Матричные игры
Часть 2. Теория игр.
КЛАССИФИКАЦИЯ ИГР.
Классификацию игр можно проводить: по количеству игроков, количеству стратегий, характеру взаимодействия игроков, характеру выигрыша, количеству ходов, состоянию информации и т.д.
В зависимости от количества игроков различают игры двух и n игроков. Первые из них наиболее изучены. Игры трёх и более игроков менее исследованы из-за возникающих принципиальных трудностей и технических возможностей получения решения. Чем больше игроков - тем больше проблем.
По количеству стратегий игры делятся на конечные и бесконечные. Если в игре все игроки имеют конечное число возможных стратегий, то она называется конечной. Если же хотя бы один из игроков имеет бесконечное количество возможных стратегий игра называется бесконечной.
По характеру взаимодействия игры делятся на:
1) бескоалиционные: игроки не имеют права вступать в соглашения, образовывать коалиции;
2) коалиционные (кооперативные) – могут вступать в коалиции.
В кооперативных играх коалиции наперёд определены.
Рекомендуемые материалы
По характеру выигрышей игры делятся на: игры с нулевой суммой (общий капитал всех игроков не меняется, а перераспределяется между игроками; сумма выигрышей всех игроков равна нулю) и игры с ненулевой суммой.
По виду функций выигрыша игры делятся на: матричные, биматричные, непрерывные, выпуклые, сепарабельные, типа дуэлей и др.
Матричная игра – это конечная игра двух игроков с нулевой суммой, в которой задаётся выигрыш игрока 1 в виде матрицы (строка матрицы соответствует номеру применяемой стратегии игрока 2, столбец – номеру применяемой стратегии игрока 2; на пересечении строки и столбца матрицы находится выигрыш игрока 1, соответствующий применяемым стратегиям).
Для матричных игр доказано, что любая из них имеет решение и оно может быть легко найдено путём сведения игры к задаче линейного программирования.
Биматричная игра – это конечная игра двух игроков с ненулевой суммой, в которой выигрыши каждого игрока задаются матрицами отдельно для соответствующего игрока (в каждой матрице строка соответствует стратегии игрока 1, столбец – стратегии игрока 2, на пересечении строки и столбца в первой матрице находится выигрыш игрока 1, во второй матрице – выигрыш игрока 2.)
Для биматричных игр также разработана теория оптимального поведения игроков, однако решать такие игры сложнее, чем обычные матричные.
Непрерывной считается игра, в которой функция выигрышей каждого игрока является непрерывной в зависимости от стратегий. Доказано, что игры этого класса имеют решения, однако не разработано практически приемлемых методов их нахождения.
Если функция выигрышей является выпуклой, то такая игра называется выпуклой. Для них разработаны приемлемые методы решения, состоящие в отыскании чистой оптимальной стратегии (определённого числа) для одного игрока и вероятностей применения чистых оптимальных стратегий другого игрока. Такая задача решается сравнительно легко.
ГЛАВА 1. МАТРИЧНЫЕ ИГРЫ.
§ 1. РЕШЕНИЕ МАТРИЧНЫХ ИГР В ЧИСТЫХ СТРАТЕГИЯХ.
Матричная игра двух игроков с нулевой суммой может рассматриваться как следующая абстрактная игра двух игроков.
Первый игрок имеет m стратегий i = 1,2,...,m, второй имеет n стратегий j = 1,2,...,n. Каждой паре стратегий (i,j) поставлено в соответствие число аij, выражающее выигрыш игрока 1 за счёт игрока 2, если первый игрок примет свою i-ю стратегию, а 2 – свою j-ю стратегию.
Каждый из игроков делает один ход: игрок 1 выбирает свою i-ю стратегию (i=
), 2 – свою j-ю стратегию (j=
), после чего игрок 1 получает выигрыш аij за счёт игрока 2 (если аij< 0, то это значит, что игрок 1 платит второму сумму | аij | ). На этом игра заканчивается.
Каждая стратегия игрока i=
; j =
часто называется чистой стратегией.
Если рассмотреть матрицу
А = 
то проведение каждой партии матричной игры с матрицей А сводится к выбору игроком 1 i-й строки, а игроком 2 j-го столбца и получения игроком 1 (за счёт игрока 2) выигрыша аij.
Главным в исследовании игр является понятие оптимальных стратегий игроков. В это понятие интуитивно вкладывается такой смысл: стратегия игрока является оптимальной, если применение этой стратегии обеспечивает ему наибольший гарантированный выигрыш при всевозможных стратегиях другого игрока. Исходя из этих позиций, игрок 1 исследует матрицу выигрышей А следующим образом: для каждого значения i (i =
) определяется минимальное значение выигрыша в зависимости от применяемых стратегий игрока 2
аij (i =
)
т.е. определяется минимальный выигрыш для игрока 1 при условии, что он примет свою i-ю чистую стратегию, затем из этих минимальных выигрышей отыскивается такая стратегия i = iо, при которой этот минимальный выигрыш будет максимальным, т.е. находится

