Основы теории вероятностей
Основы теории вероятностей.
Теория вероятностей – это раздел математики, который изучает закономерности в массовых случайных событиях.
Событие – это факт, который может произойти или не произойти в результате проведения опыта или испытания.
Выделяют три вида событий:
а) достоверные
б) невозможные
с) случайные
Достоверное событие – это событие, которое обязательно произойдёт в результате данного опыта.( например: при бросании кубика выпадет 1≤целое число≤6).
Невозможное событие – это событие, которое никогда не произойдет в условиях данного опыта. .( например: при бросании кубика выпадет число≥7, например 10).
Рекомендуемые материалы
Случайное событие – это событие, которое может произойти или не произойти в результате данного опыта. ( например: бросили кубик один раз – выпадение числа 3 – случайное событие).
События обозначаются первыми заглавными буквами латинского алфавита: А, В, С, D,.
События называются массовыми, если они происходят одновременно в достаточно большом числе испытаний или многократно повторяются .( например: много людей бросают кубики или один человек бросает кубик много раз).
1. Классификация случайных событий.
Равновозможные события – это события такие, что ни одно из них не является более возможным, чем другие ( например: кубику всё равно на какую грань упасть).
Совместные события – это события, которые могут произойти одновременно в результате данного опыта. ( например: бросаем 2 кубика - выпадение числа 1 и выпадение числа 3 – совместные события).
Несовместные события – это равновозможные события такие, что появление одного из них исключает появление остальных.( например: бросаем 1 кубик – выпадение цифры 3 исключает выпадение остальных цифр).
Несколько случайных событий:
образуют полную группу событий, если каждое из них может произойти в результате данного опыта. ( например: выпадение чисел 1,2,3,4,5,6 –полная группа событий для бросания одного кубика).
Противоположные события
– это равновозможные несовместные события, образующие полную группу событий. Появление события
исключает появление события
. ( например: орёл или решка, попадание в мишень или промах).
Несмотря на то, что события случайные, при большом числе опытов они подчиняются закономерностям, которые изучает теория вероятностей.
2 Вероятность случайного события.
Вероятность случайного события
(обозначается Р(А)) –это число, которое говорит нам о степени возможности наступления события
.
Существуют два определения вероятности: классическое и статистическое, каждое из них имеет свои достоинства и недостатки.
Классическое определение вероятности.
Вероятность события
– это отношение числа исходов, благоприятствующих данному событию (m), к общему числу всех несовместных и равновозможных исходов данного опыта (n).

Если А – случайное событие, то 
![]() | |
![]() |
Если А – достоверное событие, то 
Если А – невозможное событие, то 
Пример: при бросании кубика возможно 6 исходов 
Событие А: выпадет четное число. Число исходов, благоприятствующих событию А, m=3. 
Достоинства: можно вычислить вероятность не производя испытания.
Недостатки: 1) не всегда известно число исходов опыта,
2) часто невозможно представить результат испытаний в виде равновозможных и несовместных событий.
Поэтому на практике часто пользуются статистическим определением вероятности.
Статистическое определение вероятности.
Пусть А – случайное событие, опыт проводился n раз, в результате опыта событие А произошло m раз, тогда m- частота наступления события А, а величина
называется относительной частотой события А.
Для разных n ,
могут заметно отличаться, но если проводим длинную серию опытов, т.е.
, то
к некоторому пределу.
Статистической вероятностью события А называется предел, к которому стремится его относительная частота
, при неограниченном увеличении числа испытаний.

Пример: среди 1000 новорожденных 517 мальчиков. Найти относительную частоту рождения мальчиков.
, тем не менее, известно, что 
Так как вероятность – это число
следовательно, с этими числами можно производить арифметические действия.
3. Теоремы сложения вероятностей.
Суммой двух событий А+В
называется событие, которое состоит в том, что произойдёт или событие А или событие В или оба они одновременно.
Суммой нескольких событий (А₁+А₂+А₃+…..+Аn) называется событие, которое состоит в том, что произойдёт хотя бы одно из этих событий.
Теорема 1: Вероятность двух несовместных событий равна сумме вероятностей этих событий: 
Теорема 2: Вероятность суммы нескольких попарно несовместных событий равна сумме вероятностей этих событий:

Следствие 1:Сумма вероятностей событий, которые образуют полную группу, равна 1:

Следствие 2: Сумма вероятностей противоположных событий равна 1:

Теорема 3: Вероятность суммы двух совместных событий равна сумме вероятностей этих событий минус вероятность совместного их появления:

Пример: Бросаем 2 кубика: А – выпадет чётное число на первом кубике
В -- выпадет чётное число на втором кубике
(А+В) – выпадет чётное число на первом или втором кубике или на первом и втором одновременно:

4. Теоремы умножения вероятностей.
События бывают зависимыми и независимыми.
Событие В не зависит от события А, если Р(В) не изменяется от того, что произошло событие А.
Событие В зависит от события А, если Р(В) изменяется от того, что произошло событие А.
Р(В/А) – вероятность события В, при условии, что произошло событие А – это условная вероятность события В.
Произведением двух событий А·В
, называется событие, которое состоит в том, что произойдёт и событие А и событие В.
Произведением нескольких событий А·В·С·D·… называется событие, которое состоит в том, что произойдут все эти события.
Теорема 1. Вероятность совместного появления двух независимых событий равна произведению их вероятностей.

