Биполярный транзистор
БИПОЛЯРНЫЕ ТРАНЗИСТОРЫ
1. ОБЩИЕ СВЕДЕНИЯ О БИПОЛЯРНЫХ ТРАНЗИСТОРАХ
Устройство и принцип действия транзистора
Биполярным транзистором называют трехэлектродный полупроводниковый прибор, имеющий два взаимодействующих электронно-дырочных перехода (рис. 3.1). В транзисторе чередуются по типу электропроводности три области полупроводника. В зависимости от порядка чередования областей различают транзисторы типов р-n-р и n-р-n; принцип действия их одинаков.
Одну из крайних областей транзисторной структуры легируют сильнее; ее используют обычно в режиме инжекции и называют эмиттером. Промежуточную область называют базой, а другую крайнюю область – коллектором. Основным назначением коллектора является экстракция носителей заряда из базовой области, поэтому размеры у него больше, чем у эмиттера. Электронно-дырочный переход между эмиттером и базой называют эмиттерным, а между коллектором и базой — коллекторным. Показанные на рис. 3.1 жирными линиями электроды создают омический контакт эмиттерной, базовой и коллекторной областей с соответствующими
Рис.3.1. выводами.
На эмиттер для обеспечения режима инжекции подается прямое напряжение (Eэб> 0) на коллектор, работающий в режиме экстракции, – обратное напряжение EКБ. Общая точка эмиттерной и коллекторной цепей соединена с базовым электродом. Такое включение транзистора носит название схемы с общей базой. Способы включения с общим эмиттером и с общим коллектором будут рассмотрены далее.
Толщина базы w в транзисторе значительно меньше диффузионной длины дырок, благодаря этому основная часть дырок, инжектируемых эмиттером, пролетает сквозь базу до коллекторного перехода. Здесь дырки увлекаются полем коллекторного перехода, включенного в обратном направлении, и создают в его цепи ток, величина которого пропорциональна эмиттерному току Iэ:
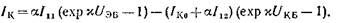
Iк = аIэ.
Коэффициент пропорциональности а называется коэффициентом передачи тока эмиттера. При достаточно тонкой базе, когда потери дырок за счет рекомбинации их в базе малы, коэффициент передачи тока может доходить до 0,99 и более.
Рекомендуемые материалы
Кроме того, в цепи коллектора протекает собственный обратный ток коллекторного перехода, имеющий небольшую величину. Его обозначают Iкбо. Индекс К указывает, что это собственный обратный ток коллекторного перехода, индекс Б означает, что транзистор включен по схеме с общей базой, индекс 0 указывает, что ток измеряется при разомкнутой цепи эмиттера (обрыв) *.
1
Как и в полупроводниковом диоде, собственный обратный ток коллекторного перехода имеет три составляющие: ток экстракции IКо, термоток перехода IКт и ток поверхностной проводимости перехода IКу:
IКБО = IКО + IКт + IКу.
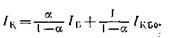
Полный ток коллектора
Iк = аIэ + Iкбо. (3.1)
Транзистор представляет собой управляемый прибор, его коллекторный ток зависит от тока эмиттера. Изменение тока коллектора при изменении эмиттерного тока происходит с очень малой инерцией, если база достаточно тонкая. Это позволяет использовать транзистор не только на низких, но и на высоких частотах.
Поскольку напряжение в цепи коллектора, включенного в обратном направлении, может быть значительно больше, чем в цепи эмиттера, включенного в прямом направлении, а токи в этих цепях практически равны, мощность, создаваемая переменной составляющей коллекторного тока в нагрузке R, может быть значительно больше мощности, затрачиваемой на управление током в цепи эмиттера, т. е. транзистор обладает усилительным эффектом. Эти качества в сочетании с малыми габаритами, высокой надежностью, долговечностью и экономичностью обусловили широкое применение транзисторов в современной электронной технике.
Технологические типы биполярных транзисторов
Сплавные транзисторы. В тщательно отшлифованную пластинку легированного сурьмой монокристалла германия, имеющую обычно размер
0,1X2, 7X2,7 мм, в атмосфере водорода при температуре 500 – 560°С с двух сторон вплавляют индий. Процесс вплавления продолжается до тех пор, пока расстояние между образующимися р-областями станет достаточно малым (50— 60 мкм). В результате создается трехслойная структура с двумя близко расположенными электронно-дырочными переходами (рис. 3.2). Затем германиевую пластинку укрепляют на металлическом кристаллодержателе, помещают в герметичный металлический корпус (рис. 3.3). Выводы эмиттера и коллектора пропускают сквозь стеклянные изоляторы, закрепленные в корпусе, вывод базы соединяют непосредственно с корпусом.
Транзисторы этого типа имеют сравнительно большое тепловое сопротивление (до 300°С/Вт), так как отвод тепла от коллекторного перехода у них происходит вдоль тонкой германиевой пластинки базы, имеющей малую теплопроводность. Поэтому предельная мощность рассеяния таких транзисторов не превышает 250 мВт.
На рис. 3.4 показана конструкция транзистора, имеющего большую мощность рассеяния. Здесь осуществлен непосредственный тепловой контакт с корпусом прибора, для чего индиевый коллектор припаивают к дну корпуса прибора. При этом тепловое сопротивление между корпусом и прибором снижается до 0,5–1°С/Вт, что позволяет рассеивать на коллекторе мощность до 100–150 Вт и более.
2


