Дискриминация на рынках рабочей силы
47. Дискриминация на рынках рабочей силы.
Дискриминация на рынках рабочей силы - практика найма, которая приводит к различию заработной платы у одинаково производительных работников. При наличии дискриминации заработная плата определенных групп работников становится ниже, чем у остальных групп, выполняющих ту же работу с той же квалификацией. Предпринимателей нередко обвиняют в дискриминации по расовым признакам, полу, возрасту, физическим недостаткам, религиозным предпочтениям или этническому происхождению.
Дискриминация оказывает влияние на функционирование рынков рабочей силы. Она порождает различия в уровнях равновесных заработных плат, которые не выступают результатом разных в этих группах доходов от предельного продукта их труда и предельных издержек на оплату труда самих работников. Дискриминация не признает равенства возможностей для отдельных групп работников найти себе работу.

График а представляет кривые спроса и предложения на рабочую силу в предпочтительной группе рабочих.
Кривая спроса - это кривая предельной доходности ресурса. График б представляет кривые спроса и предложения на рабочую силу в дискриминируемых группах. Здесь кривая спроса смещена влево относительно кривой предельной доходности ресурса. Если не существует законодательных актов, устанавливающих равную оплату для всех групп рабочих, оплата дискриминируемого меньшинства понизится до уровня ниже уровня оплаты привилегированного большинства. Если же законом установлено равенство оплаты труда, возникает угроза, что лишь незначительная доля рабочих из дискриминируемой группы будет занята. Значительная доля рабочих из этой группы будет искать работу в менее привлекательной части рынка труда либо останется без работы. Таким образом, как при наличии соответствующих законодательных актов, так и при их отсутствии одна группа рабочих будет чувствовать на себе дискриминацию.
Обратимся к проблеме отношения работодателей к дискриминации рабочей силы. Можно допустить, что собственники фирм выигрывают от дискриминации, поскольку могут снизить заработную плату рабочим дискриминируемой группы. Однако западные экономисты исходят из того, что дискриминация несовместима с максимизацией прибыли конкурирующими фирмами. Когда какая-то группа рабочих подвергается дискриминации, им платят заработную плату, меньшую, чем доход от предельного продукта их труда. Если рынок конкурентен, любая фирма может нанять рабочих в любом количестве, не влияя на уровень заработной платы. До того времени, пока заработная плата дискриминируемых рабочих ниже дохода от предельного продукта их труда, фирма будет выигрывать, нанимая больше рабочих этой группы. Фирмы, нанимающие рабочих привилегированной группы, также могут увеличить свою прибыль, заменяя рабочих привилегированной группы рабочими дискриминируемой группы, ибо рабочим первой группы надо отдавать больше дохода от предельного продукта их труда и их заработная плата была бы больше равновесной. В результате конкурирующие фирмы на рынке труда повышали бы заработную плату дискриминируемым группам и снижали бы заработную плату рабочим привилегированной группы до тех пор, пока разница в заработной плате обеих групп рабочих не стала бы одинаковой. В результате этого процесса одни фирмы наняли бы только дискриминируемых рабочих, другие - только привилегированных рабочих. Но конкурентная борьба между нанимателями за квалифицированных работников приведет к равной заработной плате обеих групп.
Существует так называемая статистическая дискриминация, когда предприниматели несправедливо приписывают конкретному индивиду определенной группы черты, которые статистически можно распространить на всю группу в целом, но они не соответствуют данному конкретному представителю группы.
Люди также интересуются этой лекцией: 12 I Поколение прав человека, история появления, характеристика.
Выделяют так называемую сегрегацию по профессиональным мотивам, которая более тесно связана с принадлежностью к определенному полу, чем с расовыми и национальными признаками. Так, водители грузовиков могут быть и белыми, и черными, как и машинистки. Однако водители грузовиков независимо от цвета кожи чаще всего мужчины, а машинистки - женщины.
Общепринятым измерителем сегрегации по профессиональной принадлежности является индекс различий Дункана - коэффициент, определяющий процентный состав мужчин или женщин, которые должны сменить род занятий, чтобы уравнять число мужчин и женщин в каждой группе, выделенной по профессиональному признаку.
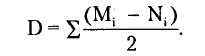
Предположим, что совокупная рабочая сила состоит из 100 мужчин и 100 женщин. Среди женщин 75 человек - секретари-машинистки, а 25 - водители грузовиков; а среди мужчин 25 - секретарей-машинисток и 75 - водителей. Коэффициент Дункана будет равен 50. Математический коэффициент Дункана исчисляется посредством суммирования по всем профессиям абсолютных величин процентных различий двух групп, занятых в каждой профессии, и делением этой суммы пополам. Если Мi - это процентный состав одной группы в профессии i, a Ni - процентный состав другой группы в профессии i, тогда коэффициент D определяется формулой:

В 1980 г. индекс Дункана, определявший наличие сегрегации по полу занятых в экономике США, составлял 57. Это означает, что более половины всех мужчин (женщин) должны сменить свои профессии, чтобы уравнять соотношение мужчин и женщин в каждой профессии. Коэффициент Дункана по расовым признакам в этот период составлял 33 для мужчин и 28 для женщин.
Различия в оплате труда, обусловленные профессиональной принадлежностью, существенно сказываются на различии доходов мужчин и женщин.






















