2001 Сапаев (4,5абв) (1027693)
Текст из файла
42
Московский государственный технический университет им.Н.Э.Баумана
кафедра "Автоматизированные системы обработки информации и управления"
КУРСОВАЯ РАБОТА
"Исследование методов резервирования систем"
по разделу
"Модели и методы оценки надежности автоматизированных систем"
курса
"Модели оценки качества АСОИУ"
Выполнил: Сапаев М.А. ИУ5-101
Принял: Кузовлев В.И.
Москва, 2001 г.
ЗАДАНИЕ 3
НЕВОССТАНАВЛИВАЕМАЯ РЕЗЕРВИРОВАННАЯ СИСТЕМА С КОМБИНИРОВАННЫМ РЕЗЕРВОМ 4
Система с комбинированными нагруженным и ненагруженным резервом 4
Расчет основных характеристик системы. 4
Выводы. 8
Система с комбинированными нагруженным и частично нагруженным резервом 9
Расчетно-логическая схема системы 9
Граф состояний системы. 9
Получение расчетных формул основных характеристик системы. 9
Выводы. 14
. Сравнение характеристик невосстанавливаемых резервированных систем с комбинированным резервом, рассмотренных в п. 2.1. и п.2.2. 14
Восстанавливаемая резервируемая система с целой кратностью при неограниченном ремонте 16
С нагруженным резервом 16
Расчетно-логическая схема 16
Граф состояний системы 16
Критерии надежности 16
Нахождения коэффициента Кг методом диффиренциальных уравнений на основе графа состояний системы. 18
С частично нагруженным резервом 22
Расчетно-логическая схема 22
Граф состояний системы 22
Критерии надежности 23
Нахождения коэффициента Кг методом диффиренциальных уравнений на основе графа состояний системы. 26
С ненагруженным резервом 31
Расчетно-логическая схема 31
Граф состояний системы 31
Критерии надежности 31
Нахождения коэффициента Кг методом диффиренциальных уравнений на основе графа состояний системы. 34
Выводы 37
Список литературы 38
ЗАДАНИЕ
Для заданных расчетно-логических схем систем:
1.1. Получить методами интегральных, дифференциальных уравнений и методом графов (не менее чем двумя методами) для указанных в задании типов систем общие соотношения и расчетные формулы для критериев надежности систем: вероятности безотказной работы P(t), среднего времени безотказной работы mt, коэффициента готовности Кг, наработки на отказ
, среднего времени восстановления
, вероятности успешного использования системы R(t) = Кг*P(t).
1.2. Рассчитать для указанных в задании параметров по полученным соотношениям критерии надежности систем.
1.3. Исследовать влияние на надежность систем:
а) интенсивности отказов - P(
), mt(
), Кг(
),
, R(
),
б) интенсивности отказов при облегченном режиме работы системы - P(
), mt(
), Кг(
),
, R(
),
в) интенсивности восстановления - P(
), mt(
), Кг(
), R(
),
г) числа резервных блоков для различных типов резерва - Pг,т,х(s), mt г,т,х (s),
1.4. Провести сравнение по вероятности безотказной работы, среднему времени безотказной работы, коэффициенту готовности
а) резервированной и нерезервированной систем - Pр,нр, mt р,нр, Кгр,нр,
р,нр,
б) различных типов резерва - Pг,т,х, mt г,т,х, Кгг,т,х,
г,т,х,
в) восстанавливаемых и невосстанавливаемых систем - Pв,нв, mt в,нв, Кгв,нв,
в,нв.
Типы систем:
1. Невосстанавливаемая резервированная система с комбинированным резервом.
2. Восстанавливаемая резервированная система с целой кратностью при неограниченном ремонте:
а) с нагруженным резервом,
б) с ненагруженным резервом.
в) с частично нагруженным резервом,
Исходные данные (для схем 4, 5 а,б,в):
НЕВОССТАНАВЛИВАЕМАЯ РЕЗЕРВИРОВАННАЯ СИСТЕМА С КОМБИНИРОВАННЫМ РЕЗЕРВОМ
Система с комбинированными нагруженным и ненагруженным резервом
Расчетно-логическая схема системы
Считается, что для работы системы достаточно наличие хотя бы одного работающего элемента. При выходе из строя элемента системы, находящегося в горячем резерве и при наличии элемента, находящегося в холодном резерве, этот элемент переводится в состояние горячего резерва.
. Граф состояний системы.
Рабочими для системы являются состояния с 0 по 6, состоянием отказа системы является состояние 7.
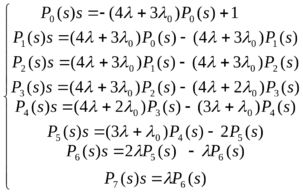
Расчет основных характеристик системы.
