ВМ (1023545), страница 5
Текст из файла (страница 5)
Конечные разности рассчитываются по приведенным выше формулам.
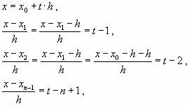
Полученную формулу можно записать в другом виде. Для этого введем переменную
В этом случае:
С учетом этих соотношений формулу многочлена Ньютона можно записать в виде:
Полученное выражение может аппроксимировать данную функцию y = f(x) на всем отрезке изменения аргумента [x0, xn]. Однако, более целесообразно (с точки зрения повышения точности расчетов и уменьшения числа слагаемых в полученной формуле) ограничиться случаем t < 1, то есть использовать эту формулу для x0, x, x1. Для других случаев вместо x0 принять xi, если xi x xi+1 при i = 0,n-1.
М
етод выбранных точек и средних. Он состоит в следующем: по заданным табл. данным X0Y наносится система т.
После этого проверяется линия, соответствующая внешнему виду (x) и наиболее близко проходящая от заданных точек:
На проведённой линии выбираются нов. т., не принадлежащие системе табличных данных, а их число д.б = кол-ву не известных параметров эмпирической зависемоти. Значение координат в этих точках тщательно измеряются. Они используются для записи системы уравнений
, исходя из условия прохождения графика (x) через эти точки. Решая полученную систему ур., находим неизвестные параметры
. Другим методом явл. метод средних. Он базируется на предположении, что параметры
функции (x) можно определить из равенства 0 суммы погрешности i во всех точках Xi:
Из полученного ур. можно вычислить не известные параметры
Однако, однозначно рассчитать все m+1 параметр из одного ур. нельзя. Поэтому полученные равенства путём группировки погрешностей I разделяют на систему m-1 ур-я. Решая полученную систему, находим неизвестные параметры.
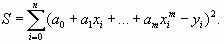
ВОПРОС №15. Метод наименьших квадратов.
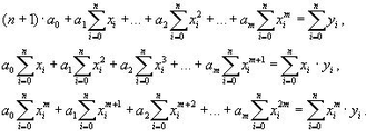
Для определения параметров эмпирической ф-лы а0,а1,…,ам запишем сумму квадратов отклонений xi, i=0, n:
Параметры a0,a1,...,am будем искать при условии минимума функции S = S(a0,a1,...,am).
Поскольку в этом случае параметры a0,a1,...,am выступают в роли независимых переменных функции S (1), то ее min найдем, приравнивая к 0 частные производные по этим переменным:
Полученные соотношения представляют собой систему уравнений для определения a0,a1,...,am.
На практике широко распространен случай, когда в качестве ЭФ используется полином:
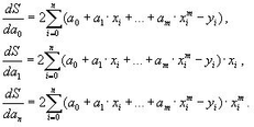
Рассмотрим применение МНК для этого случая. Построим сумму квадратов для отклонений:
Найдем частные производные функции S = S(a0,a1,...,am).
Приравнивая к 0 эти выражения и собирая коэффициенты при неизвестных a0,a1,...,am, получаем систему уравнений:
Решая полученную СЛАУ получим коэффициенты a0,a1,..., an многочлена S = S(a0,a1,a1,...,an), которые являются исходными параметрами эмпирической формулы.
ВОПРОС №17. Численное интегрирование и дифференцирование.
Численное интегрирование.
В
прикладных исследованиях часто возникает необходимость вычисления значения определенного интеграла
Он может выражать площадь, объем, работу переменной силы и т.д.
Если функция f(x) непрерывна на отрезке [a;b] и ее можно выразить через известные функции, то для вычисления интеграла (1) можно воспользоваться формулой Ньютона- Лейбница:
Однако в действительности очень часто получить решение (1) с помощью формулы (2) или других аналитических методов невозможно.
Примером может служить широко применяемый для исследования процессов теплообмена и диффузии, в статистической физике и теории вероятностей интеграл:
значение, которого не может быть выражено в виде конечной комбинации элементарных функций.
Помимо этого вычисления интеграла (1) в аналитической форме могут быть длительным и трудоемким процессом, приводящим к приближенному результату, или не дающими такового совсем.
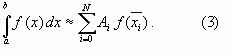
На практике помимо аналитических методов широко применяются специальные численные методы. Наиболее широко применяются квадратурные формулы вида:
- некоторые т., ∊[a; b] – узлы квадратной ф-лы;
Аi – числовые коэф., называемые весами квадратной формулы.
Выведем простейшие квадратурные формулы, исходя из геометрических соображений. Известно, что интеграл (1) - площадь криволинейной трапеции, ограниченная сверху функцией f(x) (рис.1).
