Алкалоиды
Алкалоиды, ПРОИЗВОДНЫЕ ИЗОХИНОЛИНА
АЛКАЛОИДЫ И ПОЛУСИНТЕТИЧЕСКИЕ ПРОИЗВОДНЫЕ, СОДЕРЖАЩИЕ
ФЕНАНТРЕНИЗОХИНОЛИНОВЫЙ ЦИКЛ
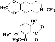
5.5.10.МОРФИН

Морфин один из главных алкалоидов опия. В опии содержится 3 – 20% морфина. Плохо растворим в воде, эфире и др. органических растворителях. Как фенол морфин хорошо растворяется в едких щелочах. Оптически активен. Экстрагируется из щелочных водных растворов.
ТОКСИКОЛОГИЧЕСКОЕ ЗНАЧЕНИЕ. Как морфин, так и большинство его производных являются ядами центральной нервной системы, которые даже в небольших количествах действуют избирательно на кору головного мозга и центр дыхания. При малых количествах морфина и других препаратов опия происходит паралич центров коры головного мозга, воспринимающих болевую чувствительность, наступает спокойный, глубокий сон, чем обусловлено старое название «морфий» - в честь бога сна Морфея. Лишь позднее морфий стали называть морфином по аналогии с другими алкалоидами.
Характерным проявлением действия морфина на кору головного мозга является состояние эйфории, что может привести к болезненному пристрастию к этому веществу - морфинизму, крайне тяжелому заболеванию.
Рекомендуемые материалы
Морфинизм (опиомания) имеет судебное и судебно-медицинское значение, так как морфинисты способны на любое преступление, чтобы достать морфин. Количество алкалоида, переносимого ими, превышает несколько смертельных доз и может доходить до 3—4 г в сутки.
Чувствительность различных животных к морфину неодинакова. Хорошо известна закономерность: чем выше организована центральная нервная система, тем чувствительнее реагирует она на морфин.
Симптомы острого отравления морфином наступают обычно быстро, иногда уже через несколько минут, реже после 1-2 часов.
Первые симптомы отравления морфином выражаются в головокружении, затемнении сознании, сопливости, которая переходит в неудержимое стремление спать, после чего наступает потеря чувствительности, сознания, развивается коллапс. Если больному в состоянии тяжелого коллапса не была оказана помощь, то дыхание становится очень слабым и смерть при острых отравлениях наступает от паралича дыхания.
Смертельная доза морфина при приеме внутрь составляет от 0,1 до 0,5 г. Смерть может наступить и при приеме 0,6 г. Иногда человек переносит большие дозы. Очень чувствительны к морфину и препаратам опия дети. У грудного возраста детей уже одна капля опийной настойки может вызвать опасное для жизни отравление. Гадамер указывает, что при использовании отвара незрелых головок мака («чай сна», или «сок сна») нередко происходили отравления со смертельным исходом.
Кодеин и дионин благодаря введению метильной и этильной групп вместо водорода фенольного гидроксила, а также папаверин и наркотин значительно менее токсичны, чем морфин. Они обладают слабым наркотическим действием, в связи с чем являются более слабыми болеутоляющими средствами, но зато сильнее, чем морфин, парализуют средний отдел головного мозга. Токсические дозы кодеина могут привести к судорогам вследствие действия на спинной мозг. Кодеин и дионин применяются в качестве средств, успокаивающих кашель, а дионин, кроме того, используется в глазной практике.
Апоморфин в отличие от морфина не обладает анальгетическим действием. Он оказывает сильное возбуждающее действие па центральную нервную систему и особенно на рвотный центр, расположенный в продолговатом мозгу. Это свойство используется при назначениях апоморфина в качестве рвотного и отхаркивающего, а также при лечении от алкоголизма. Большие дозы апоморфина вызывают состояние возбуждения, сильного беспокойства и могут закончиться параличом головного и продолговатого мозга.
Острое отравление апоморфином сопровождается потерей сознания, чувством удушья, рвотой. В тяжелых случаях наблюдается коллапс. Смерть наступает от паралича модулярных центров. Максимальная доза 0,01 г, однако и 0,008 г иногда могут вызвать тяжелое отравление.
Судьба морфина, а тем более его гомологов и производных в организме человека изучена недостаточно. Известно, что при острых отравлениях морфином, введенным внутривенно, он очень быстро исчезает из крови, а концентрация его в организме прогрессивно снижается. Значительная часть морфина выделяется слизистой оболочкой желудочно-кишечного тракта, другая часть (до 30%) поступает в печень, где подвергается превращению в неядовитые соединения (глюкурониды) за счет фенольного и спиртового гидроксилов, в почки, легкие, желудок. В головной и спинной мозг морфин поступает в виде оксидиморфина. Он прочно связывается с липоидами, вызывая сильное функциональное расстройство клеток головного мозга, а затем разрушается.
Патологоанатомическая картина при отравлениях морфином (отравления другими производными этой группы сравнительно редки) нехарактерна. При отравлениях опием иногда обнаруживаются остатки опия в желудке и ощущается специфический запах. Иногда наблюдаются кровь в сердце в виде сгустков, отек мозга и легких, гиперемия мозга, переполнение мочевого пузыря.
Учитывая распределение морфина в организме при отравлениях, химико-токсикологическому исследованию следует подвергать желудок и кишечник с содержимым, печень, селезенку, почки, легкие, кровь, мочу, а также головной и спинной мозг.
РЕАКЦИИ ОБНАРУЖЕНИЯ
1. Реакции с реактивами группового осаждения алкалоидов
2. Реакции окрашивания
С реактивом Марки (характерный реактив для опийных алкалоидов). Реакция чувствительна, но не специфична.



В химико–токсикологическом анализе реакции с реактивом Марки придается отрицательное значение. Подтверждающие реакции на опийные алкалоиды выполняют только при положительном результате этой реакции.
Таблица 3. Реакции окрашивания опийных алкалоидов с различными реактивами.
| Вещество | Реактивы | |||
| Марки | Фреде | Манделина | Раствор железа (III) хлорида | |
| формальдегид в концентрированной Н2SO4 | Натрия молибдат в концентрированной Н2SO4 | натрия ванадат в концентрированной Н2SO4 | ||
| 1 | 2 | 3 | 4 | 5 |
| Морфин | красно–фиолетовое ® фиолетовое ® розово–фиолетовое | фиолетовое ® бледно–розовое | фиолетовое ® бледно–розовое | сине–фиолетовое |
| Кодеин | сине–фиолетовое | фиолетово–зелёное | зелёное ® синее | ¾ |
| Этилморфин | зелёное ® синее ® сине–фиолетовое | зелёно–синее | зелёное ® синее | ¾ |
| Апоморфин | фиолетовое ® грязно–зёленое | фиолетовое ® грязно–зёленое | фиолетовое ® грязно–зёленое | фиолетовое ® грязно–зёленое ® чёрное |
| Папаверин | розовое ® фиолетово–красное ® пурпурно–красное | сине–зелёное | ¾ | ¾ |
3. Реакция с йодноватой кислотой
При взбалтывании раствора морфина, слабо подкисленного серной кислотой, с раствором йодноватой кислоты или с раствором калия йодата, не содержащим йодидов, выделяется свободный йод, который при взбалтывании с хлороформом переходит в хлороформный слой, окрашивая его в фиолетовый цвет.


