Ответы на экзаменационные вопросы по БЖД (МИРЭА) (1023511), страница 19
Текст из файла (страница 19)
- документы периодически анализировались, при необходимости корректировались и переутверждались уполномоченными лицами;
- копии учтенных документов и принятых данных были доступными на всех местах, где их использование существенно для эффективного функционирования системы управления охраной труда;
- отмененные документы и данные соответственно изымались из всех мест их хранения, рассылки и применения или защищались каким-либо другим способом, исключающим их непреднамеренное использование;
- архивированные документы и данные, относящиеся к законодательно регулируемым требованиям, сохранялись в соответствии с требованиями соответствующих нормативных актов или для сохранения накопленных сведений. При этом устаревшие документы и данные должны быть соответственно обозначены.
5.8. Управление производственно-технологическими операциями
Организация должна определять те операции и виды деятельности, которые связаны с выявленными опасностями и факторами охраны труда, согласующимися с ее политикой и целями в области охраны труда. Организация должна планировать эти виды деятельности, включая техническое обслуживание, эксплуатацию и ремонт оборудования, с тем, чтобы гарантировать выполнение соответствующих нормативных требований охраны труда путем:
- установления и обеспечения выполнения процедур, направленных на устранение отклонений от политики организации, целей и задач в области охраны труда;
- выполнения установленных функциональных критериев (нормативных требований) к процессам;
- установления и обеспечения использования методов выявления рисков, связанных с работой оборудования, используемым сырьем, комплектующими, услугами, получаемыми и используемыми организацией, и информирования поставщиков и подрядчиков о соответствующих требованиях;
- разработки и использования методов проектирования оснащения рабочих мест, производственных процессов, оборудования с учетом требований эргономики, обеспечивая исключение или снижение производственного рисканепосредственно в месте его проявления.
6. Контроль результативности охраны труда
6.1. Методы периодической оценки состояния охраны труда
6.1.1. Организация должна устанавливать и своевременно корректировать методы периодической оценки соответствия состояния охраны труда действующему законодательству, государственным нормативным требованиям охраны труда.
6.1.2. Организация должна разрабатывать и обеспечивать функционирование процессов регулярного слежения, измерения и регистрации результативности операций, способных воздействовать на условия труда. Эти процессы должны касаться:
- проведения необходимых качественных и количественных оценок в соответствии с установленными требованиями, целями организации в области охраны труда;
- измерения результатов соответствия установленным критериям (нормативным показателям) функционирования и государственным нормативным требованиям охраны труда;
- регистрации несчастных случаев, профессиональных заболеваний, происшествий и других свидетельств недостаточной эффективности системы управления охраной труда;
- регистрации данных и результатов контроля и измерений, достаточных для последующего проведения анализа результатов оперативного контроля за соответствием целям охраны труда и выработки необходимых корректирующих и предупредительных действий;
- обследования состояния здоровья работников.
Примечание. В случаях, определенных законодательством, должны быть обеспечены мониторинг и регистрация данных о здоровье работников, подвергающихся определенным опасностям.
6.1.3. Организация должна располагать данными о нормативных требованиях поверки оборудования и аппаратуры контроля, измерения и обеспечивать своевременное техническое обслуживание и поверку этих средств. Запись о проведенных поверках следует регистрировать и сохранять.
6.2. Несоответствия, проверочные, корректирующие и предупредительные действия
6.2.1. Организация должна устанавливать и своевременно корректировать методы выявления и анализа несоответствий, принятия мер для смягчения последствий их проявления, а также по инициированию и выполнению проверочных, корректирующих и предупредительных действий. Любое корректирующее или предупредительное действие, предпринятое для устранения причин действительного или потенциального несоответствия, должно быть соразмерно выявленному уровню воздействия на условия и охрану труда.
6.2.2. Организация должна осуществлять своевременную корректировку документированных методов, связанных с проверочными, корректирующими и предупредительными действиями, а также регистрировать эти действия.
6.3. Аварии, несчастные случаи и происшествия
6.3.1. Организация должна разрабатывать процедуры и обеспечивать выполнение:
- сбора данных и проведения анализа аварий, несчастных случаев, происшествий и других несоответствий;
- смягчения последствий аварий, несчастных случаев;
- корректирующих и предупредительных действий для исключения фактических или потенциальных несоответствий (предполагаемые корректирующие и предупредительные меры следует оценивать по уровню риска, связанного с их реализацией);
- анализа результативности предпринятых корректирующих и предупредительных действий;
- обязательного социального страхования работников от несчастного случая на производстве и профессионального заболевания.
6.3.2. Организация должна регистрировать все изменения в документации, обусловленные предпринятыми корректирующими и предупредительными действиями.
6.4. Записи и управление записями
6.4.1. Организация должна разрабатывать и поддерживать методы ведения записей по охране труда, включая сведения об обучении и инструктажах работников, о результатах внутренних аудитов охраны труда, результатах анализа руководством системы управления охраной труда.
6.4.2. Записи по охране труда должны быть четкими, определенными, отражающими все виды деятельности организации, доступными и иметь защиту от повреждения, разрушения, а также должны сохраняться в течение установленного срока. Сроки хранения должны быть указаны на документах, содержащих записи.
6.4.3. Записи следует актуализировать и хранить в порядке, установленном в организации, для анализа и подтверждения соответствия состояния управления охраной труда требованиям настоящего стандарта.
6.5. Аудит системы управления охраной труда
6.5.1. Организация должна разрабатывать и своевременно корректировать планы и методы проведения аудита системы управления охраной труда.
6.5.2. Аудит системы управления охраной труда проводят для:
- определения наличия в организации функционирующей системы управления охраной труда, определения соответствия системы управления охраной труда требованиям настоящего стандарта, положениям политики в области охраны труда;
- определения качества функционирования системы управления охраной труда, оценки результативности достижения целей, выполнения задач (мероприятий) по охране труда, своевременности их корректировки;
- рассмотрения и учета результатов предыдущих аудитов системы управления охраной труда;
- представления информации по результатам аудита системы управления охраной труда руководству организации.
6.5.3. План проведения аудита системы управления охраной труда должен основываться на результатах оценки производственных рисков и результатах предыдущих внутренних проверок системы управления охраной труда.
Методы аудита системы управления охраной труда должны соответствовать требованиям к их проведению, назначению, периодичности, уровню квалификации и компетентности лиц, осуществляющих аудит.
6.5.4. По результатам аудита системы управления охраной труда составляют отчеты.
6.5.5. Аудит системы управления охраной труда по возможности проводят лица, не несущие прямой ответственности за охрану труда и не зависимые от проверяемой деятельности.
Примечание. Термин "независимый" не обязательно означает внешний по отношению к организации.
6.6. Исключен
См. текст пункта 6.6
7. Рассмотрение (анализ) руководством организации функционирования системы управления охраной труда
7.1. Руководство организации (работодатель) должно через определенные промежутки времени анализировать функционирование системы управления охраной труда с целью обеспечения ее результативности, соответствия требованиям настоящего стандарта, а также обеспечения реализации принятой политики в области охраны труда.
7.2. Процесс анализа системы должен основываться на уверенности в том, что вся необходимая информация собрана и позволяет руководству вынести объективную оценку системы. Результаты анализа системы следует документировать.
7.3. Результаты анализа системы используют для проведения необходимых изменений в политике, целях и задачах в управлении охраной труда, учитывая данные внутренних аудитов системы управления охраной труда, изменений внешних обстоятельств и требований последовательного улучшения системы.
1. В сети с занулением: Uф = 220 В, Zн.пр. = 0,6 0м, ф.пр. = 0,3 Ом, Zт/3=0. Найти ток короткого замыкания, ток через тело человека и напряжение прикосновения.
