ВМ (1023545), страница 4
Текст из файла (страница 4)
Эти разности называются разностями первого порядка.
Можно составить разности второго порядка:
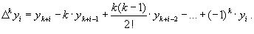
Аналогично составляются разности k-го порядка:
Выразим конечные разности непосредственно через значение функции:
Таким образом, для любого k можно записать:
Запишем эту формулу для значений разности в узле xi:
Используя конечные разности можно определить
Перейдем к построению интерполяционного многочлена Ньютона. Этот многочлен будем искать в виде:
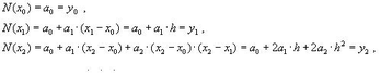
График многочлена должен проходить через заданные узлы, то есть N(xi) = yi(i = 0,n). Используем эти условия для нахождения коэффициентов многочлена:
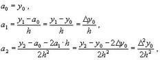
Найдем отсюда коэффициенты ai :
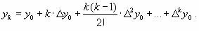
Таким образом для любого k-го коэффициента формула примет вид:
Подставляя эти формулы в выражение многочлена Ньютона получим его следующий вид:
Конечные разности рассчитываются по приведенным выше формулам.
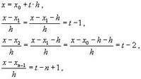
Полученную формулу можно записать в другом виде. Для этого введем переменную
В этом случае:
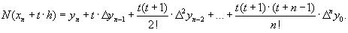
С учетом этих соотношений формулу многочлена Ньютона можно записать в виде:
Полученное выражение может аппроксимировать данную функцию y = f(x) на всем отрезке изменения аргумента [x0, xn]. Однако, более целесообразно (с точки зрения повышения точности расчетов и уменьшения числа слагаемых в полученной формуле) ограничиться случаем t < 1, то есть использовать эту формулу для x0, x, x1. Для других случаев вместо x0 принять xi, если xi x xi+1 при i = 0,n-1. В этом случае интерполяционный многочлен можно записать в виде:
Полученная формула называется первым интерполяционным многочленом Ньютона для интерполяции вперед.
Эту интерполяционную формулу обычно используют для вычисления значений функции в точках левой половины рассматриваемого отрезка. Это объясняется следующим: разности
вычисляются через значения функции yi, yi+1, ... , yi+k, причем i + k < n. Из-за этого при больших значениях i мы не можем вычислить разности высших порядков (k < n-i).
ВОПРОС №12. Многочлен Ньютона с конечными разностями для интерполяции назад.
В рассмотренных выше методах не делалось никаких предположений о законе распределения узлов интерполяции. Рассмотрим случай равноотстоящих узлов интерполяции, то есть xi - xi-1 = const = h, i=2n. h - называется шагом.
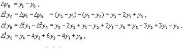
Введем понятие конечных разностей. Пусть известны значения функции в узлах xi : yi = f(xi ). Составим разности значений функции:
Эти разности называются разностями первого порядка.
Можно составить разности второго порядка:
Аналогично составляются разности k-го порядка:
Выразим конечные разности непосредственно через значение функции:
Таким образом, для любого k можно записать:
Запишем эту формулу для значений разности в узле xi:
Используя конечные разности можно определить
Перейдем к построению интерполяционного многочлена Ньютона. Этот многочлен будем искать в виде:
График многочлена должен проходить через заданные узлы, то есть N(xi) = yi(i = 0,n). Используем эти условия для нахождения коэффициентов многочлена:
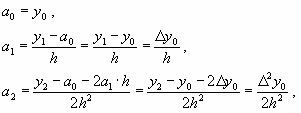
Найдем отсюда коэффициенты ai :
Таким образом для любого k-го коэффициента формула примет вид:
Подставляя эти формулы в выражение многочлена Ньютона получим его следующий вид:
Конечные разности рассчитываются по приведенным выше формулам.
Полученную формулу можно записать в другом виде. Для этого введем переменную
В этом случае:
С учетом этих соотношений формулу многочлена Ньютона можно записать в виде:
Полученное выражение может аппроксимировать данную функцию y = f(x) на всем отрезке изменения аргумента [x0, xn]. Однако, более целесообразно (с точки зрения повышения точности расчетов и уменьшения числа слагаемых в полученной формуле) ограничиться случаем t < 1, то есть использовать эту формулу для x0, x, x1. Для других случаев вместо x0 принять xi, если xi x xi+1 при i = 0,n-1.
