Устойчивость откосов и склонов
Лекция 6
4.3. Устойчивость откосов и склонов
Откосом называется искусственно созданная поверхность, ограничивающая природный грунтовый массив, выемку или насыпь. Откосы образуются при возведении различного рода насыпей (дамбы, земляные плотины и т.д.) и выемок (котлованы, траншеи, каналы и т.п.). Склоном называется откос, образованный природным путём и ограничивающий массив грунта естественного сложения.
Основными причинами потери устойчивости откосов и склонов являются:
- устройство недопустимо крутого откоса или подрезка склона, находящегося в состоянии, близком к предельному;
- увеличение внешней нагрузки (возведение сооружений, складирование материалов на откос или вблизи его бровки);
- изменение внутренних сил (изменение удельного веса грунта при изменении его влажности);
- неправильное назначение расчетных характеристик прочности грунта или снижение его сопротивления сдвигу за счёт повышения влажности и др. причин;
- проявление гидродинамического давления, сейсмических сил, различного рода динамических воздействий (движение транспорта, забивка свай и т.п.).
4.3.1. Понятие о коэффициенте запаса устойчивости откосов и склонов.
Коэффициент устойчивости часто принимается в виде:
, (4.13)
Рекомендуемые материалы
где φ, с – расчетные значения характеристик сопротивления сдвигу грунта, принятые в проекте; φ’, с’ – то же, соответствующие предельному состоянию откоса или склона.
Устойчивость откоса или склона считается обеспеченной, если,
где
=1,1…1,3 - нормативный коэффициент устойчивости.
Группы методов используемых для расчетов устойчивости склонов и откосов:
- элементарные решения;
- строгие решения;
- инженерные методы;
- численные методы.
При этом анализируются два типа задач:
1). Оценка устойчивости откоса или склона заданной крутизны
2). Определение оптимальной крутизны откоса или склона при заданном
.
4.4. Простейшие методы расчетов устойчивости
4.4.1. Устойчивость откосов в идеально сыпучих грунтах (ϕ ≠0; с=0)
Имеется откос с углом заложения α, при заданном φ для песка, слагающего откос (рис.4.4, а). Рассмотрим равновесие частицы, свободно лежащей на поверхности откоса: т.к. грунт обладает только внутренним трением, то устойчивость будет обеспечена, если T≤T’.
Задавшись весом частицы P и учитывая, что коэффициент внутреннего трения грунтов
, получим;
;

, откуда
или 
при α=φ в идеально сыпучих грунтах угол естественного откоса – α равен углу внутреннего трения грунта.
Окончательно 
при
откос обладает необходимым запасом устойчивости.
В случае, если требуется определить угол заложения будущего откоса с запасом устойчивости, то α соответственно определиться как:

4.4.2. Учет влияния фильтрационных сил
Если уровень подземных вод находится выше подошвы откоса, возникает фильтрационный поток, выходящий на его поверхность, что приводит к снижению устойчивости откоса.
В этом случае при рассмотрении равновесия частицы необходимо добавить гидродинамическую составляющую D.
Гидравлический градиент в точке выхода потока равен:
, а гидравлическая составляющая в единице объема грунта равна:

γw – удельный вес воды;
n – пористость.
Учитывая, что вес единицы объема грунта P=γV, где V=1.
Уравнение предельного состояния запишется как:

т.к.
, после преобразования получим

Угол заложения откоса при заданном нормативном коэффициенте устойчивости:
.
4.4.3. Устойчивость вертикального откоса в идеально связных грунтах (ϕ=0; с≠0)
Если высота откоса, сложенного связными грунтами, не превышает предельного значения h0, то связный грунт может держать вертикальный откос.
Наиболее неблагоприятное напряженное состояние возникает у подошвы откоса в т.А (рис.4.1, в) Именно здесь начинает формироваться состояние предельного равновесия.
Максимальное главное напряжение в этой точке равно природному, т.е.
. Поскольку откос ограничен свободной вертикальной поверхностью, минимальное главное напряжение в т.А равно нулю, т.е.
.
Условие предельного равновесия имеет вид:

Учитывая, что здесь φ=0 (по условию задачи), а также подставляя сюда σ1 и σ3, после преобразования будем иметь:
.
Коэффициент устойчивости вертикального откоса при h≤h0:

Высота вертикального откоса в идеально связных грунтах, отвечающего заданному запасу устойчивости:

4.4.4. Устойчивость вертикального откоса в грунтах, обладающих трением и сцеплением (ϕ ≠0; с≠0)
При
и
, используя полное выражение условия предельного равновесия получим:

Нетрудно заметить, что учет внутреннего трения грунта приводит к некоторому увеличению предельной высоты вертикального откоса.
4.5. Инженерные методы расчёта устойчивости откосов и склонов
В проектной практике применяются инженерные методы, содержащие различные упрощения.
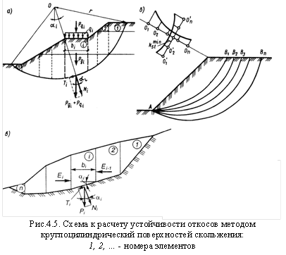
4.5.1. Метод круглоцилиндрических поверхностей скольжения
Предполагается, что потеря устойчивости откоса (склона) может произойти в результате вращения отсека грунтового массива относительно некоторого центра О (рис. 4.5, а).
Суть метода заключается в анализе устойчивости склона против сдвига по ряду возможных поверхностей скольжения, представленных дугой окружности с радиусом r и центром в т. О.
Отсек грунтового массива, ограниченный свободной поверхностью и поверхностью скольжения, разбивается вертикальными линиями на n элементов таким образом, чтобы можно было принять основание каждого отсека плоским, а прочностные характеристики постоянными.
Смещающийся массив рассматривается как недеформируемый отсек, все точки которого участвуют в общем движении.
Коэффициент устойчивости принимается в виде:
, где Мsr и Msa – моменты относительно центра вращения О всех сил, соответственно удерживающих и смещающих отсек.
Порядок вычислений:
1. Грунтовый массив разбивается на отдельные элементы.
2. Вычисляются вертикальные силы, действующие на каждый элемент: собственный вес грунтаPgi и равнодействующая нагрузки на его поверхности Pqi.
3. Равнодействующая сил Pgi+Pqi раскладывается на нормальную Ni и касательную Ti составляющие.
;
.
4. Находим c и li – длину дуги.
Момент сил, вращающих отсек вокруг т. О, определится как:
.
n – число элементов в отсеке.
удерживающие силы обуславливаются сопротивлением сдвигу за счет внутреннего трения и сцепления грунта.
Сила трения:

При наличии внешних вертикальных нагрузок они включаются в величину веса блока (призмы).

α – угол между нормалью к основанию i-го элемента и вертикалью.
- длина основания i-го элемента, где bi – ширина i-го отсека.
φI i и cI i – расчетные значения характеристик прочности грунта в пределах основания i-го элемента.

