- P3(t)= 0.99980476
Зависимость Кгот от интенсивности отказов.
Зависимость Кгот от интенсивности отказов резервных элементов.
Зависимость Кгот от интенсивности восстановления.
Н
аработка на отказ.
Д
ля заданных Кгот=0.99980476, =0,001(1/ч) mотк= 5120909.091 (1/ч)
Зависимость времени наработки на отказ от интенсивности отказов.
Зависимость времени наработки на отказ от интенсивности отказов резервных элементов.
Зависимость времени наработки на отказ от интенсивности восстановления.
С
реднее время восстановления системы.
для =0,001, mtв=333,333
Вероятность успешного использования системы.
R(t)=Кгот*Pсист
Для заданных значений Кгот=0.999804 и Рсист=0.99936
R(t)= 0.99739
Зависимость вероятности успешного использования системы от времени.
Зависимость вероятности успешного использования системы от интенсивности отказов.
З
ависимость вероятности успешного использования системы от интенсивности отказов резервных элементов.
З
ависимость вероятности успешного использования системы от интенсивности восстановления..
С ненагруженным резервом
Расчетно-логическая схема
Граф состояний системы
Будем считать, что отказавшие элементы восстанавливаются как по одному так и одновременно
Граф состояний системы
Критерии надежности
Составим систему дифференциальных уравнений, соответствующую графу состояний на рис.16.
Для определения изображений функций вероятности нахождения системы в состоянии 0-3 найдем изображения правой и левой части каждого из уравнений системы дифференциальных уравнений, а затем, по правилу Крамера, найдем изображения функций.
Таким образом:















