Приложение1 (1022023)
Текст из файла
ЗАДАНИЕ 1 Приложение 1
Задача 1.1. Линейные электрические цепи постоянного тока
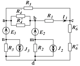
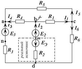
| Рис.0. Схема 1 (общая) | Дано: R1=45 Ом R2=60 Ом R3=33 Ом R4”=60 Ом R4’=20 Ом R5=21 Ом R6’=50 Ом R6”=25 Ом | E1=0 В E2=52,5 В E3=22,5 В J1= 0 В J2= 0,3 В J3=0 В | |
| 1. Преобразование общей схемы по варианту | |||
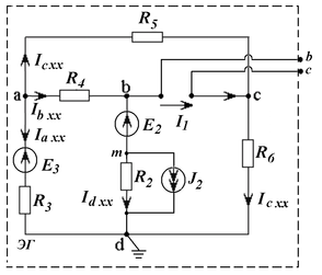
| Рис.1. Схема 2 (частная по варианту) J3=0 и не изображается. Пунктиром выделен реальный источник | |||
2. Расчет неизвестных токов в ветвях по законам Кирхгофа
а) Для схемы 2: число ветвей-8; число ветвей с известными токами-1 (ветвь с J2); неизвестных токов в ветвях 8-1=7; система должна содержать 7 уравнений (по числу неизвестных токов), число узлов a,b,c,d,m равно 5, число уравнений по I закону Кирхгофа должно быть 5-1=4, так как один из узлов заземлен. В схеме 2, где есть ветвь без сопротивления bm, нужно заземлить один из узлов этой ветви. Для составления уравнений по II закону Кирхгофа нужно 7-4=3 уравнения. Составляем граф схемы (источники энергии в графе представляем своими внутренними сопротивлениями
, резисторы R не изображаются) рис.3.
Уравнения по II закону Кирхгофа составляются для ячеек графа. Направление обхода контуров можно выбирать произвольно. Решая систему, находим неизвестные токи
(по заданию решать систему не нужно).
б) Для схемы 3: Число неизвестных токов - 6, число узлов – 4, число уравнений по I закону Кирхгофа 4-1=3, число уравнений по II закону Кирхгофа 6-3=3. Контуры и направления обхода выбираем по графу схемы (рис.4).
Решая систему, находим токи
(по заданию, решать систему не нужно).
3
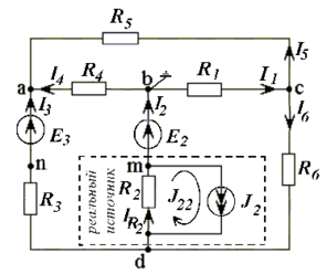
Рис.5. Контурные токи в схеме 2
. Расчет неизвестных токов в ветвях МКТЧисло уравнений системы МКТ равно число уравнений по II закону Кирхгофа. В контурах I, II, III протекают неизвестные контурные токи I11, I22, I33, которые и являются неизвестными системы. В ветви с источником тока течет известный ток J2, который создает в ячейке известный контурный ток J22=J2=0,3 A (схема 2) рис. 1.
В таком виде система соответствует схеме 3. Запишем систему в матричной форме.
Матрица в числах:
Решая систему относительно неизвестных, находим контурные токи
= 0,142 А,
= 0,042 А,
= 0,241 А и по принципу наложения выражаем через них токи в ветвях. Если контурный ток течет согласно с принятым направлением тока, то он берется со знаком плюс и наоборот.
4. Расчет неизвестных токов в ветвях МУП
Число уравнений системы равно числу уравнений по I закону Кирхгофа. Неизвестными системы являются неизвестные потенциалы узлов. Потенциал одного из узлов примем равным 0. В схеме, где есть ветвь, содержащая только Е, нужно выбирать за нуль потенциал одного из узлов этой ветви.
Для схемы 2:
= 0 ,
=
- E2=-52,5 B.
Для схемы 3:
Системы эквивалентны, так как
.
Система в матричной форме:
Решая систему относительно неизвестных, находим неизвестные потенциалы узлов:
= -1,489 B
= -4,472 B
= -22,579 В.
Выражаем токи в ветвях по закону Ома.
;
;
;
5. Сравнительная таблица результатов расчета токов *
| МКТ | 0,099 | 0,198 | 0,498 | 0,042 | 0,099 | -0,142 | 0,241 |
| МУП | 0,099 | 0,198 | 0,498 | 0,042 | 0,099 | -0,142 | 0,241 |
_________
* При сравнительных расчетах допустимая погрешность не должна превышать 5% от минимального значения величины.
6. Баланс мощностей (в схеме 2)
Примем
, т.е. рассмотрим схему 3 в режиме ХХ. Получим схему рис.6, соответствующую эквивалентному генератору. Это новая схема 4, в которой выбираем направления новых токов
. У нее три узла a, m, d. Значит, МУП соответствует система 2 уравнений. МКТ также соответствует
Рис. 6. Схема 4 система 2 уравнений (см. рис.7.),
т.к. в схеме 2 контура с неизвестными контурными токами
и
. (Схеме 3 будет соответствовать система: МКТ – 2 уравнения, МУП – 1 уравнение)
В
Рис.7. Граф схемы для МКТ
етвь с J2 создает известный контурный ток J22=J2 .Матрица в числах:
б) Система МКТ (рис.7):
Перенесем в правую часть уравнения в цифрах J2R2 и составим матричные уравнения.
Выражаем токи в ветвях через контурные.
в) Сравним токи в ветвях, полученные МУП и МКТ.
г) Находим
(т.к. ток
в схемах 2 и 3). Рассчитываем его по 2 различным путям, делая переход от второй точки «с» к первой «b». Изменение потенциалов на элементах учитываем по закону Ома (Рис. 6). Примем
, тогда
7,296 В =7,296 В.
| Рис.9. Рис.10. Схема замещения | (сравниваем результаты, полученные для ∆ abd и acd). е) Определяем ток |
8. Потенциальная диаграмма
Для схемы 2: рассмотрим контур a,b,m,d,a и рассчитаем
.
Рис.11. Потенциальная диаграмма
Характеристики
Тип файла документ
Документы такого типа открываются такими программами, как Microsoft Office Word на компьютерах Windows, Apple Pages на компьютерах Mac, Open Office - бесплатная альтернатива на различных платформах, в том числе Linux. Наиболее простым и современным решением будут Google документы, так как открываются онлайн без скачивания прямо в браузере на любой платформе. Существуют российские качественные аналоги, например от Яндекса.
Будьте внимательны на мобильных устройствах, так как там используются упрощённый функционал даже в официальном приложении от Microsoft, поэтому для просмотра скачивайте PDF-версию. А если нужно редактировать файл, то используйте оригинальный файл.
Файлы такого типа обычно разбиты на страницы, а текст может быть форматированным (жирный, курсив, выбор шрифта, таблицы и т.п.), а также в него можно добавлять изображения. Формат идеально подходит для рефератов, докладов и РПЗ курсовых проектов, которые необходимо распечатать. Кстати перед печатью также сохраняйте файл в PDF, так как принтер может начудить со шрифтами.
Рис.3.Ненаправленный граф схемы 2
















