Ответы на экзаменационные вопросы по БЖД (МИРЭА) (1023511), страница 20
Текст из файла (страница 20)
Определить наименьшее безопасное сопротивление изоляции при однофазном прикосновении в сети с изолированной нейтралью с Uф = 380 В при времени прикосновения T = 1 с, Сф=0.
Найти наименьшее значение фазного активного сопротивления изоляции Rф при Сф = 0, при котором ток через человека не превысит 10 мА (однофазное прикосновение). Привести схему,соответствующую условию задачи.
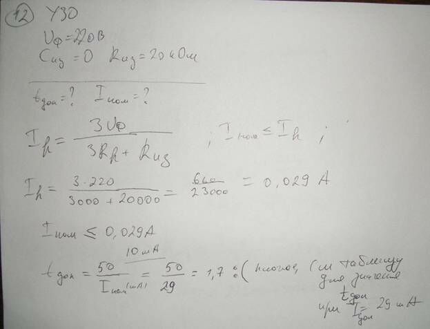
Электроустановка, питающаяся от сети с изолированной нейтралью защищена УЗО, реагирующим на ток утечки на землю. Определить допустимое время и ток срабатывания устройства, если Uф = 220 В, Сиз = 0, Rиз = 20 кОм.
Как изменится ток через тело человека при однофазном прикосновении в сети с изолированной нейтралью (Uф = 220В, Rф = 20 кОм) при подключении к каждой фазе емкости С = 2 мкф.
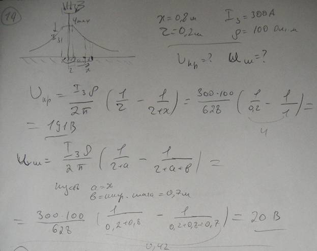
Определить напряжение прикосновения и шаговое напряжение на расстоянии 0,8 м от полусферического заземлителя радиусом 0,2 м, если Iз = 300 А, p = 100 ом м. Предложить методы сниженияUпр. и Uш.
Определить на каком расстоянии от полусферического заземлителя Uпр = 6 В, если Uн = 660 В, Rиз = 3кОм, p = 250 Ом м, Сиз = 0, r = 0,3 м.
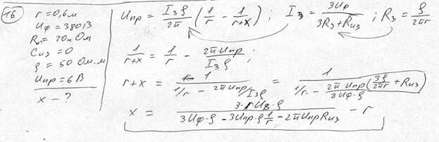
Определить на каком расстоянии от полусферического заземлителя (r = 0,6 м) Uпр = 6 В, если Uф = 380 В, R = 20 кОм, Сиз = 0, p = 50 Ом м.
Определить напряжение прикосновения и шаговое напряжение на расстоянии 1 м от полусферического заземлителя (r = 0,3), если Iз = 100 А. p = 60 Ом м. Изложить методы снижения Uпр и Uш.
Определить безопасное расстояние от источника СВЧ излучения для работы без экрана, если: Р = 25 Вт, Т = 15 мин, G = 250.
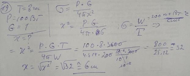
На каком расстоянии от антенны РЛС СВЧ диапазона можно разместить рабочее место для работы в течение 8 часов, если мощность излучения Р = 100 Вт, направленность излучения в режиме сканирования G = 1.
Оценить необходимость звукоизоляции двух источников шума по L = 70 дБ каждый, f = 1000 Гц, помещение – лаборатория.
Рассчитать комбинированное освещение на рабочих местах, если Екомб. = 1 000 лк, Еусл = 200 лк, S=200 м2, n=0,5.
Рассчитать необходимое количество воздуха для вентиляции монтажного участка, на котором производится пайка электронных схем. Количество р.м – 50, количество паек на 1 р.м. в час – 30. При одной пайке расходуется припоя ПОС – 60 – 0,5 г и канифоли – 1 г (испаряется олова – 2 %, свинца – 0, 5 %, канифоли – 90 %).
Определить мощность вентилятора для удаления избыточного тепла из помещения (Р = 16 кВт). Число работающих – 5 человек, площадь окон на юг – 20 м2, плотность воздуха J = 1,29 кг/м3, разность температур удаляемого и подсасываемого воздуха 10 С, окна выполнены с двойным остеклением, Н = 200 Па.