Для правой половины рассматриваемого отрезка разности лучше вычислять справа налево. В этом случае t = (x - xn ) / h, то есть t < 0 и интерполяционный многочлен Ньютона можно получить в виде:
Полученная формула называется вторым интерполяционным многочленом назад.
ВОПРОС №13. Многочлен Ньютона с конечными разностями для интерполяции Сплайны.
Использование многочленов высокой степени при решении задачи интерполяции связана с повышением сложности вычислений. Помимо этого необходимы спец методы составления подобных многочленов. Дополнительная трудность составляет накопление ошибок в округлении при проведении вычислений. Выходом может служить применение локальной интерполяции с использованием многочленов невысокой степени. Главным недостатком здесь явл. отличие производных у соседних многочленов в т. стыка. Иногда быв. ситуации, требующие гладкости интерполяции многочлена. В этом случае в качестве интерполяции ф-и рекомендуют исп. сплайны, представленные собой спец образом построенные гладкие кусочно-многочленные ф-и, сочетающие в себе локальную простату и глобальную на всём отрезке [x0; xn] гладкость. Пусть отрезок [x0; xn] разбит на n частей [xi-1; xi]. Тогда сплайном степени m Sm(x) наз. ф-ия, обладающая след. св-ми: 1. ф-ия Sm(x) непрерывна на всём отрезке от [x0; xm] вместе со своими производноми до некоторого порядка Р; 2. На каждом отрезке [xi-1; xi] сплайн совпадает с некоторым многочленом степени m. Sm(x)=Pm,i(x)
Разность теорем между степенью сплайна и наивысшей на отрезке (x0; xn) непрерывной производной наз. дефектом сплайна. Показанный на рисунке. Дефект сплайна = 1.
На практике наиб. распространенные полиномы кубич. сплайны с дефектом 1или 2. На каждом отрезке такой сплайн совпад. с полиномом вида:
Потребуем, чтобы на отрезке (x0; xn) сплайн имел как линейно одну непрерывную производную:
Величина называется наклоном сплайна. Т.о., на всём отрезке (xi-1; xi) кубический сплайн однозначно определяется величинами
Фактически задача сводится к определению наклонов сплайна Si-1 и Si :
Если в т. xi , где
, нам известны не только величины
, но и величины
, то естественно предположить:
. Получаемый в этом случае сплайн называется естественным.
Можно потребовать, чтобы кубический сплайн имел непрерывную на отрезке от x0 до xn 2-ю производную. Для этого наклоны Si д.б. подобраны т.о., чтобы в т.т. стыка xi у соседних полиномов P3,i(x) и P3,i+1(x) совпадали значения 2-х производных:
. Используя ф-лу (1), найдём выражения 2-х производных для полиномов на i-ом и i+1-ом участках.
Приравниваем значения 2-х производных в т. стыка, получим систему из n-1 ур. для n+1 неизвестного:
Полученная система явл. не доопределённой.
Если известны численные значения
, то найденная система
дополнилась бы 2-я ур.: для левой границы:
Если численные значения
неизвестны, то полученную систему можно привести к системе, определяющий естественный кубический сплайн. В этом случае искусственно полагают вторые производные на границах отрезка x0 и xn = 0.
ВОПРОС №14. Многочлен Ньютона с оконченными разностями для интерполяции. Характер экспериментальных данных. Понятие аппроксимации. Метод выбранных точек и средних.
Многочлен Ньютона с конечными разностями для интерполяции. В рассмотренных выше методах не делалось никаких предположений о законе распределения узлов интерполяции. Рассмотрим случай равноотстоящих узлов интерполяции, то есть xi - xi-1 = const = h, i=2n. h - называется шагом.
Введем понятие конечных разностей. Пусть известны значения функции в узлах xi : yi = f(xi ). Составим разности значений функции:
Эти разности называются разностями первого порядка.
Можно составить разности второго порядка:
Аналогично составляются разности k-го порядка:
Выразим конечные разности непосредственно через значение функции:
Таким образом, для любого k можно записать:
Запишем эту формулу для значений разности в узле xi:
Используя конечные разности можно определить
Перейдем к построению интерполяционного многочлена Ньютона. Этот многочлен будем искать в виде:
График многочлена должен проходить через заданные узлы, то есть N(xi) = yi(i = 0,n). Используем эти условия для нахождения коэффициентов многочлена:
Найдем отсюда коэффициенты ai :
Таким образом для любого k-го коэффициента формула примет вид:
Подставляя эти формулы в выражение многочлена Ньютона получим его следующий вид:
















