мои (1003149), страница 2
Текст из файла (страница 2)
№6
Длительность событий в различных системах.
Пусть в точке, неподвижной относительно системы К ¢, происходит событие длительностью
. Поскольку событие происходит в точке, то
. Относительно системы К точка, в которой происходит событие перемещается со скоростью u0. Согласно преобразованиям Лоренца началу и концу события в системе К соответствуют моменты времени t1 и t2, которые равны
Временной интервал между событиями в этой системе равен
.
Обозначим t2 – t1 = Dt. Тогда
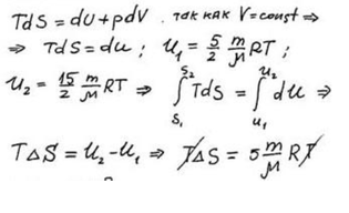
Вну́тренняя эне́ргия — принятое в физике сплошных сред, термодинамике и статистической физике название для той части полной энергии термодинамической системы, которая не зависит от выбора системы отсчета[1] и которая в рамках рассматриваемой проблемы может изменяться[2]. То есть для равновесных процессов в системе отсчета, относительно которой центр масс рассматриваемого макроскопического объекта покоится, изменения полной и внутренней энергии всегда совпадают. Перечень составных частей полной энергии, входящих во внутреннюю энергию, непостоянен и зависит от решаемой задачи. Иначе говоря, внутренняя энергия — это не специфический вид энергии[3], а совокупность тех изменяемых составных частей полной энергии системы, которые следует учитывать в конкретной ситуации.
В любой изолированной системе запас энергии остаётся постоянным.
№7
Одновременность событий в разных системах отсчета.
Пусть в системе К в точках с координатами x1 и x2 происходят одновременно два события в момент времени
. Согласно (10.6) в системе К/ этим событиям будут соответствовать координаты
и моменты времени
Анализ приведенных соотношений показывает, что если события в системе К происходят в одном и том же месте (x1 = x2), то они будут совпадать в пространстве
и будут одновременными
в системе К ¢. Если же в системе К события пространственно разнесены
, то в системе К ¢ они также пространственно разобщены
, но не будут одновременными
.
б) Длина тел в различных системах.
Пусть стержень расположен вдоль оси х¢ и покоится относительно системы К ¢. Длина его в этой системе равна
, где
и
‑ не изменяющиеся со временем t¢ координаты концов стержня. Относительно системы К стержень движется со скоростью u0. Для определения его длины в этой системе отметим координаты концов x1 и x2 в один и тот же момент времени t1 = t2 = b. Тогда длина стержня в системе К равна l = x2 – x1 . Из преобразований Лоренца следует
Тогда, длина стержня в системе К ¢ равна
, или
. (10.7)
Таким образом, длина стержня l, измеренная в системе, относительно которой он движется, отказывается меньше длины l0, измеренной в системе, относительно которой стержень покоится. Отметим, что в направлении осей у и z размеры стержня одинаковы во всех системах отсчета.
в) Длительность событий в различных системах.
Пусть в точке, неподвижной относительно системы К ¢, происходит событие длительностью
. Поскольку событие происходит в точке, то
. Относительно системы К точка, в которой происходит событие перемещается со скоростью u0. Согласно преобразованиям Лоренца началу и концу события в системе К соответствуют моменты времени t1 и t2, которые равны
,
.
Временной интервал между событиями в этой системе равен
.
Обозначим t2 – t1 = Dt. Тогда
Молекулы газа при своем движении постоянно сталкиваются. Скорость каждой молекулы при столкновении изменяется. Она может возрастать и убывать. Однако среднеквадратичная скорость остается неизменной. Это объясняется тем, что в газе, находящемся при определенной температуре, устанавливается некоторое стационарное, не меняющееся со временем распределение молекул по скоростям, которое подчиняется определенному статистическому закону. Скорость отдельной молекулы с течением времени может меняться, однако доля молекул со скоростями в некотором интервале скоростей остается неизменной.
