Ответ на вопрос №311163: Укажите дифференциальное уравнение идеального дифференцирующего звена, если x1(t)- величина на входе; x2(t) - величина на выходе; k, T0, T - постоянные коэффициенты не знаю Укажите дифференциальное уравнение идеального дифференцирующего - Ответ на вопрос №311163Укажите дифференциальное уравнение идеального дифференцирующего - Ответ на вопрос №311163
2025-03-162025-03-16СтудИзба
Укажите дифференциальное уравнение идеального дифференцирующего - Ответ на вопрос №311163
-47%
Вопрос
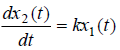
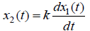
Укажите дифференциальное уравнение идеального дифференцирующего звена, еслиx1(t)- величина на входе;
x2(t) - величина на выходе;
k, T0, T - постоянные коэффициенты
-
![]()
-
![]()
-
![]()
-
![]()
- не знаю
Ответ
Этот вопрос в коллекциях

🎓Помощь студентам Ивановских ВУЗов🎓 ❤️ Каждая приобретенная работа служит стимулом для добавления новых материалов и упрощает учебный процесс.






















