__Rв-Rбвм вўса¤ле в__ (1018145)
Текст из файла
- 9 -
ГОСУДАРСТВЕННЫЙ КОМИТЕТ
РОССИЙСКОЙ ФЕДЕРАЦИИ ПО ВЫСШЕМУ ОБРАЗОВАНИЮ
МОСКОВСКИЙ ГОСУДАРСТВЕННЫЙ ИНСТИТУТ
РАДИОТЕХНИКИ, ЭЛЕКТРОНИКИ И АВТОМАТИКИ
(ТЕХНИЧЕСКИЙ УНИВЕРСИТЕТ)
ОПРЕДЕЛЕНИЕ ПЛОТНОСТИ ТВЕРДЫХ ТЕЛ
Методические указания по выполнению
лабораторной работы по физике
Для студентов всех специальностей
дневного,вечернего и заочного отделений
Москва 1994
Составитель Е.В.Козис
Редактор А.В.маковкии
Печатаются по решению редакционно-издательского совета Московского государственного нститута радиотехники, электроники и автоматики (технический университет)
Рецензенты: В.А.Фотиев
М.А.Привалов
Московский государственный
институт радиотехники, элек-
троники и автоматики
(технический университет),
1994.
Лицензия № 020456 от 04.03.92.
Подписано в печать 14.04.94. Формат 60 х 84 1/16.
Бумага писчая. Печать офсетная. Усл.печ.л, 0,7.
Усл.кр.-отт. 2,8. Уч.-изд.л. 0,75. Тираж 100 экз.
Бесплатно. Заказ 223.
Московский государственный институт радиотехники, электроники и автоматики (технический университет). 117454 Москва, просп.Вернадского, 78
ОПРДЕДЕЛЕНИЕ ПЛОТНОСТИ ТВЕРДЫХ ТЕЛ
Цель работы— ознакомление с методами измерений физических величин и расчетом погрешностей проводимых измерений на примере определения плотности твердого тела.
Задание. Определить линейные размеры изучаемого тела., необходимые для расчета его объема, взвесить тело и рассчитать его плотность. Оценить погрешности отдельных измерений и точность полученного результата.
Подготовка к выполнению лабораторной работы : изучить основные положения теории ошибок, ознакомиться с измерительным инструментом, используемым в работе.
Библиографический список
1. Савельев И.В.- Курс общей физики.- М.:Наука, 1992, том I,
гл. 5, _ 39.
2. Физический практикум/ Под редакцией Ивероновой В.И. -М.:
Физматгиз, 1962, введение.
3. Евтихиев Н.Н., Черкашина А.Г. Основы статистической теорий
измерений.-М.:.1978.
4. Зайдель А.Н. Ошибки измерений физических величин.- Д.:
Наука, 1974.
Контрольные вопросы
1. В чем причина возникновения ошибок при измерениях ?
2. Что называют случайной погрешностью ?
3. Что называют систематической погрешностью ?
4. Как определить погрешность прибора ?
5. Какова цель многократных измерений ?
6. Как найти абсолютную погрешность отдельного измерения?
7. Что такое средняя квадратичная погрешность ?
8. Как оценить погрешность прямого измерения ?
9. Что такое относительная погрешность ?
10. Как оценить погрешность косвенного измерения ?
11. Какова погрешность величин, значение которых дается в виде готового результата ?
12. Как округляют погрешности и окончательный результат ?
Описание аппаратуры и метода измерений
Для оценки плотности однородного твердого тела необходимо знать его объем и массу [1] . Массу тела можно определить взвешиванием его на рычажных весах. Объем тела правильной геометрической формы определяют, измеряя его линейные параметры.
Таким образом, чтобы узнать плотность тела, необходимо провести ряд физических измерений. Под измерением понимается сравнение измеряемой величины с другой величиной, принятой за единицу измерения. Измерения делятся на прямые и косвенные.
При прямых измерениях определяемая величина сравнивается с единицей измерения непосредственно с помощью измерительного прибора, проградуированного в соответствующих единицах. Примерами прямых измерений могут служить измерения длин линейкой, промежутков времени - секундомером и т.п.
При косвенных измерениях искомое значение величины не измеряется непосредственно, находится по известной зависимости между этой величиной и величинами, полученными при прямых измерениях. К косвенным относятся, например, измерения объема плотности твердых тел, измерение скорости движения тела по измерениям отрезков пути и промежутков времени, измерение удельного сопротивления проволоки и т.д.
Никакая физическая величина не может быть, однако, определена с абсолютной точностью. Другими словами, любое измерение всегда производится с некоторой ошибкой - погрешностью. Поэтому, полученное в результате измерений значение какой-либо величины должно быть записано в виде
Х+∆Х
где ∆ X - абсолютная погрешность измерения, характеризующая возможное отклонение измеренного значения данной величины от его истинного значения. При этом, поскольку истинное значение остается неизвестным, можно дать лишь приближенную оценку абсолютной погрешности.
Поскольку причины возникновения ошибок бывают самые, разные, необходимо классифицировать погрешности. Только тогда возможна их правильная оценка, так как от типа погрешностей зависит и способ их вычисления.
Погрешности подразделяются на случайные и систематические. Систематической погрешностью называют составляющую погрешности измерения, остающуюся постоянной или закономерно изменяющуюся при повторных измерениях одной и той же величины. Она может быть связана с неисправностями измерительных приборов, неточностью их регулировки, неправильной их установкой и т.п. Систематические погрешности в принципе могут быть исключены, поскольку причины, их вызывающие, в большинстве случаев известны.
Случайной погрешностью называют составляющую погрешности измерения, изменяющуюся случайным образом при повторных измерениях одной и той же величины. Случайные погрешности зависят от условий, в которых производятся измерения, от специфики измеряемых объектов и т.д. Эти погрешности принципиально неустранимы, однако их величина уменьшается при использовании многократных измерений.
Выделяют также погрешности приборов, которые могут иметь как систематический, так и случайный характер. Эти погрешности связаны с несовершенством любого (исправного) измерительного инструмента. Если значение измеряемой величины определяется по шкале инструмента, абсолютная погрешность прибора считается, как правило, равной половине цены деления шкалы ( например, линейки ) или цене деления шкалы, если стрелка прибора перемещается скачком (секундомер). Для приборов, снабженных нониусом, погрешность можно считать равной точности нониуса. Погрешности электроизмерительных приборов определяют по их классу точности.
Как уже указывалось, случайные погрешности можно уменьшить, многократно измеряя одну и ту же величину. Однако максимально возможная точность измерения определяется теми приборами, которые используются в эксперименте. Поэтому увеличение числа измерений имеет смысл лишь до тех пор, пока случайная погрешность не станет явно меньше погрешности прибора.
Предположим, что мы произвели n прямых измерений величины хi. Обозначим через X, Х2, ... , Хn результаты отдельных измерений,) которые вследствие наличия случайных погрешностей будут неодинаковы. В теории вероятностей доказывается, что истинное значение измеряемой величины (при отсутствии систематических погрешностей) равно ее среднему значению, получаемому при бесконечно большом числе измерений, т.е.
Поэтому наиболее близким к истинному будет для данной серии измерений среднее арифметическое значение, а именно:
Отклонения измеренных значений Х, от Хср. носят случайный характер и называются абсолютными ошибками отдельных измерений:
∆xi = |xср.- xi| (4)
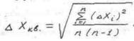
При ограниченном числе измерений надо оценить абсолютную погрешность измеряемой величины, т.е. величину расхождения между Хср. и Х ист. , которое зависит от абсолютных ошибок отдельных измерений ∆ Хi . В качестве меры абсолютной случайной погрешности можно взять среднее квадратичное отклонение (среднюю квадратичную погрешность) данной величины, вычисляемое по формуле:
Это не означает, однако, что истинное значение измеряемой величины обязательно будет заключено в интервале от Хср. - ∆Х кв. до Хср.+ ∆Х кв. Оказывается, что даже при очень большом числе измерений вероятность того, что истинное значение попадет в указанный интервал, не превышает 0,7. Другими словами, надежность полученного результата составит около 70 %. При малом числе измерений ( n < 10 ) оно будет еще меньше. Вероятность того, что истинное значение измеряемой величины попадет в интервал, заданный величиной абсолютной погрешности, называется доверительной вероятностью или коэффициентом доверия ρ, а соответствующий интервал - доверительным интервалом. Достоверность результата при данном числе измерений можно увеличить, уменьшая его точность, т.е. расширяя доверительный интервал.