Рис.3.2
Германиевая пластинка
Германий металлический
Рис. 3.3
Для мощных транзисторов исключительно важное значение имеет получение минимального теплового сопротивления между корпусом транзистора и теплоотводом. С этой целью применяют прокладки из индиевой фольги и специальные пасты. Если коллектор транзистора имеет потенциал относительно шасси устройства, то между шасси и корпусом прибора прокладывают электрическую изоляцию, имеющую низкое тепловое сопротивление: слой окиси бериллия или тонкий лист слюды.
Благодаря относительной простоте сплавная технология получила широкое применение при изготовлении транзисторов. Рис. 3.4
Однако при этом возникают затруднения в получении достаточно однородных переходов большой площади. Поэтому в настоящее время перешли к белее совершенной диффузионной технологии.
Диффузионный метод изготовления транзисторных структур.
Легирующие примеси вводят в полупроводник из парообразной или жидкой фазы путем диффузии, т. с. направленного переноса частиц примеси, вызываемого их тепловым движением и градиентом концентрации. Например, если запаянную ампулу, в которой находятся пластинки чистого германия и сурьма, нагреть до температуры 750—850°С, то атомы испарившейся сурьмы будут интенсивно внедряться в германии, в результате поверхностный слой германия приобретет повышенную концентрацию донорной примеси — сурьмы.
Если концентрация примеси у поверхности полупроводника постоянна, то в результате диффузии частиц в глубь полупроводника в нем создается следующее распределение примеси:
(3.2)
3
где D — коэффициент диффузии примеси; t— время диффузии; N0 — концентрация примеси у поверхности полупроводника.
Из графика этой зависимости (рис. 3.5) видно, что глубина проникновения примеси в полупроводник зависит от продолжительности процесса диффузии. Время, необходимое для создания легированного слоя достаточной толщины, измеряется десятками минут и даже часами. Это позволяет контролировать диффузионный процесс и точно управлять им, вследствие чего оказывается возможным получение очень тонких базовых слоев (менее 1 мкм).


