ВМ (1023545), страница 2
Текст из файла (страница 2)
Метод Стеффенса. В формулу метода Ньютона сделаем замену f (x ) f(z ⁿ ) - f(x ⁿ )/ z ⁿ - x ⁿ при условии z ⁿ x ⁿ и следует из определения производной f (x ) = lim z x f(z)-f(x)/z-x.
Заменив z ⁿ = x ⁿ + f(x ⁿ ), x (n+1) = x ⁿ - f2(x ⁿ )/ f(x ⁿ + f(x ⁿ ))- f(x ⁿ ), n 0.
Г
еометрическая иллюстрация.
Приближение x ⁿ получается как абсцисса т. пересечения с 0 x секущей, проходящей через т. М ⁿ и N ⁿ c координатами (x ⁿ , f(x ⁿ)) и (z ⁿ , f(z ⁿ )).Значение z ⁿ соответствует абсциссе т. пересечения с осью 0x прямой y = f(x ⁿ ) – (x - x ⁿ ), проходящей через т. Мⁿ и параллельной прямой y = - x.
ВОПРОС №7. Методы решения СЛАУ. Прямые и итерационные методы. Условие сходимости итерационных методов.
Численные методы линейной алгебры. К численным методам линейной алгебры относятся численные методы решения систем линейных алгебраических уравнений, обращения матриц, вычисления определителей и нахождения собственных значений и собственных векторов матриц.
Методы решения систем ЛАУ разбиваются на две группы. К первой группе точные или прямые методы – алгоритмы, позволяющие получить решение системы за конечное число арифметических действий. К этой группе относится метод Гаусса.
Вторую группу составляют приближенные методы (итерационные) решения СЛАУ.
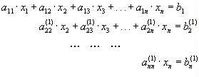
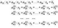
Метод Гаусса Предназначен для решения СЛАУ вида:
или Ах=в
,
,
Предположим, что матрица А - невырожденная, т.е. det А не равно 0. В этом случае решение системы существует и оно единственно, а рассматриваемая задача корректна.
Вычисления с помощью метода Гаусса. Состоят из двух шагов, называемых прямым и обратным ходом. Прямой ход метода Гаусса заключается в последовательном исключении неизвестных из системы с верхней треугольной матрицей. Вычисления значений неизвестных производят на этапе обратного хода. Рассмотрим простейший вариант метода Гаусса, называемый схемой единственного деления. Прямой ход состоит из (n-1) шагов исключения.
1-й шаг. Целью этого шага является исключение неизвестного x1 из уравнений с номерами i = 2,3,...,n. Предположим, что коэффициент a11 0 (главный элемент первого шага)
Вычислим величины i1=ai1 /a11(i=2,3,...,n), называемые множителями 1-го шага. Вычтем из второго, третьего и ... до n-го уравнений системы (1) первое уравнение, умноженное соответственно на 21,31,..., n1.Это позволит обратить в нуль коэффициенты при х1 во всех уравнениях , кроме первого. В результате получим эквивалентную систему.
в которой aij(1)=aij-i1 aij , bi(1)=bi-i1 b1.
2-й шаг. На этом шаге производится исключение х2 из уравнений с номерами i = 3, 4, . . . , n.
Вычислим i2=ai2(1)/ a22(1) относительно главного элемента 2-го шага, после чего произведем те же действия по исключению элементов аi2 из 3-й n . . . строк.
Аналогично проводятся остальные шаги.
k-й шаг. Предположим, что главный элемент k-го шага akk(k-1)0, вычислим множители k-го шага
ik= aik(k-1)/akk(k-1) , (i=k+1,...,n) и вычтем последовательно из (k + 1)-го , . . . , n-го уравнений полученной на предыдущем шаге системы k-е уравнение, умноженные соответственно на k+1,k+2,..., nk.
После (n -1) - го шага исключения получим систему уравнений
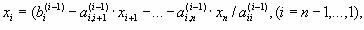
Получается матрица А(n-1), которая является верхней треугольной. На этом вычисления прямого хода заканчиваются.
Обратный ход. Из последнего уравнения системы (2) вычислим хn. Подставляя полученное значение в предпоследнее уравнение, вычислим значение хn-1. Таким образом, можно вычислить значения всех неизвестных. Вычисления здесь проводятся по формулам:
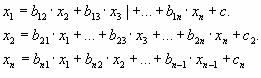
Метод простой итерации.
Для того чтобы применить метод простой итерации к решению системы ЛАУ
Aх = b (3)
С квадратной невырожденной матрицей А, необходимо преобразовать эту систему к виду
х = Вх + с, (4)
где В - квадратная матрица с элементом bij (i,j=1.n), с - вектор столбец с элементами ci (i=1,n).
Зададим некоторое начальное приближение x(0)=(x1(0),x2(0),..., xn(0))T. Подставив его в правую часть системы (4), находим первое приближение x(1)= Bx(0)+c и так далее.
