Построение и реализация моделирующих алгоритмов Q-схем
Построение и реализация моделирующих алгоритмов Q-схем
Прежде чем использовать какой либо язык для моделирования Q-схемы, необходимо глубже вникнуть в суть процесса построения и реализации М.А.
Пример. Рассмотрим Q-схему (Рис. 8.4.):

Рис. 8.4. Трехфазная Q-схема.
Примем обозначения:
Р - вероятность потери заявки (Р=N1/(N1+N3));
tm - время появления очередной заявки из источника;
tk,j - время окончания обслуживания заявки каналом Кк,j, k=1,2,3…; j=1,2…;
Рекомендуемые материалы
zi, zk,j - состояния накопителей и каналов обслуживания;
tn - текущее время моделирования;
Li - ёмкость i-ого накопителя;
Lkm - число каналов в к-ой фазе;
N1, N2 - число выходных заявок;
Т - интервал моделирования;
При имитации Q-схемы на ЭВМ требуется организовать массив состояний:
zk,j, tk,j, j=1, Lkm; zi - число заявок в накопителе Hi; i=1,2; ti - i-ая заявка из источника.
zk,j = {1- канал занят; 0 - канал свободен; 2 - заблокирован};
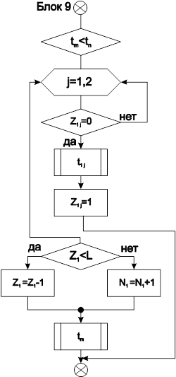
Укрупнённая схема детерминированного МА Q-схемы, построенного по "принципу Dt" представлена на рисунке 8.5.
"1.1 Источники бесперебойного питания" - тут тоже много полезного для Вас.

Рис. 8.5. Блок схема моделирования Q-схемы по принципу "Dt".
А далее более подробно рассмотрены алгоритмы блоков 4-9.

