аij =
=
(1).
Определение. Число
, определённое по формуле (1) называется нижней чистой ценой игры и показывает, какой минимальный выигрыш может гарантировать себе игрок 1, применяя свои чистые стратегии при всевозможных действиях игрока 2.
Игрок 2 при оптимальном своём поведении должен стремится по возможности за счёт своих стратегий максимально уменьшить выигрыш игрока 1. Поэтому для игрока 2 отыскивается
аij
т.е. определяется max выигрыш игрока 1, при условии, что игрок 2 применит свою j-ю чистую стратегию, затем игрок 2 отыскивает такую свою j = j1 стратегию, при которой игрок 1 получит min выигрыш, т.е. находит

aij =
=
(2).
Определение. Число
, определяемое по формуле (2), называется чистой верхней ценой игры и показывает, какой максимальный выигрыш за счёт своих стратегий может себе гарантировать игрок 1.
Другими словами, применяя свои чистые стратегии игрок 1 может обеспечить себе выигрыш не меньше
, а игрок 2 за счёт применения своих чистых стратегий может не допустить выигрыш игрока 1 больше, чем
.
Определение. Если в игре с матрицей А
=
, то говорят, что эта игра имеет седловую точку в чистых стратегиях и чистую цену игры
u =
=
.
Седловая точка – это пара чистых стратегий (iо,jо) соответственно игроков 1 и 2, при которых достигается равенство
=
. В это понятие вложен следующий смысл: если один из игроков придерживается стратегии, соответствующей седловой точке, то другой игрок не сможет поступить лучше, чем придерживаться стратегии, соответствующей седловой точке. Математически это можно записать и иначе:

где i, j – любые чистые стратегии соответственно игроков 1 и 2; (iо,jо) – стратегии, образующие седловую точку.
Таким образом, исходя из (3), седловой элемент
является минимальным в iо-й строке и максимальным в jо-м столбце в матрице А. Отыскание седловой точки матрицы А происходит следующим образом: в матрице А последовательно в каждой строке находят минимальный элемент и проверяют, является ли этот элемент максимальным в своём столбце. Если да, то он и есть седловой элемент, а пара стратегий, ему соответствующая, образует седловую точку. Пара чистых стратегий (iо,jо) игроков 1 и 2, образующая седловую точку и седловой элемент
, называется решением игры. При этом iо и jо называются оптимальными чистыми стратегиями соответственно игроков 1 и 2.
Пример 1

Седловой точкой является пара (iо = 3; jо = 1), при которой u =
=
= 2.
Заметим, что хотя выигрыш в ситуации (3;3) также равен 2 =
=
, она не является седловой точкой, т.к. этот выигрыш не является максимальным среди выигрышей третьего столбца.
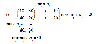
Пример 2

Из анализа матрицы выигрышей видно, что
, т.е. данная матрица не имеет седловой точки. Если игрок 1 выбирает свою чистую максиминную стратегию i = 2, то игрок 2, выбрав свою минимаксную j = 2, проиграет только 20. В этом случае игроку 1 выгодно выбрать стратегию i = 1, т.е. отклониться от своей чистой максиминной стратегии и выиграть 30. Тогда игроку 2 будет выгодно выбрать стратегию j = 1, т.е. отклониться от своей чистой минимаксной стратегии и проиграть 10. В свою очередь игрок 1 должен выбрать свою 2-ю стратегию, чтобы выиграть 40, а игрок 2 ответит выбором 2-й стратегии и т.д.
§ 2. СМЕШАННОЕ РАСШИРЕНИЕ МАТРИЧНОЙ ИГРЫ.
Исследование в матричных играх начинается с нахождения её седловой точки в чистых стратегиях. Если матричная игра имеет седловую точку в чистых стратегиях, то нахождением этой седловой точки заканчивается исследование игры. Если же в игре нет седловой точки в чистых стратегиях, то можно найти нижнюю и верхнюю чистые цены этой игры, которые указывают, что игрок 1 не должен надеяться на выигрыш больший, чем верхняя цена игры, и может быть уверен в получении выигрыша не меньше нижней цены игры. Улучшение решений матричных игр следует искать в использовании секретности применения чистых стратегий и возможности многократного повторения игр в виде партии. Этот результат достигается путём применения чистых стратегий случайно, с определённой вероятностью.
Определение. Смешанной стратегией игрока называется полный набор вероятностей применения его чистых стратегий.
Таким образом, если игрок 1 имеет m чистых стратегий 1,2,...,m, то его смешанная стратегия x – это набор чисел x = (x1, ..., xm) удовлетворяющих соотношениям
xi ³ 0 (i = 1,m),
= 1.
Аналогично для игрока 2, который имеет n чистых стратегий, смешанная стратегия y – это набор чисел
y = (y1, ..., yn), yj ³ 0, (j = 1,n),
= 1.
Так как каждый раз применение игроком одной чистой стратегии исключает применение другой, то чистые стратегии являются несовместными событиями. Кроме того, они являются единственными возможными событиями.
Чистая стратегия есть частный случай смешанной стратегии. Действительно, если в смешанной стратегии какая-либо i-я чистая стратегия применяется с вероятностью 1, то все остальные чистые стратегии не применяются. И эта i-я чистая стратегия является частным случаем смешанной стратегии. Для соблюдения секретности каждый игрок применяет свои стратегии независимо от выбора другого игрока.
Определение. Средний выигрыш игрока 1 в матричной игре с матрицей А выражается в виде математического ожидания его выигрышей
E (A, x, y) =
= x A yT
Первый игрок имеет целью за счёт изменения своих смешанных стратегий х максимально увеличить свой средний выигрыш Е (А, х, y), а второй – за счёт своих смешанных стратегий стремится сделать Е (А, х, y) минимальным, т.е. для решения игры необходимо найти такие х и y, при которых достигается верхняя цена игры
Е (А, х, y).
Аналогичной должна быть ситуация и для игрока 2, т.е. нижняя цена игры должна быть
Е (А, х, y).
Подобно играм, имеющим седловые точки в чистых стратегиях, вводится следующее определение: оптимальными смешанными стратегиями игроков 1 и 2 называются такие наборы хо, уо соответственно, которые удовлетворяют равенству
Е (А, х, y) =
Е (А, х, y) = Е (А, хо, уо).
Величина Е (А, хо ,уо) называется при этом ценой игры и обозначается через u.
Имеется и другое определение оптимальных смешанных стратегий: хо, уо называются оптимальными смешанными стратегиями соответственно игроков 1 и 2, если они образуют седловую точку:
Е (А, х, уо) £ Е (А, хо, уо) £ Е (А, хо, у)
Оптимальные смешанные стратегии и цена игры называются решением матричной игры.
Основная теорема матричных игр имеет вид :
Теорема (о минимаксе). Для матричной игры с любой матрицей А величины
Е (А, х, y) и
Е (А, х, y)
существуют и равны между собой.
§ 3. СВОЙСТВА РЕШЕНИЙ МАТРИЧНЫХ ИГР.
Обозначим через G (Х,Y,А) игру двух лиц с нулевой суммой, в которой игрок 1 выбирает стратегию х Î Х, игрок 2 – y Î U, после чего игрок 1 получает выигрыш А = А (х, y) за счёт игрока 2.
Определение. Стратегия х1 игрока 1 доминирует (строго доминирует) над стратегией х2, если
А (х1, y) ³ А (х2, y) (А (х1, y) > А (х2, y)), y Î U.
Стратегия y1 игрока 2 доминирует (строго доминирует) над стратегией y2, если
А (х, y1) £ А (х, y2) (А (х, y1) < А (х, y2)), х Î Х.
При этом стратегии х2 и y2 называются доминируемыми (строго доминируемыми).
Спектром смешанной стратегии игрока в конечной антагонистической игре называется множество всех его чистых стратегий, вероятность которых согласно этой стратегии положительна.
Свойство 1. Если чистая стратегия одного из игроков содержится в спектре некоторой его оптимальной стратегии, то выигрыш этого игрока в ситуации, образованной данной чистой стратегией и любой оптимальной стратегией другого игрока, равен значению конечной антагонистической игры.
Свойство 2. Ни одна строго доминируемая чистая стратегия игрока не содержится в спектре его оптимальной стратегии.
Игра G¢ = (Х¢,Y¢,А¢) называется подыгрой игры G (Х,Y,А), если Х¢Ì Х, U¢Ì U, а матрица А¢ является подматрицей матрицы А. Матрица А¢ при этом строится следующим образом. В матрице А остаются строки и столбцы, соответствующие стратегиям Х¢ и U¢, а остальные “вычеркиваются”. Всё то что “останется” после этого в матрице А и будет матрицей А¢.
Свойство 3. Пусть G = (Х,Y,А) – конечная антагонистическая игра, G¢ = (Х х¢,Y,А) – подыгра игры G, а х¢ – чистая стратегия игрока 1 в игре G, доминируемая некоторой стратегией
, спектр которой не содержит х¢. Тогда всякое решение (хо, yо, u) игры G¢ является решением игры G.
Свойство 4. Пусть G = (Х,Y,А) – конечная антагонистическая игра, G¢ = (Х,Y y¢,А) – подыгра игры G, а y¢ – чистая стратегия игрока 2 в игре G, доминируемая некоторой стратегией
, спектр которой не содержит y¢.Тогда всякое решение игры G¢ является решением G.
Свойство 5. Если для чистой стратегии х¢ игрока 1 выполнены условия свойства 3, а для чистой стратегии y¢ игрока 2 выполнены условия свойства 4, то всякое решение игры G¢ = (Х х¢,Y y¢,А) является решением игры G = (Х,Y,А).
Свойство 6. Тройка (хо, yо, u) является решением игры G = (Х,Y,А) тогда и только тогда, когда (хо, yо, кu +а) является решением игры G(Х,Y,кА+а), где а – любое вещественное число, к > 0.
Свойство 7. Для того, чтобы хо = (
) была оптимальной смешанной стратегией матричной игры с матрицей А и ценой игры u, необходимо и достаточно выполнение следующих неравенств
(j =
) 
Аналогично для игрока 2 : чтобы yо = (
, ...,
, ...,
) была оптимальной смешанной стратегией игрока 2 необходимо и достаточно выполнение следующих неравенств:
(i =
) 
Из последнего свойства вытекает: чтобы установить, является ли предполагаемые (х, y) и u решением матричной игры, достаточно проверить, удовлетворяют ли они неравенствам (*) и (**). С другой стороны, найдя неотрицательные решения неравенств (*) и (**) совместно со следующими уравнениями
,