Соотносительно: 
При kst ≥ kнst устойчивость откоса относительно выбранного центра вращения т.О обеспечена.
- Основная сложность при практических расчетах заключается в том, что положение центра вращения О и выбор радиуса r, соотносящие наиболее опасному случаю, неизвестны.
- Обычно проводится серия таких расчетов при различных положениях центров вращения и значениях r.
- Чаще всего наиболее опасная поверхность скольжения проходит через нижнюю точку откоса (склона). Кроме слабых грунтов с минимальными φ и с.
4.5.2. Мероприятия по повышению устойчивости откосов и склонов
Одним из наиболее эффективных способов повышения устойчивости откосов и склонов является их выполаживание или создание уступчатого профиля с образованием горизонтальных площадок (берм) по высоте откоса.
При относительно небольшой высоте откоса эффективна пригрузка подошвы в его низовой части или устройство подпорной стенки, поддерживающей откос. Закрепление поверхности откоса может быть осуществлено мощением камнем, одерновкой, укладкой бетонных плит.
Важнейшим мероприятием является регулирование гидрогеологического режима откоса или склона. Устройство канав для перехватывания поверхностных вод, отвод воды с берм, устройство дренажа.
Конструктивные мероприятия типа прорезания потенциально неустойчивого массива грунтов системой забивных или набивных свай, анкерное закрепление во взаимодействии с подпорными стенками или свайными конструкциями.
Лекция 7
4.6. Понятия о взаимодействии грунтов с ограждающими конструкциями (давление покоя, активное и пассивное давление).
Ограждающие конструкции предназначены для удерживания от обрушения находящихся за ними грунтовых массивов. К таким конструкциям относится подпорная стенка, а также стены подвалов и заглубленных частей здания, стены подземных сооружений и т.п. Различают массивные (или гравитационные) и тонкостенные подпорные стенки (рис. 4.6). По характеру работы подразделяются на жесткие и гибкие (шпунтовые стенки).
Устойчивость массивных стенок на сдвиг и опрокидывание обеспечивается прежде всего их собственным весом. Устойчивость тонкостенных конструкций – собственным весом стенки и грунта, вовлеченного в совместную работу, либо защемлением нижней части стенки в основание.
Равнодействующая давления грунта на стенку Е зависит от направления, величины и характера её смещения.
Давление, реализуемое в условиях отсутствия горизонтального смещения при u=0 (рис. 4.7, б) называют давлением покоя Е0.
,
где
- коэф. бокового давления; ν – коэф. Пуассона.
При смещении стенки под действием давления в сторону от засыпки на величину ua (рис.4.7, а) в грунте засыпки формируется область обрушения грунта, граница которой называется поверхностью скольжения, а сама область – призмой обрушения. Давление, передаваемое призмой обрушения на грань стенки, называют активным давлением, а его результирующую обозначают Еа.
При смещении стенки в сторону грунта под действием каких-либо сил в засыпке также образуются поверхности скольжения, при величине смещения +uп формируется призма выпирания грунта (рис.4.7, в). При этом реакция грунта достигает максимального значения и соответствует пассивному давлению (отпору) грунта, результирующую которого обозначают Еп.
4.6.1. Определение активного давления на вертикальную грань стенки для сыпучего грунта и связного грунта, учёт пригрузки на поверхности засыпки.
Трение грунта о стенку отсутствует (τzx=0). Максимальное главное напряжение, действующее на горизонтальную площадку в точке контакта грунта со стенкой на глубине z от поверхности засыпки
, γ – удельный вес грунта.
Грунт в пределах призмы обрушения ОАВ (рис. 4.8) находится в состоянии предельного равновесия. Минимальное главное напряжение σ3, равное активному давлению σа, связано с максимальным главным напряжением условием предельного равновесия:

.
Эпюра активного давления имеет вид треугольника. Максимальная ордината эпюры активного давления:
.
Равнодействующая активного давления Еа определяется как площадь эпюры
,
И будет приложена к стенке на расстоянии 1/3h от её подошвы.
Плоскость скольжения АВ будет наклонена к вертикали под углом π/4-φ/2. Ширина призмы обрушения по поверхности засыпки l=htg(45°- φ/2).
4.6.2. Учёт пригрузки на поверхности засыпки.
При наличии на поверхности сплошной равномерно распределенной нагрузки интенсивностью q:
.
;
.
Эпюра активного давления при наличии пригрузки на поверхности имеет вид трапеции. Точка приложения равнодействующей Ea будет находиться в центре тяжести площади трапеции.
4.6.3. Учёт сцепления грунта.
Для связного грунта, обладающего внутренним трением и сцеплением:


Связный грунт обладает способностью держать вертикальный откос высотой h0

В пределах глубины h0 от свободной поверхности засыпки связный грунт не будет оказывать давления на стенку. Максимальная ордината эпюры активного давления связного грунта:

Учет сцепления грунта приводит к уменьшению активного давления.
4.6.4. Определение пассивного давления
Пассивное давление возникает при перемещении стенки в сторону грунта засыпки (рис. 4.9). При движении вертикальной гладкой стенки на грунт главные напряжения меняются. Теперь уже σx=σ1= σп является максимальным, а σz=σ3=γz при отсутствии пригрузки на поверхности засыпки слева – минимальным главным напряжением (рис. 4.9, б). Условие предельного равновесия имеет вид:
- для сыпучих грунтов

- для связных грунтов:

Бесплатная лекция: "Проблемы космической биологии и медицины" также доступна.
Значения ординаты пассивного давления на глубине z от поверхности засыпки при начале координат в точке 0’:
- для сыпучих грунтов

- для связных грунтов:

При одной и той же глубине от поверхности засыпки ордината эпюры пассивного давления существенно больше, чем ордината эпюры активного давления. Ширина призмы выпирания l’=htg(45°+ φ/2).


