KIO3 + 5 KI + 6 HCl ® 3 I2 + 6 KCl + 3 H2O
4. Реакция с калия гексациано– (III) ферратом железа (III) хлоридом
К водному раствору исследуемого вещества прибавляют несколько капель смеси растворов калия гексациано– (III) феррата и железа (III) хлорида. При наличии морфина появляется синяя окраска или осадок (образование берлинской лазури).


3 K4[Fe(CN)6] + 4 FeCl3 ® Fe4[Fe(CN)6]3 + 12 KCl
Микрокристаллические реакции
1. С раствором кадмия йодида
Несколько капель исследуемого хлороформного раствора испаряют на предметном стекле, остаток растворяют в одной капле 0,1 моль/л раствора кислоты хлороводородной и добавляют 1 каплю 15% раствора кадмия йодида, очень быстро наблюдается выделение белого осадка, состоящего из бесцветных игл, собранных в пучки.
Открываемый минимум 2,5 мкг.
2. Реакция с солью Рейнеке
К сухому остатку исследуемого вещества на предметном стекле добавляют каплю 0,1 моль/л раствора хлороводородной кислоты и каплю 1% свежеприготовленного раствора соли Рейнеке, сразу же образуется сиреневый осадок, кристаллизующийся через несколько минут в тонкие игольчатые кристаллы, собранные в густые сростки.
Открываемый минимум 2 мкг.
3. С раствором ртути (II) хлорида
Осадок на предметном стекле растворяют в одной капле 0,1 моль/л раствора хлороводородной кислоты; раствор соединяют с каплей 5% раствора ртути (II) хлорида и в месте соединения раствора предметное стекло потирают стеклянной палочкой. Через 3 – 5 мин под микроскопом наблюдаются сростки игольчатых кристаллов в виде пучков.
4. С раствором йода в калия йодиде (реактив Бушарда-Вагнера)
При наличии морфина образуется кристаллический осадок – сростки из прямоугольных пластинок красно–оранжевого цвета.
Открываемый минимум 30 мкг.
5.5.11. КОДЕИН

Кодеин является монометиловым эфиром морфина, содержится в опии от 0,2 до 2 %. Экстрагируется из щелочных растворов.
ТОКСИКОЛОГИЧЕСКОЕ ЗНАЧЕНИЕ
Токсикологическое значение кодеина определяется широким применением его препаратов в медицинском практике и возможностью развития пристрастия.
РЕАКЦИИ ОБНАРУЖЕНИЯ
1. Реакции с реактивами группового осаждения алкалоидов
2. Реакции окрашивания
3. Микрокристаллическая реакция с раствором кадмия йодида
(Выполнение реакции см. морфин). Выделяется белый аморфный осадок, кристаллизующийся через 10 – 20 мин. Под микроскопом видны призматические кристаллы, одиночные и собранные в сростки.
Открываемый минимум 13 мкг.
5.5.12. ЭТИЛМОРФИН

Этилморфин является моноэтиловым эфиром морфина. Его получают синтетическим путем из морфина. Экстрагируется из щелочных растворов.
РЕАКЦИИ ОБНАРУЖЕНИЯ
1. Реакции с реактивами группового осаждения алкалоидов
2. Реакции окрашивания
3. Микрокристаллическая реакция с ртути (II) хлоридом
(Выполнение реакции см. морфин). При наличии этилморфина через несколько минут появляются бесцветные тонкие призматические кристаллы.
Открываемый минимум 14 мкг.
5.5.13. АПОМОРФИН

Его получают при нагревании морфина с концентрированной серной и хлороводородной кислотами. Экстрагируется из щелочных растворов. Вытяжки из биологического материала, содержащего апоморфин, в ряде случаев имеют зелёную или грязно–зелёную окраску.
РЕАКЦИИ ОБНАРУЖЕНИЯ
1. Реакции с реактивами группового осаждения алкалоидов
2. Реакции окрашивания
3. Реакция Пеллагри
В сухую пробирку вносят 5 – 6 капель хлороформного раствора исследуемого вещества, который выпаривают при комнатной температуре. Сухой остаток растворяют в 0,5 мл воды и прибавляют 3 – 4 капли 10% раствора натрия карбоната. Затем в пробирку по каплям вносят 5 – 6 капель спиртового раствора йода. Появление зелёной окраски указывает на наличие апоморфина. Если к раствору, имеющему зелёную окраску, прибавить 0,5 – 1,0 мл этилового эфира и взболтать, то водный раствор сохраняет эту окраску, а эфирный слой приобретает пурпурно–красную.
4. Реакция с железа (III) хлоридом
Несколько капель хлороформной вытяжки вносят в пробирку и выпаривают досуха. Сухой остаток растворяют в 3 – 5 каплях разведённой хлороводородной кислоты, а затем раствор выпаривают на водяной бане досуха. Сухой остаток растворяют в 3 – 5 каплях воды и к раствору прибавляют каплю 0,1% раствора железа (III) хлорида. В присутствии апоморфина появляется синяя окраска. В зависимости от количества апоморфина в пробе может появляться розово–красная окраска, переходящая в фиолетовую, а затем в чёрную.
5.5.14. ПРОМЕДОЛ

Экстрагируется хлороформом из щелочных и частично из кислых растворов.
Реакции обнаружения
1. Реакции с реактивами группового осаждения алкалоидов
2. Реакции окрашивания с цветными реактивами
3. Микрокристаллическая реакция образования ализарината промедола
Сухой остаток обрабатывают 1 – 2 каплями 0,1 моль/л раствора хлороводородной кислоты и смешивают на предметном стекле с одной каплей 0,2% водного раствора ализарина красного. Через 5 – 10 мин, а при незначительных концентрациях через 1,5 – 2 ч (при хранении во влажной камере) появляются сростки из игольчатых и узкопластинчатых кристаллов.
АЛКАЛОИДЫ И СИНТЕТИЧЕСКИЕ АНАЛОГИ, СОДЕРЖАЩИЕ ЯДРО БЕНЗИЛИЗОХИНОЛИНА
5.5.15. ПАПАВЕРИН

