diskr_edit (1023554), страница 7
Текст из файла (страница 7)
Граф G = (X, A) - планарный, если он может быть изображен на плоскости так, что не будет пересекающихся дуг.
Неориентированный граф G = (X, A) – двудольный, если множество его вершин X можно разбить на два такие подмножества X1 и X2, что каждое ребро имеет один конец в X1, а другой в X2.
3.2. Матричные способы задания графов
Для алгебраического задания графов используются матрицы смежности и инцидентности.
Матрица смежности A = (aij) определяется одинаково для ориентированного и неориентированного графов. Это квадратная матрица порядка n, где n - число вершин, у которой
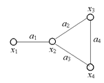
Пример 3.5.
Матрица смежности графа, изображенного на рис. 3.1, имеет вид:
Пример 3.6.
Матрица смежности ориентированного графа, изображенного на рис. 3.2, имеет вид:
Матрица смежности полностью задает граф.
Матрицей инцидентности B = (bij) ориентированного графа называется прямоугольная матрица (n ´ m), где n – число вершин, m – число ребер, у которой
Для неориентированного графа матрица инцидентности B задается следующим образом:
Пример 3.7.
Матрица инцидентности графа, изображенного на рис. 3.1, имеет вид:
Пример 3.8.
Матрица инцидентности ориентированного графа, изображенного на рис. 3.2, имеет вид:
Матрица инцидентности, также, как и матрица смежности, полностью задает граф.
Матрицы смежности и инцидентности удобны для задания графов на ЭВМ.
Основные свойства матриц смежности и инцидентности
1. Матрица смежности неориентированного графа является симметричной. Для ориентированного графа это, вообще говоря, неверно.
2. Сумма элементов i - ой строки или i -го столбца матрицы смежности неориентированного графа равна степени вершины xi.
3. Сумма элементов i - ой строки матрицы смежности ориентированного графа равна числу дуг, исходящих из xi.
4. Сумма элементов i - го столбца матрицы смежности ориентированного графа равна числу дуг, входящих в вершину xi.
5. Сумма строк матрицы инцидентности ориентированного графа является нулевой строкой.
Итак, возможны следующие различные способы задания графа:
а) посредством графического изображения;
б) указанием множества вершин и множества ребер (дуг);
в) матрицей смежности;
г) матрицей инцидентности.
3.3. Изоморфизм графов
Графы G1 = (X1, A1) и G2 = (X2, A2) изоморфны, если существует взаимно однозначное соответствие между множествами вершин X1 и X2, такое, что любые две вершины одного графа соединены тогда и только тогда, когда соответствующие вершины соединены в другом графе.
Пример 3.9
Графы, изображенные на рис. 3.4 являются изоморфными.
Рис. 3.4
Изоморфные графы отличаются только нумерацией вершин. Матрицы смежности двух изоморфных графов могут быть получены одна из другой перестановкой строк и столбцов. Чтобы узнать, являются ли два графа изоморфными, нужно произвести все возможные перестановки строк и столбцов матрицы смежности одного из графов. Если после какой-нибудь перестановки получится матрица смежности второго графа, то эти графы изоморфны. Чтобы убедиться, что графы неизоморфны, надо выполнить все n! возможных перестановок строк и столбцов.
3.4. Маршруты, циклы в неориентированном графе
Пусть G - неориентированный граф. Маршрутом или цепью в G называется такая последовательность (конечная или бесконечная) ребер a1, a2,... an..., что каждые соседние два ребра ai и ai+1 имеют общую инцидентную вершину. Одно и то же ребро может встречаться в маршруте несколько раз. В конечном маршруте (a1,a2,...an) имеется первое ребро a1 и последнее ребро an. Вершина x1, инцидентная ребру a1, но не инцидентная ребру a2, называется началом маршрута, а вершина xn, инцидентная ребру an, но не инцидентная ребру an-1, называется концом маршрута.
Длиной (или мощностью) маршрута называется число ребер, входящих в маршрут, причем каждое ребро считается столько раз, сколько оно входит в данный маршрут.
Пример 3.10.
В изображенном на рис. 3.5 графе рассмотрим два маршрута из вершины x1 в вершину x4: M1 = (a1, a2, a4) и M2 = (a1, a2, a5, a6). Длина маршрута M1 равна 3, а длина маршрута M2 равна 4.
Рис.3.5
Замкнутый маршрут называется циклом.
