1 (1027679)
Текст из файла
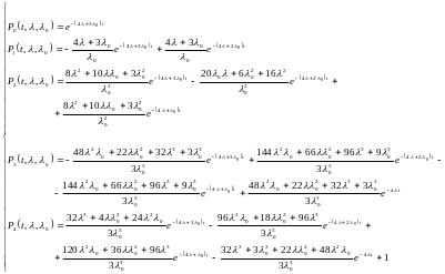
Найдем функцию вероятности нахождения системы в рабочем состоянии и исследуем ее зависимость от
и
.Так как система имеет только одно отказовое состояние, запишем Pcист(t, l, l0) через функцию вероятности нахождения системы в отказовом состоянии.
Pcист(t, l, l0)=1- P4(t, l, l0)
Рассчитаем значение
при t = 2400 часов, l=8*10-4 1/ч и l0=10-4 1/ч:
=0.0000002181;
Характеристики
Тип файла документ
Документы такого типа открываются такими программами, как Microsoft Office Word на компьютерах Windows, Apple Pages на компьютерах Mac, Open Office - бесплатная альтернатива на различных платформах, в том числе Linux. Наиболее простым и современным решением будут Google документы, так как открываются онлайн без скачивания прямо в браузере на любой платформе. Существуют российские качественные аналоги, например от Яндекса.
Будьте внимательны на мобильных устройствах, так как там используются упрощённый функционал даже в официальном приложении от Microsoft, поэтому для просмотра скачивайте PDF-версию. А если нужно редактировать файл, то используйте оригинальный файл.
Файлы такого типа обычно разбиты на страницы, а текст может быть форматированным (жирный, курсив, выбор шрифта, таблицы и т.п.), а также в него можно добавлять изображения. Формат идеально подходит для рефератов, докладов и РПЗ курсовых проектов, которые необходимо распечатать. Кстати перед печатью также сохраняйте файл в PDF, так как принтер может начудить со шрифтами.
