Папаверин содержится в опии в количестве 0,4 – 1,5%. Как слабое основание он извлекается хлороформом из щелочных и кислых растворов.
РЕАКЦИИ ОБНАРУЖЕНИЯ
1. Реакции с реактивами группового осаждения алкалоидов
2. Реакции окрашивания с цветными реактивами
·с реактивом Марки реакцию можно проводить двумя способами:
1) сухой остаток папаверина с реактивом Марки на холоду даёт розовую окраску при нагревании переходящую в фиолетово–красную или пурпурно–красную.
2) от прибавления реактива Марки к сухому остатку папаверина появляется розовая окраска. Если к раствору прибавить кристаллик калия перманганата, то окраска переходит в голубую.
·с реактивом Эрдмана образуется красное окрашивание;
·с реактивом Фреде образуется зелёное окрашивание;
·с реактивом Манделина образуется сине–фиолетовое окрашивание.
3. Реакция с железа (III) хлоридом и кислотой серной
Сухой остаток растворяют в 1 – 2 каплях концентрированной серной кислоты, добавляют 1 каплю 0,1% раствора железа (III) хлорида, нагревают. В присутствии папаверина появляется фиолетовая окраска.
4. От действия водного раствора йода папаверин окрашивается в красный цвет
Микрокристаллические реакции
1. Реакция с натрия цианидом
Остаток на предметном стекле растворяют в капле 0,1 моль/л раствора хлороводородной кислоты и добавляют каплю 0,5% раствора натрия цианида, через 10 – 15 мин образуется осадок, состоящий из призматических кристаллов, собранных в сферолиты.
Открываемый минимум 0,5 мкг.
2. С раствором кадмия хлорида
Остаток на предметном стекле растворяют в капле 0,1 моль/л раствора хлороводородной кислоты и раствор соединяют с каплей 10 % раствора кадмия хлорида. При наличии папаверина образуются сростки из тонких пластинок кубической формы.
Открываемый минимум 10 мкг.
5.5.16.НО – ШПА (ДРОТАВЕРИН)

По физическим свойствам очень схожа с папаверином. Являясь слабым основанием, экстрагируется хлороформом из щелочных и кислых растворов.
Реакции обнаружения
1. Реакция с концентрированной кислотой серной
К сухому остатку в фарфоровой чашке добавляют 1 каплю концентрированной серной кислоты, наблюдают жёлтое окрашивание.
2. Реакция с ализариновым красным
На сухой остаток на предметном стекле наносят 2 – 3 капли раствора ализаринового красного в уксусной кислоте. Через 5 – 10 мин под микроскопом наблюдают сростки кристаллов в виде розеток, окрашенных в жёлтый цвет.
Открываемый минимум 13 мкг.
5.5.17. НАРКОТИН

Наркотин входит в состав алкалоидов опия в количестве 2 – 12%. Является слабым третичным основанием, а потому экстрагируется как из щелочных, так и из кислых растворов. Химико–токсикологическое значение наркотин имеет при доказательстве наличия опия.
Реакции обнаружения
1. Реакции с реактивами группового осаждения алкалоидов
2. Реакции окрашивания с цветными реактивами
· с концентрированной кислотой серной: жёлтое, быстро переходящее в жёлто–красное, а через несколько часов – вишнёво–красное;
· с реактивом Эрдмана: интенсивная красная окраска;
· с реактивом Марки: фиолетовое окрашивание, быстро переходящее в зелёное и жёлтое;
· с реактивом Фреде: сначала даёт нехарактерное синевато–зелёное окрашивание, но при избытке аммония или натрия молибдата окрашивание переходит, особенно после умеренного нагревания, в вишнёво–красное.
АЛКАЛОИДЫ, ПРОИЗВОДНЫЕ ПИРИДИНА И ПИПЕРИДИНА
Исследование на эти алкалоиды производится главным образом при наличии специальных заданий судебно-следственных органов, наводящих указаний в материалах дела, а также при наличии характерного маслянистого, иногда со специфическим запахом остатка.
5.5.18. КОНИИН

Главный алкалоид омега пятнистого, болиголова или цикуты пятнистой. Кониин – бесцветная маслянистая жидкость с неприятным запахом, напоминающим запах мышиной мочи. Экстрагируется органическими растворителями из щелочных растворов и можно использовать перегонку с водяным паром (удобна для исследования свежего биоматериала).
ТОКСИКОЛОГИЧЕСКОЕ ЗНАЧЕНИЕ. Ядовитые свойства болиголова, как и его лечебные свойства, были известны еще в глубокой древности. По свидетельству историков, греки давали государственным преступникам, осужденным на смертную казнь, в качестве яда смесь опия с экстрактом болиголова. «Маслом» Conium maculatum был отравлен древнегреческий философ Сократ.
Основное количество отравлений кониином - несчастные случаи при употреблении в пищу корня болиголова вместо хрена или листьев его вместо петрушки. Имеются указания на отравления в результате смешения плодов Conium maculatum L. с плодами аниса. Описаны случаи отравления болиголовом детей. При выпасе скота в местах произрастания болиголова или при кормлении животных свежей травой с примесью этого растения возможны отравления домашних животных.
Признаки отравления кониином наступают быстро вследствие легкой всасываемости его. Он вызывает паралич центральной нервной системы, окончаний двигательных и чувствительных нервов (обездвиживание, потеря чувствительности), усиление секреции желез (слюнотечение, тошнота, рвота, понос), нарушение дыхания; смерть наступает от паралича дыхания.
Картина отравления кониином довольно сложна. Описывают три основные формы: паралитическую (форма Сократа), бредовую и форму головокружения с расстройством зрения. Чаще всего эти формы совпадают. При испытании на лягушках кониин действует курареподобно.
Патологоанатомическая картина при отравлениях кониином нехарактерна. Смертельная доза кониина точно неизвестна. Н. В. Попов считает, что для человека она равна 0,5—1 г.
Из организма кониин выделяется легкими и почками, частично в измененном состоянии. Для химико-токсикологического исследования при отравлениях наиболее пригодны желудок и кишечник с содержимым, печень. Желательно подвергать исследованию также мочевой пузырь с содержимым, почки, мышечную ткань и кровь. Помощь при химическом исследовании может оказать нахождение частей растения в содержимом желудка и кишечника. Особенно характерны плоды болиголова.
В органах трупа кониин может сохраняться в течение некоторого времени. А. В. Ахутиной удавалось обнаруживать кониин через 4 месяца после добавления его к биологическому материалу животного происхождения при хранении его в закрытых стеклянных банках при комнатной температуре.
РЕАКЦИИ ОБНАРУЖЕНИЯ
1. Реакции с реактивами группового осаждения алкалоидов
2. Реакции образования меди дитиокарбамината (реакция с солями меди и сероуглеродом)
В микропробирку вносят каплю раствора исследуемого вещества, подкисленного уксусной кислотой, прибавляют каплю 5% раствора меди сульфата, а затем аммиак до щелочной реакции. К полученному раствору прибавляют 2 капли смеси сероуглерода и бензола (1:3) и взбалтывают. При наличии кониина бензольный слой приобретает коричневую или жёлтую окраску.
Открываемый минимум 2 мкг.