Маршрут (цикл), в которой все ребра различны, называется простой цепью (циклом). Маршрут (цикл), в которой все вершины, (кроме первой и последней), различны, называется элементарной цепью (циклом).
Пример 3.11.
В приведенном на рис 3.6 графе выделим следующие маршруты:
(a1,a3,a4) – простая элементарная цепь длины 3, т.к. все ребра и вершины попарно различны;
(a2,a4,a3) – простой элементарный цикл, т.к. это замкнутый маршрут, у которого все ребра и вершины, кроме первой и последней, различны;
(a1,a2,a4,a3) – цепь, которая является простой, но не элементарной, т.к. все ребра различны, но вершина x2 встречается дважды;
(a1,a2,a2) –маршрут длины 3, не являющийся ни простой, ни элементарной цепью, т.к. ребро a2 и вершина x2 встречаются дважды.
Рис.3.6
3.5. Пути, контуры в ориентированном графе
Понятия пути, контура в ориентированном графе аналогичны понятиям маршрута, цикла в неориентированном графе.
Путем ориентированного графа называется последовательность дуг, в которой конечная вершина всякой дуги, отличной от последней, является начальной вершиной следующей дуги.
Число дуг пути называется длиной пути.
Путь называется контуром, если его начальная вершина совпадает с конечной вершиной.
Путь (контур), в котором все дуги различны, называется простым.
Путь (контур), в котором все вершины, кроме первой и последней, различны, называется элементарным.
Следует усвоить, что понятиям ребра, маршрута, цепи, цикла в неориентированном графе соответствуют понятия дуги, пути, ориентированной цепи, контура в ориентированном графе. Для лучшего запоминания приведем эти термины в таблице.
| Неориентированный граф | Ориентированный граф |
| ребро маршрут цикл | дуга путь контур |
Пример 3.12.
В приведенном на рис 3.7 графе выделим следующие пути:
(x1,x2,x3,x4) – простой элементарный путь, т.к. каждая вершина и каждая дуга используются не более одного раза;
(x2,x5,x6,x7,x2) – простой элементарный контур, т.к. это замкнутый путь, в котором все дуги и вершины, кроме первой и последней, различны.
Рис. 3.7
3.6. Связность графа
Неориентированный граф называется связным, если каждая пара различных вершин может быть соединена по крайней мере одной цепью.
Ориентированный граф называется сильно связным, если для любых двух его вершин xi и xj существует хотя бы один путь, соединяющий xi с xj.
Ориентированный граф называется односторонне связным, если для любых двух его вершин по крайней мере одна достижима из другой.
Компонентой связности неориентированного графа называется его связный подграф, не являющийся собственным подграфом никакого другого связного подграфа данного графа (максимально связный подграф).
Компонентой сильной связности ориентированного графа называется его сильно связный подграф, не являющийся собственным подграфом никакого другого сильно связного подграфа данного графа (максимально сильно связный подграф).
Компонентой одностронней связности неориентированного графа называется его односторонне связный подграф, не являющийся собственным подграфом никакого другого односторонне связного подграфа данного графа (максимально односторонне связный подграф).
Пусть G = (X, A) неориентированный граф с множеством вершин X = {x1,...,xn}. Квадратная матрица S = (sij) порядка n, у которой
называется матрицей связности графа G.
Для ориентированного графа квадратная матрица T = (tij) порядка n, у которой
называется матрицей односторонней связности (достижимости).
Квадратная матрица S = (sij) порядка n, у которой
называется матрицей сильной связности.
Пример 3.13.
У неориентированного графа, изображенного на рис. 3.8 две компоненты связности. Первая компонента связности включает вершины x1, x2, x4, x5, а вторая состоит из одной вершины x3.
Рис.3.8
Матрица связности этого графа имеет вид:
Мы видим, что 1-ая, 2-ая, 4-ая и 5-ая строки матрицы S одинаковы.
Пример 3.14.
У ориентированного графа, изображенного на рис. 3.9 две компоненты сильной связности. Первая компонента связности включает вершины x1, x2, x3, x5, а вторая состоит из одной вершины x4. Действительно, для любой пары вершин из множества {x1, x2, x3, x5} существует хотя бы один путь, соединяющий эти вершины. Например, путь (x1, x2, x5, x3, x1) соединяет все эти вершины. Из вершины x4 нет пути ни в одну вершину графа.
Рис. 3.9
Матрица сильной связности этого графа имеет вид:
B = 