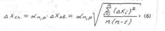
Обычно случайную погрешность рассчитывают по формуле:
где ά n,p- коэффициент, зависящий от числа измерений и
выбранного значения вероятности ρ. Значения ά n,p для ряда случаев приведены в таблице I.
Необходимая степень надежности результата определяется спецификой производимых измерений. В условиях учебной лаборатории достаточно брать ρ = 0,7.
Для окончательной оценки величины абсолютной погрешности ∆ Х необходимо сравнить вычисленную по формуле (6) случайную погрешность с погрешностями других видов. Если путем многократных измерений удалось сделать случайную ошибку заметно меньше приборной ( при незначительных систематических ошибках), то в качестве ∆Х можно взять погрешность использовавшегося прибора. В противном случае в качестве ∆X берут значение ∆ Хсл.
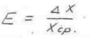
Для сравнительной оценки точности измерений различных величин используют так называемую относительную погрешность измерения, равную отношению абсолютной погрешности и среднему значению измеряемой величины; Е=∆Х/Хср. (7)
Относительную погрешность иногда выражают в процентах.
Тогда: Е=(∆Х/Хср )*100%
Как уже отмечалось, измерение плотности тел относится к косвенным измерениям. При таких измерениях физическая величина А является функцией величин х , у ,z,..., которые могут быть измерены непосредственно приборами. Результат косвенного измерения записывается в виде:
А + ∆А, (8)
где А=А(x,y,z...)- величина, рассчитанная по средним значениям параметров x , у , z , ... , ∆ А - абсолютная погрешность, зависящая от погрешностей этих параметров.
Абсолютную погрешность косвенных измерений удобнее рассчитать уже после того, как найдена относительная погрешность.
Эту погрешность можно записать в виде Е=dA/A
.С другой стороны: dA/A=d(lnA)
Таким образом, относительная погрешность величины А равна полному дифференциалу натурального логарифма функции, определяющей зависимость данной величины от измеряемых параметров, т.е.
E = d [ lnA(x,y,z,…) ] (9)
Рассмотрим пример расчета Е при определении плотности тела, имеющего форму цилиндра. Выражение для плотности будет тогда иметь следующий вид:
где Д - диаметр основания цилиндра; Н - высота цилиндра.
Таким образом, ρ является функцией параметров m, Д и Н , определяемых прямыми измерениями.
Чтобы найти Е=∆ρ/ρ прологарифмируем выражение (10):
lnρ = ln4 + lnm – lnπ -2lnD -lnH (11)
Теперь продифференцируем уравнение (II) слева и справа:
Характеристики
Тип файла документ
Документы такого типа открываются такими программами, как Microsoft Office Word на компьютерах Windows, Apple Pages на компьютерах Mac, Open Office - бесплатная альтернатива на различных платформах, в том числе Linux. Наиболее простым и современным решением будут Google документы, так как открываются онлайн без скачивания прямо в браузере на любой платформе. Существуют российские качественные аналоги, например от Яндекса.
Будьте внимательны на мобильных устройствах, так как там используются упрощённый функционал даже в официальном приложении от Microsoft, поэтому для просмотра скачивайте PDF-версию. А если нужно редактировать файл, то используйте оригинальный файл.
Файлы такого типа обычно разбиты на страницы, а текст может быть форматированным (жирный, курсив, выбор шрифта, таблицы и т.п.), а также в него можно добавлять изображения. Формат идеально подходит для рефератов, докладов и РПЗ курсовых проектов, которые необходимо распечатать. Кстати перед печатью также сохраняйте файл в PDF, так как принтер может начудить со шрифтами.
