получим решение матричной игры.
Таким образом, решение матричной игры сводится к нахождению неотрицательных параметров решений линейных неравенств (*) (**) и линейных уравнений (***). Однако это требует большого объёма вычислений, которое растёт с увеличением числа чистых стратегий игроков. (Например для матрицы 3
3 имеем систему из 6 неравенств и 2 уравнений). Поэтому в первую очередь следует, по возможности используя свойства 2 и 3, уменьшить число чистых стратегий игроков. Затем следует во всех случаях проверить выполнение неравенства


= 

.
Если оно выполняется, то игроки имеют чистые оптимальные стратегии (игрок 1 – чистую максиминная, а игрок 2 – чистую минимаксная). В противном случае хотя бы у одного игрока оптимальные стратегии будут смешанные. Для матричных игр небольшого размера эти решения можно найти, применяя свойства 1 – 5.
Замечание. Отметим, что исключение доминируемых (не строго) стратегий может привести к потере некоторых решений. Если же исключаются только строго доминируемые стратегии, то множество решений игры не изменится.
Пример 3. Пусть G = (Х,Y,А), где Х = {1, 2, 3, 4}; Y = {1, 2, 3, 4}, а функция выигрыша А задана следующим образом :

где С > 0.
Решение. Прежде всего заметим, что по свойству 6 достаточно решить игру G1 = (Х,Y,А), где А1 =
А . В матричной форме игра G1 определяется матрицей выигрышей

Элементы четвёртой строки этой матрицы “ £ ” соответствующих элементов третьей строки и поэтому третья стратегия игрока 1 доминирует над четвёртой. Кроме того, элементы первого столбца матрицы А1 “ ³ ” соответствующих элементов второго столбца, Следовательно, вторая стратегия игрока 2 доминирует над его первой стратегией.
Далее, из свойства 5 следует, что всякое решение игры G2 = (Х {4}, Y {1}, А1) является решением игры G1. В матричной форме игру G2 можно представить матрицей
.
Очевидно, что элементы второй строки “ ³” полусуммы соответствующих элементов первой и третьей строк. Кроме того, элементы третьего столбца матрицы А2 “ ³“ соответствующих элементов второго столбца. Применяя свойство 5 получим, что всякое решение игры G3 = (Х {4,2}, Y {1,4}, А2) является решением игры G2, а следовательно и игры G1. Игра G3 определяется матрицей
.
Матрица А3 не имеет седловой точки, т.к. не выполнено равенство


= 

,
а игра G3 не имеет решения в чистых стратегиях, т.е. оптимальные стратегии игроков являются смешанными. Эти стратегии (в данном случае) легко найти из анализа структуры матрицы А3. Поскольку матрица А3 симметрична, можно предположить, что игроки в оптимальной стратегии используют свои чистые стратегии с равными вероятностями.
Действительно, если игрок 1 выбирает с равными вероятностями стратегии 1 и 3, то при применении любой из двух чистых стратегий игроком 2 математическое ожидание выигрыша игрока 1 будет равным либо
,
либо
.
Аналогично, если игрок 2 использует свои чистые стратегии 2 и 3 с равными вероятностями, то математическое ожидание его проигрыша будет равно
. Следовательно, указанные стратегии являются оптимальными в игре G3, а величины
– значением игры G3. Из предыдущего следует, что эти стратегии оптимальны и в G1.
Таким образом, стратегия Х = (
, 0,
, 0) является оптимальной стратегией игрока 1, стратегия Y = (0,
,
, 0) – оптимальной стратегией игрока 2 в игре G1, а значение игры G1 равно
. В силу свойства 4 решением игры G будет тройка (Х,Y,
).
§ 4. ИГРЫ ПОРЯДКА 2 х 2.
В общем случае игра 2
2 определяется матрицей