3. Реакции образования кониина йодвисмутата
На предметное стекло наносят 2 – 3 капли хлороформного раствора исследуемого вещества и выпаривают досуха. Сухой остаток растворяют в 1 капле 0,1 моль/л раствора хлороводородной кислоты. Прибавляют каплю реактива Драгендорфа. После этого предметное стекло помещают во влажную камеру на 10 – 15 мин, а затем под микроскопом рассматривают форму образовавшихся кристаллов. При наличии кониина образуются оранжево–красные кристаллы, имеющие форму ромбов, параллелограммов или сростков из них.
Открываемый минимум 3,5 мкг.
4. Получение сублимата хлоргидрата кониина
Несколько капель хлороформного раствора исследуемого вещества вносят в маленький тигель и при комнатной температуре выпаривают досуха. К остатку прибавляют 2 – 3 капли 1% раствора хлороводородной кислоты. Жидкость оставляют при комнатной температуре почти до полного выпаривания. Затем тигель накрывают предметным стеклом и 20 – 30 мин нагревают на песочной бане (120 – 1300), постоянно охлаждая предметное стекло влажным тампоном. После этого образовавшийся на предметном стекле сублимат рассматривают под микроскопом. При наличии кониина в поле зрения микроскопа видны бесцветные игольчатые кристаллы.
Открываемый минимум 0,33 мкг.
5.5.19. АРЕКОЛИН

Главный алкалоид арековой пальмы. Относится к алкалоидам, основания которых являются жидкостями. Экстрагируется аналогично кониину. Она произрастает в Индии и на Цейлоне, культивируется в южных провинциях Китая, на островах Индонезии, в Австралии. Ареколин содержится главным образом в плодах пальмы в количестве 0,1—0,5%.
ТОКСИКОЛОГИЧЕСКОЕ ЗНАЧЕНИЕ. Ареколин применяется в качестве противоглистного и слабительного средства в ветеринарии, в офтальмологии.
По своему физиологическому действию ареколин близок мускарину и ацетилхолину. Он снижает кровяное давление, усиливает слюноотделение, вызывает сокращение гладкой мускулатуры, а также сужение зрачка. В малых дозах возбуждает, а в больших парализует центральную нервную систему. Наиболее сильное действие ареколин оказывает на пищеварительный канал усиливает секрецию пищеварительных желез и вызывает сильную перистальтику кишечника.
Высшая лечебная доза 0,5—1,5 мг. Ареколин очень токсичен.
В качестве антагониста при отравлениях ареколином применяется атропин.
Как и большинство алкалоидов, ареколин не дает характерных изменений в органах трупа, поэтому химико-токсикологическое исследование в таких случаях играет большую роль. При подозрениях на отравление ареколином имеет значение исследование органов желудочно-кишечного тракта и ткани мозга.
РЕАКЦИИ ОБНАРУЖЕНИЯ
1. Реакции с реактивами группового осаждения алкалоидов
2. Гидроксамовая проба
(Методику проведения см. атропин)

Микрокристаллические реакции
1. Реакция с реактивом Драгендорфа
(Методику проведения см. кониин). При наличии ареколина образуются оранжево–красные кристаллы, представляющие собой сростки из ромбов и параллелограммов.
Открываемый минимум 0,2 мкг.
2. Реакции с пикриновой кислотой
К сухому остатку на предметном стекле добавляют каплю 0,1 моль/л раствора хлороводородной кислоты, а затем прибавляют 1 каплю 0,5% раствора пикриновой кислоты. Через несколько минут появляются тёмно–зелёные кристаллы (сферолиты, со временем распадающиеся на отдельные призматические кристаллы).
Открываемый минимум 0,2 мкг.
5.5.20. НИКОТИН

Алкалоид, содержащийся в некоторых видах табака. Представляет собой бесцветную маслянистую жидкость, быстро темнеющую на воздухе. Экстрагируется из щелочных растворов и путем перегонки с водяным паром.
ТОКСИКОЛОГИЧЕСКОЕ ЗНАЧЕНИЕ. Никотин, его сернокислая соль, настои из табачных листьев и препарат никотина с серой или каким – либо наполнителем (никодуст) применяются в сельском хозяйстве в качестве контактных инсектофунгицидов. Никотин используется также в ветеринарии при лечении чесотки и других паразитарных заболеваний кожи, Имеются указания на антибактериальное действие никотина.
В медицинской практике никотин в силу своей токсичности не применяется, но имеет большое практическое значение как основной источник получения никотиновой кислоты и ее производных.
Отравления никотином возможны как криминальные, так и случайные. На производстве имеют место отравления при вдыхании воздуха, содержащего табачную и махорочную пыль (особенно при производстве и сушке табака), а также через кожу при работе с растворами никотина или табачными настоями. В литературе описаны смертельные отравления никотином при опрыскивании растений.
Никотин является нервным ядом и действует в первую очередь на ганглии вегетативной нервной системы, сначала возбуждая, а затем парализуя их. Он обладает также некоторым местным раздражающим действием. В случаях острого отравления никотином отмечаются головная боль, головокружение, слабость, рвота, понос, сердцебиение или замедление пульса, затрудненное дыхание, слюнотечение, сужение зрачков, охлаждение конечностей, в еще более тяжелых случаях - бессознательное состояние, тяжелая одышка, судороги. Смерть наступает от паралича дыхания и сердца.
Смертельная доза никотина, по данным различных авторов составляет от 0,01 до 0,08 г.
Предельная концентрация табачной пыли в воздухе производственных помещений по ГОСТ 1924-27 равняется 0,003 мг/л. Отравление при курении у непривычного к табаку человека может наступить от 1-4 мг никотина.
Из организма никотин выделяется с мочой, калом, а также легкими, частично потовыми и слюнными железами. Никотин обладает способностью проникать через плаценту. Обнаруживается в плоде. При внутримышечном введении крысам наибольшая концентрация его обнаруживается в головном и спинном мозге. Патологоанатомическая картина при отравлениях никотином нехарактерна.
В органах никотин сохраняется довольно долго. Вопросам распределения и биотрансформации никотина посвящена обширная литература. Основным метаболитом никотина в организме считают котинин, в малых количествах обнаружены оксикотинин и еще 6 других метаболитов.
РЕАКЦИИ ОБНАРУЖЕНИЯ
1. Реакции с реактивами группового осаждения алкалоидов
2. Реакция с формальдегидом
На часовое стекло наносят 1 – 2 капли исследуемого раствора и 2 капли 4% водного раствора формальдегида. Смесь нагревают, затем прибавляют каплю концентрированной кислоты азотной. В присутствии никотина раствор приобретает красную или розовую окраску.
3. Реакция с п–диметиламинобензальдегидом
На часовое стекло наносят каплю концентрированной хлороводородной кислоты, в которую вносят кристаллик п–диметиламинобензальдегида. Рядом с этой каплей помещают каплю исследуемого раствора, затем капли соединяют с помощью стеклянной палочки. При наличии никотина в месте соприкосновения капель наблюдается розовое окрашивание, которое переходит в фиолетовое. Окраска сохраняется около суток.