Разобьем отрезок [a;b] на элементарные отрезки [xi-1,xi ] точками
При этом интеграл будет представлять сумму своих составляющих.
Будем считать шаг h = xi - x i-1 постоянным и введем обозначения fi = f (xi), fi-1/2 = f (xi-1/2),
где xi-1/2 = (xi-1/2 + xi) / 2 - середина элементарного отрезка.
Численное дифференцирование.
Во многих задачах решение включает необходимость вычисления производных. Если функциональная зависимость f(x) имеет простой вид, то в вычислительных алгоритмах можно использовать явный вид производной f `(x) для определения ее числовых значений. Однако, в реальных ситуациях, функция f(x) может быть представлена математической моделью или конечным множеством точек (xi; fi(x)). В этом случае отсутствует возможность пользоваться аналитическим выражением производной.
Вспомним определение производной:
можно использовать приближенное числовое значение:
Вторую производную в точке xi можно рассчитать по этой же формуле:
и так далее.
Данные формулы дают достаточно высокую точность при задании h→0
Выходом в данной ситуации может быть использование алгоритмов интерполяции.
ВОПРОС №18. Общая постановка задачи Коши. Метод Эйлера для её решения.
Численное решение задачи Коши. При рассмотрении технических систем и технологических процессов инженеру часто приходится сталкиваться с их характеристиками, которые непрерывным образом меняются во времени t. Такие явления подчиняются физическим законам, описываемым дифференциальными уравнениями. Одной из основных математических задач, решаемых для таких уравнений, является задача Коши. Обычно, к ней приходят, когда известно начальное состояние системы в момент времени t0 и требуется предсказать ее поведение в момент времени t > t0.
Рассмотрим задачу Коши для дифференциального уравнения первого порядка:
(1)
Решением уравнения (1) является дифференцируемая функция y(t), которая при подстановке в уравнение (1) превращается в тождество. График y(t)
называется интегральной кривой рис. (1), а процесс решения называется интегрированием.
Заметим, что уравнение (1) задает в каждой точке (t, y) тангенс угла наклона касательной к графику решения, проходящего через эту точку.
Если в каждой точке (t, y) задать с помощью некоторого вектора направление касательной, определенной значением f (t, y), то получится поле направлений.
Геометрическая задача интегрирования дифференциальных уравнений состоит в нахождении интегральных кривых, которые в каждой своей точке имеют заданное направление касательной. Для того чтобы выделить из семейства решений дифференциального уравнения (1) конкретное решение, задают начальное условие: y(t0)=y0
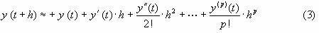
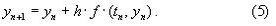
Метод Эйлера решения задачи Коши. Воспользуемся формулой Тейлора:
R(p+1)(t,h) - остаточный член. Если его отбросить, то получим приближенное равенство:
Если значение решения у в т. t известно, то в силу равенства (1) можно считать известными y’(t). Для нахождения производных
продифференцируем Ур. (1) по t. Получим:
Выражения усложняются по мере роста порядка K.
Использование приближенной формулы (3) приводит к формуле:
Метод Эйлера является первым и простейшим методом решения задачи Коши. Его можно получить, если в приближенном равенстве (4) положить p = 1, то есть оставить два первых слагаемых. Получим:
Геометрическая интерпретация одного шага метода Эйлера заключается в аппроксимации решения на отрезке [tn, tn+1] касательной y = yn + y' (tn) (t-tn), проведенной в точке (tn,yn) к интегральной кривой, проходящей через эту точку. Таким образом, после выполнения N шагов неизвестная интегральная кривая заменяется ломаной линией, для которой угловой коэффициент kn очередного n - го звена равен значению f (tn, yn). (рис. 3)
Погрешность аппроксимации в этом случае имеет вид:
ВОПРОС №19. Общая постановка задачи Коши. Метод Рунге – Кутта для её решения. Метод Рунге – Кутта 4-го порядка точности.
Численное решение задачи Коши. (ВОПРОС №18)
Метод Рунге - Кутта решения задачи Коши. Является наиболее популярным из одношаговых методов. Пусть y (t) - решение дифференциального уравнения y' = f (t,y), удовлетворяющее условию y (tn) = yn. Из формулы Ньютона - Лейбница
Если интеграл в формуле (6) можно было вычислить точно, то получилось бы простое выражение. Однако, в действительности это невозможно, поэтому будем строить приближенную формулу, заменив интеграл квадратурной суммой. Введем на отрезке [tn,tn+1] m вспомогательных узлов
Заменяя, входящий в равенство (6) интеграл квадратурной суммой с узлами tn(1), ... ,tn(m), получим приближенное равенство:
