Прежде всего необходимо проверить, есть ли у данной игры седловая точка. Если да, то игра имеет решение в чистых стратегиях, причём оптимальными стратегиями игроков 1 и 2 соответственно будут чистая максиминная и чистая минимаксная стратегии. Если же игра с матрицей выигрышей А не имеет чистых стратегий, то оба игрока имеют только такие оптимальные стратегии, которые используют все свои чистые стратегии с положительными вероятностями. В противном случае один из игроков (например 1) имеет чистую оптимальную стратегию, а другой – только смешанные. Не ограничивая общности, можно считать, что оптимальной стратегией игрока 1 является выбор с вероятностью 1 первой строки. Далее, по свойству 1 следует, что а11 = а12 = u и матрица имеет вид
.
Легко видеть, что для матриц такого вида одна из стратегий игрока 2 является доминируемой. Следовательно, по свойству 4 этот игрок имеет чистую стратегию, что противоречит предположению.
Пусть Х = (x, 1 - x) – оптимальная стратегия игрока 1. Так как игрок 2 имеет смешанную оптимальную стратегию, из свойства 1 получим, что (см. также свойство 7)

Отсюда следует, что при u ¹ 0 столбцы матрицы А не могут быть пропорциональны с коэффициентом пропорциональности, отличным от единицы. Если же коэффициент пропорциональности равен единице, то матрица А принимает вид

и игрок 1 имеет чистую оптимальную стратегию (он выбирает с вероятностью 1 ту из строк, элементы которой не меньше соответствующих элементов другой), что противоречит предположению. Следовательно, если u ¹ 0 и игроки имеют только смешанные оптимальные стратегии, то определитель матрицы А отличен от нуля. Из этого следует, что последняя система уравнений имеет единственное решение. Решая её, находим
;
.
Аналогичные рассуждения приводят нас к тому, что оптимальная стратегия игрока 2 Y = (h, 1 - h) удовлетворяет системе уравнений

откуда
.
§ 5. ГРАФИЧЕСКИЙ МЕТОД РЕШЕНИЯ ИГР 2 х n И m х 2.
Поясним метод на примерах.
Пример 1.
Рассмотрим игру, заданную платёжной матрицей.

На плоскости хОy введём систему координат и на оси Ох отложим отрезок единичной длины А1, А2, каждой точке которого поставим в соответствие некоторую смешанную стратегию игрока 1 (х, 1 - х). В частности, точке А1 (0;0) отвечает стратегия А1, точке А2 (1;0) – стратегия А2 и т.д.

В точках А1 и А2 восстановим перпендикуляр и на полученных прямых будем откладывать выигрыш игроков. На первом перпендикуляре (в данном случае он совпадает с осью 0y) отложим выигрыш игрока 1 при стратегии А1, а на втором – при стратегии А2. Если игрок 1 применит стратегию А1, то выиграет при стратегии В1 игрока 2 – 2, при стратегии В2 – 3, а при стратегии В3 – 11. Числам 2, 3, 11 на оси 0х соответствуют точки В1, В2 и В3.
Если же игрок 1 применит стратегию А2, то его выигрыш при стратегии В1 равен 7, при В2 – 5, а при В3 – 2. Эти числа определяют точки В¢1, В2¢, В3¢ на перпендикуляре, восстановленном в точке А2.Соединяя между собой точки В1 и В¢1, В2 и В¢2, В3 и В¢3 получим три прямые, расстояние до которых от оси 0х определяет средний выигрыш при любом сочетании соответствующих стратегий. Например, расстояние от любой точки отрезка В1В¢1 до оси 0х определяет средний выигрыш u1 при любом сочетании стратегий А1 А2 (с частотами х и 1–х) и стратегией В1 игрока 2. Это расстояние равно
2х1 + 6(1 - х2) = u1
(Вспомните планиметрию и рассмотрите трапецию А1 B1 B¢1 A2). Таким образом, ординаты точек, принадлежащих ломанной В1 M N В¢3 определяют минимальный выигрыш игрока 1 при применении им любых смешанных стратегий. Эта минимальная величина является максимальной в точке N; следовательно этой точке соответствует оптимальная стратегия Х* = (х, 1-х), а её ордината равна цене игры u. Координаты точки N находим как точку пересечения прямых В2 B¢2 и В3 B¢3.
Соответствующие два уравнения имеют вид
.
Следовательно Х = (
;
), при цене игры u =
. Таким образом мы можем найти оптимальную стратегию при помощи матрицы

