__Rв-Rбвм вўса¤ле в__ (1018145), страница 2
Текст из файла (страница 2)
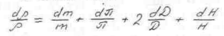
Так как погрешности отдельных измерений, как правило, не компенсируют друг друга, необходимо при этом заменить знаки "-" на "+". Наконец, заменяя дифференциалы dm , dH и т.д. приращениями соответствующих величин ∆ m , ∆ Н и т.д., получим окончательное выражение для относительной ошибки:
Здесь ∆m, ∆Н ... - абсолютные погрешности, определенные после прямых измерений данных параметров.
Табличные величины ( π, g и т.п. ), входящие в расчетные формулы могут быть взяты с большой точностью. Тогда связанными с ними погрешностями пренебрегают. При округлении их значений погрешности возрастают и должны быть учтены. Следует учитывать и погрешности параметров, которые в данном эксперименте не измеряются ( например, масса гири и т.п.).
В указанных выше случаях абсолютная погрешность берется равной половине единицы наименьшего разряда, представленного в числе. Если, например, дано, что m = 1,6 кг, следует взять ∆ m = 0,05 кг.
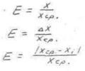
Рассчитав относительную погрешность по формуле (13), можно найти абсолютную погрешность измерения плотности:
∆ρ=Eρ (14)
Для правильной записи конечного результата необходимо округлить рассчитанное значение абсолютной погрешности и сам результат измерений. Как правило, точность оценки погрешности бывает очень небольшой. Поэтому абсолютная погрешность округляется до одной значащей цифры. Если, однако, эта цифра оказалась единицей, следует оставить две значащие цифры.
Округление конечного результата производится с учетом его погрешности. При этом последняя значащая цифра результата должна быть того же порядка величины ( находиться в той же десятичной позиции ), что и погрешность. Если, к примеру, получено, что ρ= 8723,23 кг/м3 , а ∆ ρ=93,27 кг/м3 , то правильная запись результата будет выглядеть так:
Порядок выполнения работы
1. С помощью штангенциркуля определить линейные размеры исследуемого тела, необходимые для вычисления его объема. Каждый параметр измерить не менее пяти раз.
2. С помощью весов и разновесов определить массу тела.
Взвешивание проводить не менее пяти раз.
3. Все экспериментальные результаты занести в таблицу 2.
Рекомендуется следующий метод взвешивания( метод Менделеева ). На одну чашку весов кладется гиря с массой заведомо большей, чем масса тела, а на другую - разновесы, добиваясь равновесия весов. Затем на чашку с разновесами помещают взвешиваемое тело, а разновесы снимают до тех пор, пока вновь не установится равновесие. Масса снятых гирь будет равна массе тела. Этот метод позволяет исключить систематические погрешности, связанные с неравноплечностыо весов и зависимостью их чувствительности от величины нагрузки.
Обработка результатов измерений
1. По полученным экспериментальным данным находят средние значения линейных размеров и массы тела.
2. Определяют абсолютные погрешности отдельных измерений и случайные погрешности проведенных прямых измерений. Результаты расчетов заносят в таблицу.
3. Используя средние значения замеренных параметров, вычисляют
плотность изучаемого тела.
4.Находят выражение для вычисления относительной погрешности измеренной плотности и рассчитывают ее значение.
5. Определяют абсолютную погрешность ∆ρ . Записывают окончательный результат измерения плотности тела, используя правила округления погрешностей и самой измеряемой величины.
Карточка контроля
I. Случайные погрешности могут быть связаны с:
1) неисправностями приборов 31
2) несовершенством методики измерений 70
3) условиями протекания экспериментов 26
4) несовершенством приборов 42
П. Многократные измерения проводятся с целью :
1) исключения систематических погрешностей 72
2) уменьшения случайных погрешностей 61
3) уменьшения приборных погрешностей 33
4) уменьшения систематических погрешностей 48
Ш. В качестве абсолютной погрешности прямого измерения следует взять:
1) погрешность использовавшегося прибора 28
2) наибольшую погрешность отдельных измерений 60
3) среднюю квадратичную погрешность 36
4) среднюю арифметическую погрешность 44
5) наибольшую величину из значений случайной погрешности и погрешности прибора 57
IV. Относительной погрешностью называется величина, определяемая соотношением :
