Теорема 2. Вероятность совместного появления двух зависимых событий (В зависит от А) равна произведению вероятности события А на условную вероятность события В.

5. Формула полной вероятности.
Иногда событие А может произойти только совместно с одним из нескольких других событий, их принято называть гипотезами и обозначать
Тогда полная вероятность события А вычисляется по формуле:

Пример:
Н₃ 
Н₁ Н₂ СобытиеА:попадёмв домик.






6. Формулы Байеса.
До проведения опыта мы имели вероятности гипотез 
(В примере
).
После проведения опыта:
Пусть событие А произошло (т.е. попали в домик), вероятности гипотез
изменились. Для того, чтобы вычислить вероятности гипотез, при условии, что произошло событие А используют формулы Байеса:

Пример


7. Случайная величина.
Случайная величина – это переменная, которая принимает свои значения в зависимости от случайных обстоятельств.
.Дискретная случайная величина (точечная) принимает отдельные числовые значения (число студентов в аудитории, кубик: 1,2,3,4,5,6)
Непрерывная случайная величина принимает любые значения из некоторого интервала( масса тела, рост студентов).
Случайные величины обозначают заглавными последними буквами латинского алфавита:X,Y,Z…,а их возможные значения прописными буквами:


Любое правило, которое устанавливает связь между возможными значениями случайной величины и вероятностями, с которыми она эти значения принимает, называется законом распределения случайной величины.
Закон распределения случайной величины можно задавать в виде:
1).Таблицы
2). Графика
3) Функции распределения.
Дискретная случайная величина.
1).Таблица: Ряд распределения(может быть конечным или бесконечным)
| X | x1 | x2 | … | … | … | xn |
| P(x) | P(x1) | P(x2) | P(xn) |
Так как события X=x1, X=x2…. попарно несовместны и составляют полную группу событий, следовательно
![]() |

2).График: многоугольник распределения.












3).Функция распределения F(x0)– это вероятность того, что случайная величина X принимает значения меньшие или равные x0.










Вероятность попадания значения случайной величины в заданный интервал:

Пример:
| X | 2 | 4 | 6 | 8 | 10 |
| P(x) | 0,1 | 0,2 | 0,4 | 0,2 | 0,1 |
| F(x) | 0,1 | 0,3 | 0,7 | 0,9 | 1 |
F(4)=P(X≤4)=Р(2)+Р(4)=0,1+0,2=0,3 F(8)=P(X≤8)=Р(2)+Р(4)+Р(6)+Р(8)=0,1+0,2+0,4+0,2=0,9
P(4<X≤8)=F(8)-F(4)=0,9-0,3=0,6
Непрерывная случайная величина.
1).Таблица: Интервальный ряд распределения.
| X | Δx1 | Δx2 | Δxk | |||
| P(Δx) | P(Δx1) | P(Δx2) | P(Δxk) |
Где к – количество интервалов.
2).График: Гистограмма.




3).Функция распределения.







4). Функция плотности распределения f(x): (только для непрерывной случайной величины).

Найдём предел:
Обозначим: .
это функция плотности распределения.
То есть функция распределения F(x) является первообразной для функции плотности распределения f(x).






1). f(x) неотрицательная функция (f(x)≥0).
2). Вероятность попадания в элементарный интервал dx=(x+Δx)-x равна f(x)dx=dP.


3).Вероятность попадания случайной величины в интервал [a,b]:






4). Условие нормировки:
площадь под кривой равна единице.
8. Числовые характеристики (параметры) случайной величины.
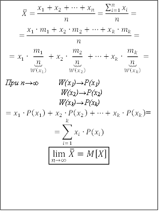
1). Математическое ожидание. Это среднее значение случайной величины.
Дискретная случайная величина.
.
Пусть проведено n испытаний,
случайная величина приняла значение
x1 -- m1 -- раз,
x2 -- m2 -- раз,
…………………..
Xk -- mk -- раз,где
К -- количество различных значений,
mi -- частота значения xi.
m1+m2+…+mk=n
Среднее арифметическое
:
Непрерывная случайная величина.

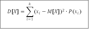
2). Дисперсия (рассеивание). Это математическое ожидание (среднее значение) квадрата отклонения случайной величины X от её математического ожидания.

![]() |
Дискретная случайная величина.
Для вычисления дисперсии удобно пользоваться формулой:

Если X и Y независимые случайные величины,то 
Непрерывная случайная величина.

Размерность дисперсии (единица измерения)2,поэтому используют:
3). Средне -квадратическое или стандартное отклонение.

Контрольные вопросы.
1. Предмет теории вероятностей.
2. Классификация случайных событий.
3. Теоремы сложения вероятностей.
Ещё посмотрите лекцию "Маркетинговыеые исследования в рекламе" по этой теме.
4. Теоремы умножения вероятностей.
5. Формула полной вероятности.
6. Формулы Байеса.
7. Дискретные и непрерывные случайные величины.
8. Способы задания закона распределения случайной величины.
9. Параметры распределения случайной величины.






![D[X]=∑_(i=1)^k▒〖(x_i-M[X])^2∙P(x_i ) 〗 ](https://s.studizba.com/z.php?f=/uploads/lectures/medicina/medicinskaya-statistika/files/117-1-osnovy-teorii-veroyatnostey.png)




