Оптимальные стратегии для игрока 2 можно найти из системы

и, следовательно, Y = (0;
;
). (Из рисунка видно, что стратегия B1 не войдёт в оптимальную стратегию.
Пример 2. Найти решение игры, заданной матрицей


Решение. Матрица имеет размерность 2 х 4. Строим прямые, соответствующие стратегиям игрока 1. Ломанная А1 K А¢4 соответствует верхней границе выигрыша игрока 1, а отрезок N K –цене игры. Решение игры таково
U = (
;
); Х = (
; 0; 0;
); u =
.
§6. СВЕДЕНИЕ МАТРИЧНОЙ ИГРЫ К ЗАДАЧЕ
ЛИНЕЙНОГО ПРОГРАММИРОВАНИЯ
Предположим, что цена игры положительна (u > 0). Если это не так, то согласно свойству 6 всегда можно подобрать такое число с, прибавление которого ко всем элементам матрицы выигрышей даёт матрицу с положительными элементами, и следовательно, с положительным значением цены игры. При этом оптимальные смешанные стратегии обоих игроков не изменяются.
Итак, пусть дана матричная игра с матрицей А порядка m х n. Согласно свойству 7 оптимальные смешанные стратегии х = (х1, ..., хm), y = (y1, ..., yn) соответственно игроков 1 и 2 и цена игры u должны удовлетворять соотношениям.


Разделим все уравнения и неравенства в (1) и (2) на u (это можно сделать, т.к. по предположению u > 0) и введём обозначения :
,
,
Тогда (1) и (2) перепишется в виде :
,
,
,
,
,
,
,
.
Поскольку первый игрок стремится найти такие значения хi и, следовательно, pi , чтобы цена игры u была максимальной, то решение первой задачи сводится к нахождению таких неотрицательных значений pi
, при которых
,
. 
Поскольку второй игрок стремится найти такие значения yj и, следовательно, qj, чтобы цена игры u была наименьшей, то решение второй задачи сводится к нахождению таких неотрицательных значений qj,
, при которых
,
. 
Формулы (3) и (4) выражают двойственные друг другу задачи линейного программирования (ЛП).
Решив эти задачи, получим значения pi
, qj
и u.Тогда смешанные стратегии, т.е. xi и yj получаются по формулам :

Пример. Найти решение игры, определяемой матрицей.

Решение. При решении этой игры к каждому элементу матрицы А прибавим 1 и получим следующую матрицу

Составим теперь пару взаимно-двойственных задач :

Решим вторую из них

Из оптимальной симплекс-таблицы следует, что
(q1, q2, q3) = (0;
; 1),
а из соотношений двойственности следует, что
( p1, p2, p3) = (
; 1; 0).
Следовательно, цена игры с платёжной матрицей А1 равна
В лекции "Часть 53" также много полезной информации.
.
,
а игры с платёжной матрицей А :
.
При этом оптимальные стратегии игроков имеют вид:
Х = (х1, х2, х3) = (uр1; uр2; uр3) =
= 
Y = (y1, y2, y3) = (uq1; uq2; uq3) =
=
.























