лаба 1 (1018155)
Текст из файла
Лабораторная работа №1
Тема: Определение плотности твердых тел.
Цель работы: ознакомление с методами измерений физических величин и расчетом погрешностей проводимых измерений на примере определения плотности твердого тела
Теоретическое введение:
Для оценки плотности однородного тела необходимо знать его обьем и массу.Массу тела можно определить , взвешивая его на рычажных весах. Обьем тела (в нашем случае цилиндра) можно узнать, проведя ряд физических измерений - сравнения измеряемой величины с другой величиной ,принятой за единицы измерения.
Измерения делятся на прямые и косвенные.
При прямых измерениях определяемая величина сравнивается с единицей измерения непосредственно с помощью измерительных приборов ,проградуированных в соответствующих единицах.
При косвенных измерениях определяемая величина не измеряется непосредственно ,а находится по известной зависимости между этой величиной и величинами, получаемых при прямых измерениях.
Однако, любое измерение всегда производится с некоторой ошибкой- погрешностью . Поэтому, полученное в результате измерений значение какой либо величины должно быть записано в виде: X+∆X ,где ∆X-абсолютная погрешность измерения .
Порядок работы:
-
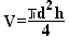
С помощью штангенциркуля определяют линейные размеры исследвуемого тела , необходимые для вычисления его обьема.
-
С помощью весов и разновесов определяем массу тела . Взвешивание проводим не менее пяти раз.
-
Все эксперементальные данные заносим в таблицу.
Обработка результатов измерений:
-
По полученным эксперементальным данным находим средние значения замеренных параметров, вычисляют плотность измеряемого тела.
-
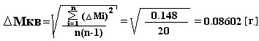
Определяют абсолютные погрешности отдельных измерений и случайные погрешности проведенных прямых измерений. Результаты записываем в таблицу.
-
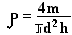
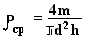
Используя средние значения замеренных параметров , находим плотность тела.
-
Находим выражение для вычисления относительной погрешности и рассчитываем ее значение.
-
О
пределяем абсолютную погрешность ∆ρ .Записываем окончательный результат , используя правила округления погрешностей и измеряемой величины.
Таблица эксперементальных данных: Федоров Михаил ВД-1-01
| .\№ | Измерение 1 | Измерение 2 | Измерение 3 | Измерение 4 | Измерение 5 | Среднее значение | Погрешность прибора | Случайная погре-шность | Погрешность из-мерений |
| Mi [грамм] | 58,0 | 58,1 | 58,5 | 58,3 | 58,2 | 58,22 | 0,2 | 0,1 | 0,2 |
| ∆ Mi [грамм] | 0,22 | 0,12 | 0,28 | 0,08 | 0,02 | ---- | ---- | ---- | ---- |
| ∆ Mi² | 0,0484 | 0,0144 | 0,0784 | 0,0064 | 0,0004 | ---- | ---- | ---- | ---- |
| Нi [мм] | 27,7 | 28,1 | 28,4 | 27,1 | 27,8 | 27,82 | 0,1 | 0,3 | 0,3 |
| ∆ Нi [мм] | 0,12 | 0,28 | 0,58 | 0,72 | 0,02 | ---- | ---- | ---- | ---- |
| ∆ Нi² | 0,0144 | 0,0784 | 0,3364 | 0,5184 | 0.0004 | ---- | ---- | ---- | ---- |
| Di [мм] | 18,2 | 16,2 | 17,4 | 18,4 | 17,8 | 17,6 | 0,1 | 0,5 | 0,5 |
| ∆ Di [мм] | 0,6 | 1,4 | 0,2 | 0,8 | 0,2 | --- | ---- | ---- | ---- |
| ∆ Di² | 0,36 | 1,96 | 0,04 | 0,64 | 0,04 | ---- | ---- | ---- |
1) Mcp=М1+М2+М3+М4+М5= 58,22
∆Mi=|Mcp-Mi|,поэтому: ∆M1=|Mcp-M1|=58,22-58,0=0,22 и.т.д.
∆Мсл=α ∆Мкв; α=1,2
∆Мсл=1,2 *0,08602=0,1
2) Нcp=Н1+Н2+Н3+Н4+Н5=27,82
∆Нi=|Нcp-Нi|,поэтому: ∆Н1=|Нcp-Н1|=27,82-27,7=0,12 и.т.д.
∆Н1²=(0,12)²=0,0144 и.т.д.
∆Нсл=α ∆Нкв; α=1,2
∆Нсл=1,2 *0,217715=0,3
3) Dcp=D1+D2+ D3+ D4+ D5=17,6
∆Di=|Dcp-Di|,поэтому: ∆D1=|Dcp-D1|= |17,6-18,2|=0,6 и.т.д.
∆D1²=0,6²=0,36 и.т.д.
∆Dсл=α ∆Dкв; α=1,2
∆Dсл=1,2 *0,3898=0,5
Следовательно:
m=mср±∆m; h=hср±∆h; d=dср±∆d;
m=58,2±0,2; h=27,8±0,3; d=16,6±0,5;
ρ
cp=8606,37 [кг/м]
∆
ρ=Е *ρcp ,где Е-относительная погрешность.
Е=0,0142+0,04545+0,0016=0,07
∆ρ=Е *ρcp=8606,37*0,07=602,4 [кг/м³]
ρ= ρср±∆ρ
ρ=(8,6±0.6)*10³ [кг/м³]
Вывод:
Данное вещество, скорее всего, сталь. Для более точных измерений необходимо использовать более точные методы.
Характеристики
Тип файла документ
Документы такого типа открываются такими программами, как Microsoft Office Word на компьютерах Windows, Apple Pages на компьютерах Mac, Open Office - бесплатная альтернатива на различных платформах, в том числе Linux. Наиболее простым и современным решением будут Google документы, так как открываются онлайн без скачивания прямо в браузере на любой платформе. Существуют российские качественные аналоги, например от Яндекса.
Будьте внимательны на мобильных устройствах, так как там используются упрощённый функционал даже в официальном приложении от Microsoft, поэтому для просмотра скачивайте PDF-версию. А если нужно редактировать файл, то используйте оригинальный файл.
Файлы такого типа обычно разбиты на страницы, а текст может быть форматированным (жирный, курсив, выбор шрифта, таблицы и т.п.), а также в него можно добавлять изображения. Формат идеально подходит для рефератов, докладов и РПЗ курсовых проектов, которые необходимо распечатать. Кстати перед печатью также сохраняйте файл в PDF, так как принтер может начудить со шрифтами.
