4. Реакция с реактивом Бушарда
К 2 – 3 каплям исследуемого раствора прибавляют каплю реактива Бушарда, выпадает осадок красного, буроватого цвета.
5. Реакция с пергидролем
В пробирку вносят 1 мл исследуемого раствора, 1 мл водорода пероксида 30% и 2 – 3 капли концентрированной кислоты серной. Появление красной или шоколадно–коричневой окраски указывает на присутствие никотина.

6. Реакция с ванилином
К 1 мл исследуемого раствора прибавляют кристаллик ванилина и 1 – 2 капли концентрированной хлороводородной кислоты, появление красной или вишнёво–красной окраски указывает на присутствие никотина.
Механизм реакции схож с реакцией 3.
7. Реакция образования полиметинового красителя
KCNS + Br2 ® BrCNS + KBr

роданопиридиния
бромид

глутаконовый
альдегид

Микрокристаллические реакции
1. Реакция с реактивом Драгендорфа
(Методику выполнения см. кокаин). При наличии никотина наблюдаются сростки кристаллов в виде летящих птиц, буквы «К» или буквы «Х».
Открываемый минимум 1 мкг.
2. Реакция с солью Рейнеке
К сухому остатку на предметном стекле прибавляют каплю 0,01 моль/л раствора кислоты хлороводородной и каплю свежеприготовленного 1 % раствора соли Рейнеке. При наличии никотина образуются сферические сростки, состоящие из призматических кристаллов.
Открываемый минимум 1,2 мкг.
3. Реакция образования пикрата никотина
(Методику выполнения см. ареколин).
Открываемый минимум 3,3 мкг.
4. Реакция с раствором йода в этиловом эфире
В пробирку вносят 1 мл раствора исследуемого вещества в этиловом эфире и прибавляют 1 мл 1% раствора йода в этиловом эфире. Через несколько минут смесь мутнеет, а затем выпадает смолистый осадок, из которого выделяются игольчатые рубиново–красные кристаллы с тёмно–синим оттенком.
Фармакологическое испытание
Очищенный раствор (извлечение) наносят на спинку лягушки. При отравлении никотином лягушка принимает характерную позу (сидячее положение, расставив верхние и нижние лапки). Это испытание должен производить специалист – фармаколог.
5.5.21. АНАБАЗИН

Это алкалоид, который содержится в ежовнике безлистном. Представляет собой бесцветную маслянистую жидкость, хорошо растворимую в воде и ряде органических растворителей. Экстрагируется также как никотин
Реакции обнаружения
1. Реакции с реактивами группового осаждения алкалоидов
2. Реакция с реактивом Бушарда
3. Реакция с пергидролем
4. Реакция с ванилином
5. Реакция образования полиметинового красителя
(Выполнение реакций 2 – 5 см. никотин)
Микрокристаллические реакции
1. Реакция с реактивом Драгендорфа
(Выполнение реакции см. кониин). Появление сростков, состоящих из оранжево–красных кристаллов, имеющих форму пик, указывает на наличие анабазина в растворе.
Открываемый минимум 1 мкг.
2. Реакция с солью Рейнеке
(Выполнение реакции см. никотин). При наличии анабазина наблюдаются сростки, состоящие из мелких игольчатых кристаллов.
Открываемый минимум 0,7 мкг.
3. Реакция с пикриновой кислотой
К капле исследуемого раствора прибавляют 2 капли насыщенного раствора пикриновой кислоты. При наличии анабазина в растворе выпадает жёлтый кристаллический осадок.
Открываемый минимум 4 мкг.
СТЕРОИДОПОДОБНЫЕ АЛКАЛОИДЫ
5.5.22. ВЕРАТРИН

Вератрин – сумма алкалоидов (сложные эфиры вератровой или ангеликовой кислот), главным из которых является протовератрин.
Реакции обнаружения
1. Реакция с концентрированной серной кислотой
К сухому остатку на фарфоровой чашке после удаления растворителя добавляют 1 каплю концентрированной серной кислоты. Наблюдают быстрый переход окраски от жёлтой к оранжевой и красной, через 20 – 30 мин наблюдают вишнёво–красное окрашивание.
2. Реакция с концентрированной хлороводородной кислотой
К сухому остатку на фарфоровой чашке добавляют 1 – 2 капли концентрированной хлороводородной кислоты. Через насколько минут наблюдают стойкое вишнёво–красное окрашивание.
АЦИКЛИЧЕСКИЕ АЛКАЛОИДЫ
5.5.23. ЭФЕДРИН

Один из алкалоидов различных видов эфедры. Экстрагируется из щелочных растворов.
Реакции обнаружения
1. Реакции с реактивами группового осаждения алкалоидов
2. Реакция с солями меди и сероуглеродом
В микропробирку вносят каплю раствора исследуемого вещества, подкисленного уксусной кислотой, прибавляют каплю 5% раствора меди сульфата, а затем раствор аммония гидроксида до щелочной реакции. К полученному раствору прибавляют 2 капли смеси сероуглерода и бензола (1:3) и взбалтывают. При наличии эфедрина бензольный слой приобретает коричневую или жёлтую окраску.
Открываемый минимум 2 мкг.


3. Реакция с 2, 4 – динитрохлорбензолом
В микропобирку вносят каплю эфирного раствора исследуемого вещества, прибавляют каплю 5 моль/л раствора едкого натра и каплю 5% спиртового раствора 2, 4 – динитрохлорбензола. Жидкость нагревают на водяной бане в течение 5 мин. При наличии эфедрина в растворе появляется жёлто–коричневая окраска. Если к охлаждённому раствору прибавить 1 – 2 капли раствора хлороформа и несколько капель разведённой уксусной кислоты, а затем взболтать, то хлороформный слой приобретает жёлтую окраску.
Открываемый минимум 5 мкг.


4. Реакция с реактивом Либермана
К сухому остатку на фарфоровой чашке после удаления растворителя добавляют 1 каплю реактива Либермана (натрия нитрит в концентрированной серной кислоте). Наблюдают появление жёлтого окрашивания.
Микрокристаллические реакции
1. Реакция с реактивом Драгендорфа
Сухой остаток на предметном стекле растворяют в 1 капле 0,1 моль/л раствора хлороводородной кислоты и добавляют 1 каплю реактива Драгендорфа. Через 10 – 15 мин под микроскопом наблюдают пучки из тонких игольчатых кристаллов и пластинки неправильной формы тёмно–коричневого цвета.
Открываемый минимум 15,6 мкг.
2. Реакция с солью Рейнеке
Сухой остаток на предметном стекле растворяют в 1 капле 0,1 моль/л раствора хлороводородной кислоты и добавляют 1 каплю свежеприготовленного 1% раствора соли Рейнеке. Быстро выделяется аморфный сиреневый осадок, кристаллизующийся при стоянии в сростки из прямоугольных пластинок.
5.5.24. ПРОИЗВОДНЫЕ ФЕНОТИАЗИНА