Рис. 3.5 Рис. 3.6
Скорость диффузии зависит от вида диффундирующей примеси. В частности, для донорных примесей в германии она выше, чем для акцепторных примесей. В кремнии, наоборот, акцепторные примеси диффундируют быстрее, чем донорные. Это дает возможность, осуществляя одновременно диффузию нескольких примесей, получать в толще полупроводника многослойные структуры с переходами (рис. 3.6).
При изготовлении транзисторов диффузионным методом концентрация примеси в базе получается более высокой у эмиттера, что снижает омическое сопротивление базы гб, и более низкой у коллекторного перехода, что уменьшает его емкость; одновременно повышается пробивное напряжение коллектора.
Первые транзисторы, изготовленные диффузионным методом, появились в 1956 г. С тех пор разработан ряд методов их изготовления, наиболее распространены в настоящее время пленарный и планарно-эпитаксиальный методы.
Планарные и планарно-эпитаксиальные транзисторы.
Отшлифованную пластинку монокристаллического легированного фосфором кремния, имеющую распределение концентрации примесей n+-n
(рис. 3.7,a), после химической очистки и промывки помещают в атмосферу влажного кислорода, где она при высокой температуре покрывается тонкой и плотной пленкой двуокиси кремния SiO2, эффективно защищающей поверхность кремния от воздействия внешней среды и проникновения примесей (рис. 3.7, б). Затем в пленке окисла методом фотолитографии вытравливают окна (рис. 3.7, в) и пластинку подвергают воздействию паров борной кислоты. Бор диффундирует в кремний в каждом окне на глубину в несколько микрометров, создавая слой с электропроводностью р–типа – базу будущей транзисторной структуры. Наружная поверхность р-слоя при этом вновь покрывается защитной пленкой двуокиси кремния. так же как и выход образовавшегося на границе р- и n-областей р-n-перехода (на рисунке не показано). Далее в пленке окисла
4
методом фотолитографии вновь создают окна несколько меньшего размера и в атмосфере пятиокиси фосфора производят диффузию донорной примеси.


Рис. 3.7
В результате образуются эмиттерная область с электропроводностью n+ -типа и эмиттерный переход (рис. 3.7, г), который при этом также покрывается снаружи защитной пленкой окисла (на рисунке не показано). Остается вскрыть окна для алюминиевых электродов базы и эмиттера, нанести эти электроды (рис. 3.7,д) и транзисторные структуры готовы. После резки пластинки на отдельные элементы, содержащие по одной транзисторной структуре, каждый элемент, называемый кристаллом, впаивают коллектором на дно ножки стандартного корпуса, эмиттерный и базовый контакты присоединяют тонкими проводниками к соответствующим траверсам ножки. Собранную ножку в осушенной атмосфере закрывают металлическим колпачком и герметизируют (рис. 3.8). Выпускаются также бескорпусные транзисторы, у которых климатическая защита осуществляется с Рис. 4.8
помощью тонкой пленки силикатного стекла.
Планарные транзисторы имеют переменную концентрацию примесей в базе, уменьшающуюся в сторону коллектора, что снижает, как указывалось, сопротивление базы и емкость коллектора. Градиент примеси имеется и в эмиттере, что уменьшает его емкость и распределенное сопротивление эмиттера, а также повышает пробивное напряжение эмиттерного перехода.
В пленарных транзисторах применяют двухслойный коллектор n+-n-типа (см. рис. 3.7) с целью снижения сопротивления тела коллектора гк при сохранении небольшой емкости коллектора С высокого пробивного напряжения коллекторного перехода. Сильно легированная область n+ обеспечивает получение низкого сопротивления тела коллектора, а тонкий высокоомный слой n позволяет снизить емкость коллекторного перехода и повысить его пробивное напряжение.
5
Эффективным способом создания высокоомного слоя коллектора является наращивание на поверхности низкоомной подложки тонкой пленки, имеющей точно такую же монокристаллическую структуру, как подложка, и являющейся как бы ее естественным продолжением. Наращивание таких пленок, называемых эпитаксиальными, осуществляют путем осаждения атомов полупроводника из газовой фазы на чистую однородную монокристаллическую подложку из того же материала. Обычно для этой цели используют реакцию термического разложения четыреххлористого кремния в атмосфере водорода, протекающую при высокой температуре порядка 1100°С:
SiCl4 + 2H2 = 4HCl + Si ↓
Кремний, выделяющийся в результате реакции, осаждается на подложке, образуя на ней эпитаксиальный слой.
Эпитаксиальная технология, обеспечивающая более точный контроль толщины высокоомного слоя, позволяет существенно улучшить параметры приборов. Планарно-эпитаксиальные транзисторы отличаются низким сопротивлением тела коллектора гк, малой емкостью коллектора Скб и большим пробивным напряжением.
Тщательная защита коллекторного перехода от внешних воздействий пленкой окисла обеспечивает почти полное отсутствие поверхностных токов утечки. В этих условиях обратный ток коллекторного перехода определяется только термогенерацией носителей заряда в объеме полупроводника и величина его оказывается исключительно малой, составляя тысячные доли микроампера. Этим пленарный и планарно-эпитакснальный транзисторы выгодно отличаются от других типов транзисторов, так же как малым разбросом и стабильностью параметров.
2. РАСПРЕДЕЛЕНИЕ ПОТЕНЦИАЛА, КОНЦЕНТРАЦИЯ ЗАРЯДОВ И ТОКИ В БИПОЛЯРНОМ ТРАНЗИСТОРЕ
Распределение потенциала
Будем рассматривать одномерную модель, т. е. транзистор, имеющий плоскопараллельные электроды большой протяженности, когда краевыми эффектами можно пренебречь. Концентрацию примесей в базе, эмиттере и коллекторе будем считать постоянной, что типично для сплавных транзисторов.
Ввиду того, что концентрация примесей в эмиттерной, базовой и коллекторной областях транзистора велика, можно пренебречь сопротивлением этих областей по сравнению с сопротивлением эмиттерного и коллекторного переходов и считать, что напряжения, приложенные к транзистору, действуют непосредственно на переходах, а в стальных областях поле отсутствует. Распределение потенциала в транзисторе при этом будет иметь вид, показанный на рис. 3.9. Рассматривается случай, когда к эмиттеру приложено прямое напряжение UЭБ, а к
Рис. 3.9 коллектору – обратное UКБ. Потенциал базы принят равным нулю.
6
Концентрация носителей заряда в базе
Концентрация неосновных носителей заряда. Распределение неосновных носителей заряда в базе транзистора определяется с помощью уравнения непрерывности (2.24):