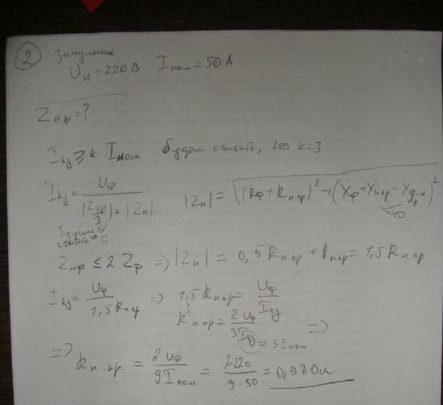
Определить сопротивление нулевого защитного провода в схеме зануления, при котором срабатывает предохранитель. Uн = 220 В, Iном. = 50 А.
3 нет
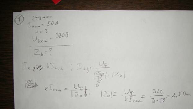
Определить полное сопротивление петли Zn , исходя из условия срабатывания защиты. В качестве защиты применяется плавкая вставка на 50 А. Uном. = 380 В.
3. Сравнить токи через человека при однофазном прикосновении к электроустановке при наличии и отсутствии компенсации. Uн = 650 В, Сиз.= 0,5 мкф, Rh = 2 кОм, Gиз. пренебречь, Rk = 5 Ом. Предложить способы обеспечения безопасности в случае однофазного прикосновения.
Сравнить токи через человека при однофазном прикосновении к электроустановке с изолированной
3. Сравнить токи через человека при однофазном прикосновении к электроустановке с изолированной нейтралью при наличии и отсутствии компенсации емкостного тока. Rк = 5 Ом, Rиз. = 10 кОм, Сиз. = 5 мкф, Uн = 380 В, Rh = 1 кОм. Дать заключение о способах обеспечения безопасности в случае однофазного прикосновения.
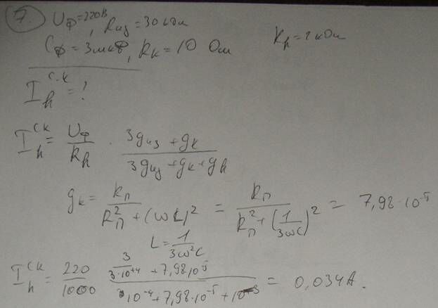
Определить значение тока через человека при компенсации в сети с Uф = 220 В, Rиз. = 30 кОм, Сф = 3мкф, Rк = 10 Ом.
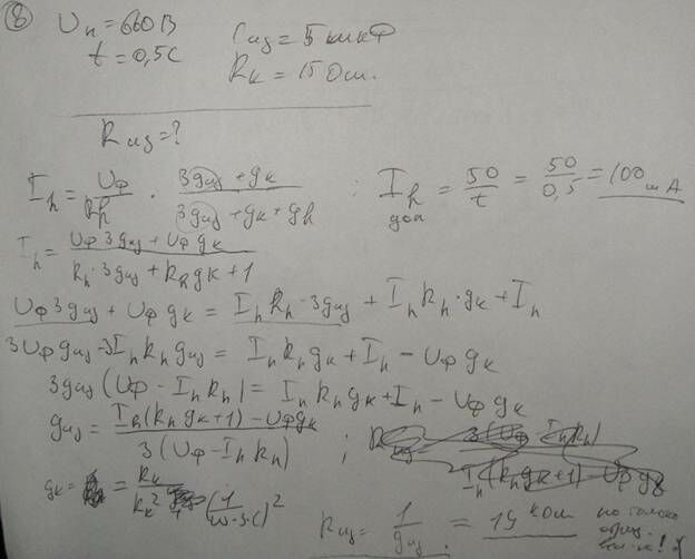
Определить сопротивление изоляции в сети с компенсацией емкостного тока, обеспечивающей безопасность человека. Uн = 660 В, время срабатывания защиты 0,5 с, Сиз. = 5мкф, Rк = 15 Ом.
В какой сети более эффективна компенсация емкостного тока: 1) Rиз = 50 кОм, Сиз = 1 мкф, 2) Rиз = 20 кОм, Сиз = 1 мкф, Uн = 380 В. Показать аналитически и с помощью векторных диаграмм. Rк= 5 Ом.