Таблица 4. Производные фенотиазина
| Исследуемое вещество | R1 | R2 |
| Аминазин | Cl |
|
| Дипразин | H |
|
| Этаперазин | H |
|
| Трифтазин | CF3 |
|
Физико-химические свойства
Представляют собой белые или желтоватые кристаллические порошки, хорошо растворимые в воде и этаноле, получаемые синтетическим путем. Они экстрагируются органическими растворителями из щелочных водных растворов.
Основной характер производных фенотиазина обусловлен наличием в структуре молекулы гетероциклического атома азота (с рКа 4) и третичного атома азота в алифатическом радикале (рКа 9,1-9,8).
При взаимодействии с кислотами фенотиазины образуют соли, легко растворимые в воде, спирте, хлороформе, но практически нерастворимые в эфире и бензоле.
Основания представляют собой сиропообразную массу, нерастворимую в воде, но растворимую а спирте, эфире, хлороформе, этилацетате.
Логарифм распределения (log P) основания аминазина в системе октанол-вода и хлороформ-вода соответственно равны 5,16 и 1,09, хлористоводородной соли аминазина – 1,51 и 1,22. Для дипразина log P в системе циклогексан-вода и хлороформ-вода – 1,5 и 1,22.
Абсорбция производных фенотиазина в УФ-области спектра характеризуется наличием 2 максимумов: λ мах. 1. 250-260 нм (ε 35000); 2. 300-315 нм (ε 4500)
Сравнение УФ-спектров солей производных фенотиазина со спектрами их оснований показывает, что они практически идентичны. Следовательно, их УФ-спектры отражают только электронную структуру фенотиазиновой части молекулы (хлорпромазин, прометазин).
Исключение представляют те производные, которые во 2-ом положении содержат радикалы со свободными n-электронами (тиоридазин, левомепромазин).
Сульфоксиды фенотиазинов имеют в отличие от нативных (основных) соединений 4 максимума в УФ-области: 230,265,285 и 400 нм.
Фармакокинетика
Всасываются фенотиазины как вещества основного характера преимущественно из кишечника. Гидрофобный характер оснований фенотиазинов способствует взаимодействию их с белками. Кажущийся объем, распределения (Vр) приближается к 100%, поэтому, фенотиазины локализуются в тканях органов (мозг, печень, почки). Выводятся почками, в моче обнаруживается в основном в виде метаболитов.
Метаболизм фенотиазинов протекает в 3-х направлениях:
1 путь - трансформация в радикалах R1 и R2
а) N-O-S-деметилирование, которое приводит к увеличению полярности соединений;
б) окисление N10-боковой цепи.


2 путь - окисление гетероциклического атома серы в сульфоксид или сульфон Сульфоокисление - образование сульфоксидов со степенью окисления 4 и 6.

3 путь - ароматическое гидроксилирование в положениях 3, 6 с последующим конъюгированием с глюкуроновой кислотой.