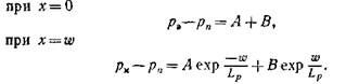
Начало координат выберем на границе базы с эмиттерным переходом (см. рис. 3.9), тогда граничные условия задачи можно записать так:
при х = 0
р = рэ = РnехрχUЭБ, (3.3)
при x = ωχ
p = pк = pnехрχ UКБ. (3.4)
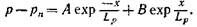
Общее решение уравнения имеет вид
(3.5)
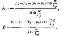
Постоянные интегрирования А и В найдем, подставив граничные условия в выражение (3.5):

Решив эту систему уравнений относительно A и В и использовав тождество ехр х–ехр(–x)=2sh х, найдем:

Подставив найденные значения А и В в уравнение (3.5), получим выражение для концентрации носителей заряда в базе транзистора:

Отсюда градиент концентрации носителей заряда

Здесь использовано соотношение shω/Lp при ω<<Lр, что имеет место в транзисторе.
Выражение (3.7) можно упростить, поскольку в заданных пределах изменения от 0 до ω величина ω – x<<Lp, х<< Lp и, следовательно,

Использовав эти приближенные соотношения,
получим
(3.8)
или
7
(3.9)
Из выражений (3.8), (3.9) следует, что градиент концентрации неравновесных носителей заряда в базе транзистора можно считать постоянным, а концентрацию носителей заряда в базе — изменяющейся по линейному закону. Это показано на рис. 3.10, а, где пунктирная горизонтальная линия отмечает равновесное значение концентрации дырок в базе рn. Чем выше прямое напряжение эмиттера UЭБ, тем согласно выражению (3.3) больше концентрация дырок в базе у эмиттерного перехода:
pэ = РnехрχUЭБ,
тем больше градиент концентрации дырок в базе (кривые 1, 2, 3).
Влияние коллекторного напряжения на градиент концентрации дырок в базе показано на рис. 3.10,б. С ростом обратного напряжения коллектора UКБ концентрация дырок в базе у коллекторного перехода в соответствии с выражением (3.4) уменьшается:
pк = pnехр(– χ UКБ).
Однако, как видно из приведенного соотношения, абсолютное уменьшение концентрации дырок в данном случае невелико, так как экспоненциальный член при больших отрицательных напряжениях мал. Поэтому обратное напряжение коллектора влияет на градиент концентрации дырок в базе, а следовательно, и на ток эмиттера значительно слабее, чем прямое напряжение эмиттера.
Если же на коллектор подать прямое напряжение, то возникает инжекция носителей заряда из коллектора в базу, концентрация дырок в базе значительно возрастает, а градиент концентрации уменьшается (кривая 3). В этом режиме влияние коллекторного напряжения на градиент концентрации дырок в базе и ток эмиттера такое же, как и влияние эмиттерного напряжения.
При изменении напряжения коллектора наблюдается изменение толщины базы за счет изменения толщины коллекторного перехода (эффект Эрли). Это также приводит к изменению градиента концентрации дырок в базе, но в сравнительно небольшой степени, так как изменение толщины базы обычно относительно невелико.
На рис. 3.10, в показано распределение неосновных носителей заряда в базе при обратном напряжении эмиттера и прямом напряжении коллектора (инверсное включение транзистора). В этом случае (кривая 1) концентрация уменьшается
Pис. 3.10
8
от коллектора к эмиттеру и градиент ее существенно зависит от напряжения коллектора вплоть до Uкб – =0 (кривая 2). Распределение носителей заряда в базе закрытого транзистора характеризуется кривой 3.
Концентрация основных носителей заряда. Отметим прежде всего, что инжекция дырок из эмиттера в базу обязательно сопровождается одновременным поступлением в базу из внешней цепи через ее вывод такого количества электронов, которое обеспечивает сохранение электрической нейтральности