Сходимость метода простой итерации.
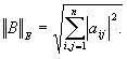
||B||<1. В этом случае существует и единственное решение системы (3) x. При этом метод итерации сходится при произвольном начальном приближении x(0).
||B|| - норма матрицы.
Евклидова норма матрицы, имеет вид:
Критерий окончания итерационного процесса.
||x(n)-x(n-1)|| <
Метод Зейделя.
Пусть система (3) приведена к виду:
С коэффициентами, вычисленными по формулам:
вij = - aij / aii , cij = вi / aii (i,j = 1,n , j i)
Метод Зейделя представляет собой модификацию метода простых итераций. Идея метода состоит в том, что при вычислении на (k+1)-ом шаге приближения к неизвестному хi при i>1, используется уже найденное (k+1)-е приближение x 1 , x 2, . . . , x i-1
Таким образом матрица В разбивается на две треугольные матрицы: верхнюю и нижнюю.
Расчетная формула принимает вид:
x k+1 =B1 x k+1 + x k + C
или
Условия сходимости и критерий окончания итерационного процесса те же.
ВОПРОС №8. Метод простой итерации для решения СНУ. Теорема о сходимости методов.
Методы решения систем нелинейных уравнений.
f1 (x1, x2, . . . , xn) =0,
f2 (x1, x2, . . . , xn) =0,
..........
fn (x1, x2, . . . , xn) =0,
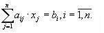
Найти точное решение системы (1), то есть вектор x = (x1, x2, . . . , xn)T удовлетворяющий уравнениям (1), практически невозможно, так как в описанном случае исключается использование прямых методов. Реальным путем решения системы (1) является использование итерационных методов для получения приближенного решения x* = (x1*, x2* , . . . , xn*) удовлетворяющего при заданном > 0 неравенству ||x* - x|| < .
Для удобства будем использовать сокращенную векторную форму записи систем: вектор неизвестных x = (x1, x2, . . . , xn)T и векторную функцию f = (f1, f2, . . . , fn)T.
В этих обозначениях система (1) примет вид:
f (x) = 0. (2)
Метод релаксации.
Имеем систему: Преобразуем ее к виду: Зададим начальное приближение: x(0)=(x1(0), x2(0),...,xn(0))
и
подставим в полученную систему.
Получаем невязки (отклонения).
Если одной из неизвестных xs(0) задать приращение xs(0), то соответствующая невязка уменьшится на эту величину, а все остальные невязки Ri(0)(iS) увеличатся на величину bis xs(0).то есть, чтобы обратить очередную невязку Rs(1) в нуль, необходимо величине xs(0) дать приращение xs(0)= Rs(0) и получим Rs(1)=0 и Ri(1)= Ri(0) + bis xs(0).
Таким образом, идея метода состоит в том, чтобы на каждом шаге обращать в нуль максимальную по модулю невязку путем изменения значения соответствующей компоненты приближения. Процесс заканчивается, когда все невязки последней преобразованной системы будут равны нулю с заданной точностью.
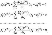
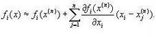
Будем считать функции fi(x), входящие в систему (1) непрерывно дифференцируемыми в некоторой окресности решения x¯. Введем для системы функций f1,f2,...,fn матрицу Якоби
Метод простой итерации.
Преобразуем систему (1) к эквивалентному виду:
Зададим начальное приближение x(0)= (x1(0),x2(0),...,xn(0). Подставляя его в правую часть системы (4) получим первое приближение к решению. Повторяя этот процесс решения системы (1). Очередное приближение x(k+1)вычисляется по формулам
Е
сли ввести в рассмотрение векторную функцию =(1,2, ...,n), то итерационный процесс можно записать кратко
x(k+1)=(x(k)). (5)
По аналогии с МПИ для решения одного нелинейного уравнения рассмотрим условия работоспособности МПИ для СНУ.
Сходимость метода.
Пусть '(x) - матрица Якоби, отвечающая вектор - функции (x).
Теорема. Пусть в некоторой - окрестности решения x¯ функции i(x) (i=1,n¯) дифференцируемы и выполнено неравенство
||'(x)||g, где 0g<1 (const).
Тогда независимо от выбора начального приближения x(0) из указанной -окрестности корня итерационная последовательность не выходит из этой окрестности, метод сходится со скоростью геометрической прогрессии и справедлива следующая оценка погрешности:
На практике часто используется следующая оценка окончания итерационного процесса:
||x(n)-x(n-1)|| 1
Метод Ньютона для решения СНУ.
Обобщим метод Ньютона для решения одного НУ на решение системы НУ (1).
Предположим, что исходя из начального приближения x(0) к решению x¯ построены приближения x(1), x(2),...,x(n).Заменим в системе (1) каждую функцию fi (i=1,n¯)линейной частью ее разложения по формуле Тейлора в точке x(n):
