Нельзя ставить вопрос: сколько молекул обладает определенной скоростью. Дело в том, что, хоть число молекул очень велико в любом даже малом объеме, но количество значений скорости сколь угодно велико (как чисел в последовательном ряде), и может случиться, что ни одна молекула не обладает заданной скоростью.
|
|
Основываясь на опыте Штерна, можно ожидать, что наибольшее число молекул будут иметь какую-то среднюю скорость, а доля быстрых и медленных молекул не очень велика. Необходимые измерения показали, что доля молекул
, отнесенная к интервалу скорости Δv, т.е.
, имеет вид, показанный на рис. 3.3. Максвелл в 1859 г. теоретически на основании теории вероятности определил эту функцию. С тех пор она называется функцией распределения молекул по скоростям или законом Максвелла.
Аналитически она выражается формулой
|
|
где m – масса молекулы, k – постоянная Больцмана.
Установление этой зависимости позволило определить кроме уже известной среднеквадратичной скорости еще две характерные скорости – среднюю и наиболее вероятную. Средняя скорость – это сумма скоростей всех молекул, деленная на общее число всех молекул в единице объема.
Средняя скорость, подсчитанная на основании закона Максвелла, выражается формулой
|
|
или
|
|
Наиболее вероятная скорость – это скорость, вблизи которой на единичный интервал скоростей приходится наибольшее число молекул. Она рассчитывается по формуле:
|
|
Сопоставляя все три скорости:
1) наиболее вероятную
,
2) среднюю
,
3) среднюю квадратичную
, – видим, что наименьшей из них является наиболее вероятная, а наибольшей – средняя квадратичная. Относительное число быстрых и медленных молекул мало
№8
Экспериментально установлено, что в области релятивистских скоростей становится заметной зависимость массы частицы от скорости
, (14.3)
где: m — релятивистская масса;
m0 — масса покоя.
Основное уравнение динамики релятивистской частицы сохраняет форму второго закона Ньютона:
. (14.4)
Однако здесь используется релятивистский импульс материальной точки:
. (14.5)
При невысоких скоростях (V << с) масса частицы становится равной массе покоя m =m0, а основное уравнение релятивистской динамики переходит в основное уравнение движения классической механики. Релятивистское уравнение движения (14.4) инвариантно по отношению к преобразованиям Лоренца (14.1).
Интерференция волн — взаимное увеличение или уменьшение результирующей амплитуды двух или несколькихкогерентных волн при их наложении друг на друга.[1] Сопровождается чередованием максимумов (пучностей) и минимумов (узлов) интенсивности в пространстве. Результат интерференции (интерференционная картина) зависит от разности фаз накладывающихся волн.
Стоя́чая волна́ — явление интерференции волн, распространяющихся в противоположных направлениях, при котором перенос энергии ослаблен или отсутствует[1].
№9
Специальная теория относительности (СТО; также частная теория относительности) — теория, описывающая движение, законы механики и пространственно-временные отношения при произвольных скоростях движения, меньших скорости света в вакууме, в том числе близких к скорости света. В рамках специальной теории относительности классическая механика Ньютона является приближением низких скоростей. Обобщение СТО для гравитационных полей называется общей теорией относительности.
Постулат 1 (принцип относительности Эйнштейна). Любое физическое явление протекает одинаково во всех инерциальных системах отсчёта. Это означает, что форма зависимости физических законов от пространственно-временных координат должна быть одинаковой во всех ИСО, то есть законы инвариантны относительно переходов между ИСО. Принцип относительности устанавливает равноправие всех ИСО.
Постулат 2 (принцип постоянства скорости света). Скорость света в «покоящейся» системе отсчёта не зависит от скорости источника.
Принцип постоянства скорости света противоречит классической механике, а конкретно — закону сложения скоростей. При выводе последнего используется только принцип относительности Галилея и неявное допущение одинаковости времени во всех ИСО. Таким образом, из справедливости второго постулата следует, что время должно быть относительным — неодинаковым в разных ИСО. Необходимым образом отсюда следует и то, что «расстояния» также должны быть относительны. В самом деле, если свет проходит расстояние между двумя точками за некоторое время, а в другой системе — за другое время и притом с той же скоростью, то отсюда непосредственно следует, что и расстояние в этой системе должно отличаться.
,
.
.