Токсическая доза для производных фенотиазина в среднем колеблется от 15 до 150 мг/кг.
Анализ фенотиазинов.
Обнаружение проводят по общей схеме идентификации лекарственных соединений:
1. Реакции осаждения
Как соединения, содержащие гетероциклический атом азота, фенотиазины образуют с общеалкалоидными осадочными реактивами как простые (с пикриновой и пикролоновой кислотами), так и комплексные соли (с солью Рейнеке, с солями висмута и золота). Наиболее часто используется для обнаружения веществ основного характера раствор йода в йодиде висмута (р-в Драгендорфа).
2. Микрокристаллические реакции: аминазин и дипразин с 5% р-ром хлорного золота образуют характерные кристаллические осадки. Большинство фенотиазинов дают кристаллические осадки с солью Рейнеке, однако дифференциация отдельных представителей этой группы по форме кристаллов затруднительна.
3. Реакции окрашивания
В основе реакций окрашивания лежат следующие химические процессы: - дегидрирование в присутствии кислот (конц. серная кислота);
- каталитическое окисление (HClO4+ NaNO2, р-в Фреде, р-в Манделина и др.);
- конденсация с альдегидами в присутствии водоотнимающих средств (р-в Марки);
- окисление солями металлов с высшей степенью валентности и HPtCl4).
Таблица 5. Реакции окрашивания производных фенотиазина
| Название препарата | H2SO4 к. | HClO4 + NaNO2 | H2SO4 к. + формальдегид | 10% р-р H2PtCl6 |
| Хлорпромазин | малиновое | малиновое | розово-малиновое | сиреневое с фиолетовым осадком |
| Прометазин | малиновое | розово-малиновое | желто-оранжевое | серо-синее с розовым осадком |
| Тиоридазин | бледно-голубое | зелено-голубое | цвет морской волны | бледно-сиреневое |
| Левомепромазин | фиолетовое | фиолетовое | фиолетовое | ярко-зеленое |
ГХ-анализ
Разделение производных фенотиазина проводят на фазе средней полярности OV-225 (3-5% на хроматоне), в стеклянных микроколонках длиной 1-2 м при 200-250оС. Температура инжектора 250-300оС. Детектор азотнофосфорный (чувствительность 0,006 мкг/мкл), а для хлорсодержащих – по захвату электронов (чувствительность – 0,001). Внутренний стандарт - имизин.
Фотометрия в видимой области спектра
В основу этих методов положено измерение поглощения окрашенных продуктов реакции производных фенотиазина:
- с конц. H2SO4 – эта методика нашла наиболее широкое применение. Недостаток метода – возможность обугливания при наличии соэкстрактивных веществ, особенно при использовании гнилостно-разложившегося биологического материала (аминазин, дипразин);
- с реактивом Манделина и конц. H2SO4. Методика используется для производных фенотиазина, которые с конц. H2SO4 дают нестабильное окрашивание с невоспроизводимыми значениями оптической плотности (тиоридазин, левомепромазин);
- с 18% р-ром кислоты соляной и 1 м р-ром кислоты мышьяковой.Реакция не уступает по чувствительности первым двум методам, однако мягкие условия окисления исключают возможность обугливания соэкстрактивных веществ (тиоридазин, френолон).
Фотометрия в УФ-области спектра
Этот метод требует высокой степени очистки извлечения и обычно сочетается с ТСХ. Измерение проводят при λмах 250-255нм в раствора 0,5 М. H2SO4. Из биологического материала производные фенотиазина (соединения основного характера) выделяют этиловым спиртом, подкисленным 10%-м спиртовым раствором кислоты щавелевой (рН=2-3), очищают жидкость-жидкостной экстракцией. Анализ проводится, как и в случае 1,4-бензодиазепинов, – деструкция при 100-120 0С в течение 30-60 мин в среде 6 М. HCl, затем - экстракция в органический растворитель или метод Стаса-Отто.
Изолирование из мочи и крови
Раздельно 5-10 мл мочи и 2 мл крови подщелачивают 50% раствором едкого натра до рН 13 и смесь кипятят в течение 10 минут на водяной бане. Полученный гидролизат охлаждается до комнатной температуры и дважды (по 20 мл) извлекается н-гептаном, содержащим 3% изоамилового спирта. Гептановые извлечения из мочи объединяют, промывают водой, насыщенной гептаном и делят на две равные части. В одной части проводится обнаружение производных фенотиазина методом тонкослойной хроматографии в системах 3 и 4, а в другой – количественное определение. Экстракт из крови полностью расходуется на количественное определение, т.к. содержит меньшее количество соэкстрактивных веществ.
Хроматографичесткая очистка и обнаружение в тонких слоях
Из аликвоты органического экстракта удаляют в токе теплого воздуха органический растворитель. Сухой остаток растворяют в 0,2-0,5 мл хлороформа и полученный раствор поровну наносят на две пластинки «Силуфол». В качестве метчиков наносят аминазин (обязательно) и те производные фенотиазина, которые были обнаружены в процессе предварительного исследования. Хроматографирование проводят в системе 1 и 2. Длина пробега – 10 см. Одну пластинку опрыскивают раствором конц. H2SO4 в этаноле (1:9) и при положительном результате на второй пластинке обнаружение проводят прокапыванием реактивом Марки.
Таблица 6. Величины и окраски пятен производных фенотиазина
| Соединение | Детекция | Системы растворителей | ||
| конц. H2SO4 в этаноле (1:9) | реактив Марки | 1 | 2 | |
| Rst | Rst | |||
| Аминазин Дипразин Динезин Пропазин Левомепромазин Мажептил Мепазил Трифтазин Этаперазин Френолон | темно-красное темно-красное красное красное голубое красное красное красное темно-красное красное | темно-красное темно-красное красное красное голубое красное красное красное темно-красное красное | 1,00 0,74 2,10 1,29 1,56 0,08 1,47 0,48 0,34 1,71 | 1,00 2,95 2,95 1,08 1,87 0,13 1,60 0,26 0,48 3,21 |
Система 1: бензол-диоксан-25% аммиак – (60:35:5)
Система 2: этилацетат-ацетон-25% аммиак в этаноле (1:1) – (50:45:5)
Качественное обнаружение
1. С растворами йодида висмута в йодиде калия и фосфорно-молибденовой кислоты получаются аморфные осадки.
2. С концентрированной серной кислотой возникает устойчивое пурпурно-красное окрашивание.
При отрицательном результате двух первых реакций можно сделать заключение о необнаружении аминазина.
3. С формалинсерной кислотой аминазин дает пурпурно-красное окрашивание, усиливающееся при стоянии.
4. С концентрированной азотной кислотой возникает быстро исчезающее пурпурно-красное окрашивание.
5. С 5% раствором золотохлористоводородной кислоты (после 3—4-кратной обработки остатка основания аминазина 0,1 М. раствором НС1) выделяется темно-красный аморфный осадок, переходящий через 20-50 минут в характерный кристаллический. Кристаллы в виде палочек и сростков из них, напоминающих снопы и сфероиды. Кристаллы оптически активны, погасание косое, угол погасания 20-30°, удлинение кристаллов положительное.
Количественное определение
Количественное определение производных фенотиазина проводится без предварительной хроматографической очистки и разделения только в случае, когда установлено отсутствие в биообъекте других веществ основного характера. При их наличии для количественного определения производных фенотиазина проводят хроматографическую очистку методом ТСХ. Для этого на хроматографическую пластинку на стартовую линию, наносят в виде сплошной полосы шириной 1 см всю аликвоту экстракта для количественного определения к хроматографируют в системе 2. По окончании хроматографирования в УФ-свете отмечают зону соединения с соответствующим Rf, параллельно метчикам, снимают слой сорбента, содержащего соединение скальпелем в пробирку. Элюирование проводят 10 мл раствора 25% аммиака в этаноле (1:1) элюат отделяют фильтрованием через стеклянный фильтр № 4, упаривают досуха в токе холодного воздуха. Сухой остаток растворяют в 5 мл 0,1 М. раствора HCl, затем добавляют 4 мл 0,01 М. НCl.
В случае отсутствия других веществ основного характера вторую часть гептанового извлечения (кровь, моча) реэкстрагируют 5 мл 0,1 М. HCl, а затем 4 мл 0,01 М. НCl. Солянокислые растворы объединяют.
К объединенному солянокислому раствору добавляют 12 мл ацетатного буферного раствора (рН 3,5), 2 мл насыщенного раствора метилоранжа и 5 мл хлороформа. Полученная смесь взбалтывается в делительной воронке – при наличии производных фенотиазина хлороформный слой окрашивается в желтый цвет (гелиантаты производных фенотиазина, извлекаемые хлороформом). Хлороформный слой отделяется и определяется оптическая плотность окрашенного раствора (фотоэлектроколориметр ФЭК-56 и др., кювета 10 мм, светофильтр синий с максимумом пропускания при 400 нм).
