Вычислить интеграл с шагом h по формуле центральных - Ответ на вопрос по ВМ №21532
-42%
Вопрос
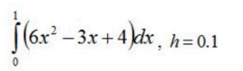
Вычислить интеграл с шагом h по формуле центральных прямоугольников
- 4.4950
- -4.4950
- 40.4950
- 0.4950
Ответ
Пожалуйста, если не трудно, оцените файл на высокую оценку, спасибо!
iFate