Система дифференциальных уравнений, соответствующая графу состояний системы, имеет вид:
Начальные условия для системы дифференциальных уравнений:
P0(0)=1
P1(0)=0
P2(0)=0
P3(0)=0
P4(0)=0
P5(0)=0
P6(0)=0
P7(0)=0
При расчете методом дифференциальных уравнений, после применения прямого преобразования Лапласа при начальных условиях система принимает вид:
Из этой системы:
После применения обратного преобразования Лапласа:
Функцию вероятности нахождения системы в рабочем состоянии, в силу наличия одного состояния отказа и нормировочного условия, можно записать следующим образом:
Pсист = P0(t)+P1(t)+P2(t)+P3(t)+P4(t)+ P5(t)+ P6(t) = 1-P7(t)
Для заданных значений t = 2400 ч и
= 0.0001 1/ч
Pсист =0.999508
Зависимость вероятности безотказной работы от времени:
Зависимость вероятности безотказной работы от интенсивности отказов:
Среднее время безотказной работы:
Для заданного значения
= 0.0001/ч mt =28333,333ч.
З
ависимость среднего времени безотказной работы от интенсивности отказов:
Выводы.
Из полученных графиков следует, что с увеличением времени работы системы уменьшается вероятность ее безотказной работы.
С увеличением интенсивности отказов уменьшается вероятность безотказной работы системы.
Для заданных значений интенсивности отказов
= 0.0001 1/ч и времени t=2400 ч вероятность безотказной работы системы Pсист = 0.999508.
С увеличением интенсивности отказов уменьшается среднее время безотказной работы.
Для заданного значения интенсивности отказов
= 0.0001 1/ч среднее время безотказной работы mt составляет 28333,333 ч., что превышает заданное t = 2400 ч., что соответствует тому, что с вероятностью 0.999508 к заданному времени система находится в работоспособном состоянии.
Система с комбинированными нагруженным и частично нагруженным резервом
Расчетно-логическая схема системы
Считается, что для работы системы достаточно наличие хотя бы одного работающего элемента. При выходе из строя элемента системы, находящегося в горячем резерве и при наличии элемента, находящегося в теплом резерве, этот элемент переводится в состояние горячего резерва.
Граф состояний системы.
4 + 30 4 + 20 4 + 0 4 3
Рабочими для системы являются состояния с 0 по 6, состоянием отказа системы является состояние 7.
Получение расчетных формул основных характеристик системы.
Система дифференциальных уравнений, соответствующая графу состояний системы, имеет вид:
Нормировочное условие:
Начальные условия для системы дифференциальных уравнений:
P0(0)=1
P1(0)=0
P2(0)=0
P3(0)=0
P4(0)=0
P5(0)=0
P6(0)=0
P7(0)=0
При расчете методом дифференциальных уравнений, после применения прямого преобразования Лапласа при начальных условиях система принимает вид:
После применения обратного преобразования Лапласа получаются следующие значения вероятностей:
Функцию вероятности нахождения системы в рабочем состоянии, в силу наличия одного состояния отказа и нормировочного условия, можно записать следующим образом:
Pсист = P0(t)+P1(t)+P2(t)+P3(t)+P4(t)+ P5(t)+ P6(t) = 1-P7(t)
Для заданных значений t = 2400 ч,
= 0.0001 1/ч и
0 = 0.00001 1/ч
Pсист = 0.999193
Зависимость вероятности безотказной работы от времени:
Зависимость вероятности безотказной работы от интенсивности отказов основных элементов:
З
ависимость вероятности безотказной работы от интенсивности отказов резервных элементов:
Среднее время безотказной работы:
Для заданных значений
= 0.0001 1/ч и
0 = 0.00001 1/ч mt =25928.57143 ч.
Зависимость среднего времени безотказной работы от интенсивности отказов основных элементов:
З
ависимость среднего времени безотказной работы от интенсивности отказов резервных элементов:
Выводы.
Из полученных графиков следует, что с увеличением времени работы системы уменьшается вероятность ее безотказной работы.
Характеристики
Тип файла документ
Документы такого типа открываются такими программами, как Microsoft Office Word на компьютерах Windows, Apple Pages на компьютерах Mac, Open Office - бесплатная альтернатива на различных платформах, в том числе Linux. Наиболее простым и современным решением будут Google документы, так как открываются онлайн без скачивания прямо в браузере на любой платформе. Существуют российские качественные аналоги, например от Яндекса.
Будьте внимательны на мобильных устройствах, так как там используются упрощённый функционал даже в официальном приложении от Microsoft, поэтому для просмотра скачивайте PDF-версию. А если нужно редактировать файл, то используйте оригинальный файл.
Файлы такого типа обычно разбиты на страницы, а текст может быть форматированным (жирный, курсив, выбор шрифта, таблицы и т.п.), а также в него можно добавлять изображения. Формат идеально подходит для рефератов, докладов и РПЗ курсовых проектов, которые необходимо распечатать. Кстати перед печатью также сохраняйте файл в PDF, так как принтер может начудить со шрифтами.















