Ответ на вопрос №19981: Вычислить интеграл с шагом h по формуле центральных прямоугольниковВычислить интеграл с шагом h по формуле центральных прямоугольников - Ответ на вопрос №19981Вычислить интеграл с шагом h по формуле центральных прямоугольников - Ответ на вопрос №19981
2024-02-032024-02-03СтудИзба
Вычислить интеграл с шагом h по формуле центральных прямоугольников - Ответ на вопрос №19981
-47%
Вопрос
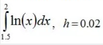
Вычислить интеграл с шагом h по формуле центральных прямоугольников
Ответ
Пожалуйста, если не трудно, оцените файл на высокую оценку, спасибо!
iFate





