Для построения калибровочной кривой готовят стандартные растворы в 0,01 М. НСl производных фенотиазина с содержанием 1,2-10 мкг/мл производных: фенотиазина и исследуют их вышеприведенной процедурой. На основании результатов определения оптической плотности строится калибровочный график. Вышеприведенным методом изолируется до 60% производных фенотиазина из крови и до 80% из мочи.
Количественное определение аминазина и его метаболитов
1. Фотоколориметрическое определение основано на реакции с концентрированной серной кислотой. Фотометрирование проводят при λ = 508 нм; эталон сравнения – контрольный опыт. Расчет содержания аминазина и его метаболитов производится по калибровочному графику.
2. Спектрофотометрическое обнаружение. Ультрафиолетовый спектр снимается в диапазоне длин вол 220-400 нм на СФ-4, СФ-4А и др. при концентрации 10 мкг/мл в пересчете на основание.
Максимумы абсорбции неизмененного аминазина при λmax = 254-255 нм (макс.) и λmin = 300-305 нм (мин). Неизмененный аминазин обычно обнаруживается в желудке и желудочно-кишечном тракте и их содержимом. Основной метаболит – сульфоксид – имеет максимумы абсорбции при длинах волн 238-240, 273; 298 и 340 нм. Химико-токсикологическим анализом по описанной методике обнаруживается 53-60% аминазина, добавленного к органам. Граница обнаружения 0,2 мг, граница определения 0,5 мг аминазина в 100 г органов.
Обнаружение фенотиазинов
Фенотиазины часто обнаруживают с помощью тонкослойной хроматографии щелочных экстрактов мочи, но при пероральном поступлении в организм специфическая идентификация этого соединения может оказаться невозможной, если для анализа имеется только моча. Фенотиазины, принимаемые в низких дозах, например флуфеназин, невозможно обнаружить в моче ни одним из известных методов.
Качественный анализ
а) Реакции осаждения - общеалкалоидные осаждающие реактивы (часто реактив Драгендорфа) +соль Рейнеке, Bi, Au.
б) Микрокристаллические реакции - 5% раствор хлорного золота дает характерные кристаллические осадки +соль Рейнеке дает характерные кристаллические осадки
в) Реакции окрашивания:
1) Дегидрирование в присутствии концентрированных кислот (H2SO4):
Элениум – малиновое окрашивание; Тиоридазин – голубое; Левомепромазин – фиолетовое.
2) Каталитическое окисление (HСlO4+NaNO2, реактив Фреде, реактив Манделина): Элениум – малиновое окрашивание; Тиоридазин – зеленовато-голубое; Левомепромазин – фиолетовое.
3) Конденсация с альдегидами в присутствии водоотнимающих средств (реактив Марки):
Элениум – розово-малиновое окрашивание; Тиоридазин – цвет морской волны; Левомепромазин – фиолетовое.
4) окисление солями металлов, имеющих высшую степень окисления (FeCl3 и HPtCl4)
В основе теста лежит реакция многих из этих соединений с ионами трехвалентного железа в кислой среде. Предпринимается для исследования мочи, содержимого желудка и остатков веществ с места происшествия.
а) Реактив FPN (FeCl3+ HClO4+ HNO3). Цвета, варьирующие от розового, красного или оранжевого до фиолетового или синего, могут свидетельствовать о присутствии фенотиазинов или их метаболитов. Моча пациентов, регулярно принимающих в лечебных целях традиционные фенотиазины, например хлорпромазин, обычно дает положительную реакцию. Чувствительность Хлорпромазин, 25 мг/л.
б) Элениум + HPtCl4 → фиолетовый осадок; Тиоридазин – серо-розовый осадок; Левомепромазин –ярко-зеленое окрашивание.
г) Газохроматографический анализ (ГХ)
Разделение ведут в среднеполярной фазе OV-225 на хроматоне в стеклянных микроколонках l = 1-2 м при температуре 200-250 оС, температура инжектора 250-300 оС. Детектор – азотно-фосфорный; для хлорсодержащих фенотиазинов – по захвату электрона. Внутренний стандарт – имизин.
д) Фотометрия в видимой области
В основе – получение окрашенного раствора (с кислотой H2SO4, с реактивом Манделина, с 18% HCl и 1М раствором мышьяковой кислоты).
е) Фотометрия в УФ области спектра.
Метод требует высокой очистки (сочетание с ТСХ). Измерение ведут в растворе 0.5 М H2SO4 (λmax=250–255 нм)
Пример. Краткая информация для составления схемы ХТА аминазина.
Аминазин относится к производным фенотиазина. Является веществом основного характера. Аминазин всасывается преимущественно из кишечника. Локализуется в тканях мозга, печени, почек. Выводится почками, в моче обнаруживается в основном в виде метаболитов.
Метаболизм протекает в трех направлениях:
1. Окисление N10 – боковой цепи.
- CH2-CH 2-CH2-N( CH3 )2 → CH2-CH2-CH2-NH2 → дезаминирование.
2. Сульфоокисление.
3. Ароматическое гидроксилирование в 3 и 6 положениях с последующим коньюгированием с глюкуроновой кислотой.
Объекты для исследования:
1. Промывные воды желудка (если токсикант был принят внутрь, то промывные воды будут содержать его следы);
2. Желудок с содержимым, кишечник с содержимым (обнаруживаются остатки токсиканта, не успевшие всосаться в кровь);
3. Части печени, почек (аминазин метаболизируется в печени, частично выводится почками).
Аминазин относится к группе веществ, изолируемых подкисленным спиртом или подкисленной водой. Изолирование аминазина и его метаболитов рекомендуется производить спиртом, подкисленным до рН 2,0 - 3,0 10% раствором щавелевой кислоты, с последующей экстракцией основания эфиром при рН 13,0 и реэкстракцией вещества в 0,5 н раствор серной кислоты (изолирование по Е.М. Саломатину). Аминазин является соединением со слабыми основными свойствами, так как содержит в структуре третичный атом азота и при подкислении переходит в хорошо растворимую в воде и спирте ионизированную форму:
- при последующем повышении pH до 13,0 солевая форма переходит обратно в неионизированную форму, которая легко экстрагируется в эфир.
- при последующей реэкстракции раствором серной кислоты снова образуется протонированная форма аминазина.
Таким образом, за счет многократной реэкстракции происходит выделение анализируемого вещества и очистка от примесей.
Аналогично протекает извлечение из биологического материала основного метаболита аминазина – его сульфоксидного производного:
Также изолирование производных фенотиазина можно проводить путем экстракции из биологического материала подкисленной водой с последующей экстракцией органическим растворителем (диэтиловый эфир, хлороформ) из этого раствора, подщелоченного с помощью 25% раствора аммиака.
Предварительные испытания. В качестве предварительных испытаний на аминазин могут быть рекомендованы качественные реакции:
• С растворами йодида висмута в йодиде калия и фосфорно-молибденовой кислоты производные фенотиазина дают аморфные осадки
• С концентрированной серной кислотой возникает устойчивое пурпурно-красное окрашивание
• С формалином и серной кислотой производные фенотиазина дают пурпурно-красное окрашивание, усиливающееся при стоянии
В лекции "Брюшная грыжа" также много полезной информации.
• С концентрированной азотной кислотой возникает пурпурно-красное окрашивание (образование сульфоксида), которое быстро исчезает (образование сульфона).
• С 5% раствором золотохлористо-водородной кислоты аминазин (после 3-4 кратной обработки основания 0,1 М. раствором HCl) выделяется темно-красный аморфный осадок, переходящий через 20-50 мин. в характерный кристаллический осадок. Кристаллы в виде палочек и сростков из них, напоминают снопы и сфероиды. Кристаллы оптически активны (погасание косое, угол погасания 20-300, удлинение кристаллов положительное).
• С реактивами Марки и Фреде окраска производных фенотиазина — от красной до фиолетовой.
• С реактивом Манделина тизерцин дает красно-фиолетовую окраску; дипразин дает зеленую, переходящую в пурпурную окраску. Окраска у других производных фенотиазина — от красной до фиолетовой.
ТСХ-обнаружение
Для этого на хроматографическую пластинку стеклянным капилляром наносят каплю исследуемого раствора. Нанесенное пятно подсушивают на воздухе. Рядом наносят растворы известных препаратов, производных фенотиазина («свидетели») и вновь подсушивают пластинку. Затем пластинку вносят в камеру для хроматографии, насыщенную парами растворителя (смесь 25% раствора аммиака и этилового спирта в соотношении 1:1, либо 25% раствора аммиака, этилацетата и ацетона 4:90:45). После хроматографирования в указанных системах растворителей пластинку проявляют 50% раствором серной кислоты в этиловом спирте. Затем пластинку помещают на 3-5 мин в сушильный шкаф, нагретый до 1000С. Измеряют значение Rf проявившихся пятен, сравнивают их с Rf пятен «свидетелей» или со справочными значениями Rf. Аминазину соответствует значение Rf 0,35 во второй из приведенных выше систем растворителей.




