всего объема базы. При этом распределение электронов в базе должно быть, очевидно, таким же, как и распределение дырок (рис. 3.11), так как только при этом условии каждая микрообласть базы будет оставаться электрически нейтральной, т. е. в любом не очень малом элементе ее объема суммарный заряд электронов, дырок и доноров будет равен нулю. Однако такое неравномерное распределение может быть стационарным лишь при наличии в базе электрического поля Е, уравновешивающего действие диффузионных сил, стремящихся выровнять концентрацию.
Рис. 3.11
Такое компенсирующее поле Е создается в базе за счет незначительного взаимного смещения распределенных в пространстве электронного и дырочного зарядов.
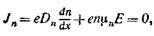
Величину этого внутреннего поля базы Е можно найти исходя из того, что электронная составляющая тока эмиттера в транзисторе пренебрежимо мала по сравнению с дырочной. Положив ее равной нулю, получим

откуда
(3.10)
Из условия электрической нейтральности в любой микрообласти базы избыточная концентрация электронов должна равняться избыточной концентрации дырок:
n– nn = р – рn. (3.11)
Отсюда градиент концентрации электронов
dn/dх = dр/dх, (3.12)
а концентрация электронов при р>>рn
n = nn + p – pn = nn+ р (3.13)
Напряженность внутреннего поля базы, уравновешивающего неравномерное распределение электронов,
(3.14)
Внутреннее поле базы является ускоряющим для дырок, движущихся к коллектору, и, следовательно, дырочный ток в базе имеет не только диффузионную, но и дрейфовую составляющую:
9

Использовав соотношение (3.10), найдем
(3.15) (3.16)
При небольших уровнях инжекции (р < 0,1 nn) влиянием внутреннего поля на дырочный ток в базе транзистора, как видно из этого соотношения, можно пренебречь. При более высоких уровнях инжекции влияние внутреннего поля базы на дырочный ток становится заметным, а при (р > nn,) эффективный коэффициент диффузии
(3.17)
стремится к 2DР.
Особенности транзисторов с переменной концентрацией примеси в базе
Электрическое поле в базе. Закон распределения примесей в базе транзистора (4.2) можно аппроксимировать экспоненциальной зависимостью
N = Nэехр ах. (3.18)
Значение постоянной а в показателе экспоненты удобно выразить через концентрацию примеси в базе у коллекторного перехода: N = Nк при х = w. Подставив эти величины, найдем, что
а = 1/w ln Nэ /Nк (3.19)
Для определения величины электрического поля в базе воспользуемся тем обстоятельством, что в состоянии равновесия диффузионный и дрейфовый ток в базе должны быть равны:
еDndn/dx + еn E =.0. (3.20)
При условии, что концентрация основных носителей заряда равна концентрации доноров:
n = N и dn/dx = aN, (3.21)
найдем, что напряженность электрического поля в базе дрейфового транзистора
(3.22)
Из этого выражения видно, что электрическое поле постоянно по всей базе и величина его зависит только от толщины базы w и концентрации примесей у эмиттера Nэ и коллектора Nк.
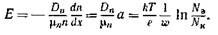
Пример 4.1. Толщина базы w = 2 мкм, концентрация примеси у эмиттера NЭ = 21017 см-3, концентрация примеси у коллектора Nк = 21015 см–3. Тогда при температуре 300 К внутреннее поле в базе транзистора будет иметь напряженность, согласно соотношению (4.22)
Е = 26 10–3 1/(2 10–4) ln 2 1017/2 1015 = 600 В/см. (3.23)
Разность потенциалов между коллекторным и эмиттeрным переходами, обусловленная этим полем и ускоряющая движение дырок к коллектору, ∆φ = Еw = 600·210–4 = 0,12 В.
10
Неравновесный заряд базы. Внутреннее поле оказывает влияние на движение дырок в базе. Дырочный ток базы в этом случае будет иметь не только диффузионную, но и дрейфовую составляющую:

Поэтому транзисторы с переменной концентрацией примеси в базе часто называют дрейфовыми.
Исходя из данного выражения для дырочного тока базы можно найти распределение плотности носителей заряда в базе дрейфового транзистора. Пренебрегая рекомбинацией носителей заряда, будем считать, что Jр(x) = const. Тогда, дифференцируя по координате, получим
(3.24)
Решение этого уравнения имеет вид
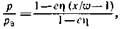
(3.25)
где η = ln(Nэ/Nк) = ∆φ/φT – коэффициент поля, определяющий соотношение
между разностью потенциалов в базе ∆φ = Еw, создаваемой градиентом концентрации примеси, и температурным потенциалом φT = кТ/е
(коэффициент поля в дрейфовых транзисторах практически имеет величину от 3 до 8).
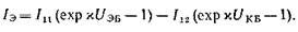
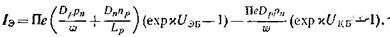
Ток эмиттера
Уравнение тока эмиттера. Ток эмиттера имеет дырочную и электронную составляющие: Iэ = Iэр + Iэn Дырочная составляющая тока эмиттера определяется градиентом концентрации носителей заряда в базе у эмиттерного перехода, т. е. при x = 0
Использовав соотношение (3.7), получим
(3.26)
С учетом выражении (3.3) и (3.4) найдем
(3.27)
Электронная составляющая тока эмиттера определяется градиентом концентрации электронов в эмиттере у эмиттерного перехода:

Здесь х = – бэ – координата границы эмиттерного перехода со стороны эмиттера, а 6э – толщина эмиттерного перехода (см. рис. 3.9).
Обычно толщина эмиттера значительно больше диффузионной длины электронов Ln. В этом случае градиент концентрации электронов в эмиттере и электронная составляющая тока эмиттера определяются соотношением, аналогичным (2.52):
11

где nэ = nрехр χUэб. и (2.55) для уединенного перехода:
(3.28)
Ток эмиттера, представляющий сумму дырочной (3.27) и электронной (4.28) составляющих, равен при w << Lр
(3.29)
Введя обозначения
(3.30)
получим окончательное выражение для тока эмиттера'.
(3.31)
Величина I11 представляет собой ток экстракции эмиттера при нулевом напряжении коллектора (кривая 2 на рис. 3.10, в), а величина I12 — ток инжекции эмиттера при Uэб = 0, вызванный обратным коллекторным напряжением, которое, как видно из рис. 3.10, а (кривая 'I), создает градиент концентрации носителей заряда у эмиттерного перехода, чем и обусловливается появление тока I12.
Соотношения (3.30) показывают, что токи I11 и I12 имеют небольшую величину (такого же порядка, как ток экстракции I0 уединенного электронно-дырочного перехода).
Коэффициент инжекции. Из принципа действия транзистора вытекает, что полезным для его работы является лишь дырочный ток эмиттера, так как именно он вызывает появление управляемого тока в цепи коллектора (рассматривается транзистор типа р-п-р). Электронная составляющая тока эмиттера непосредственного влияния на ток коллектора не оказывает. В связи с этим качество эмиттера характеризуют параметром
γ = Iэp/Iэ, (3.32)
который называется коэффициентом инжекции эмиттера. С помощью выражений (3.27) и (3.28) найдем, что при Uкб= 0 коэффициент инжекции эмиттера
(3.33)
Эмиттер, очевидно, тем лучше, чем ближе коэффициент инжекции к единице. Для этого требуется, чтобы второе слагаемое в знаменателе было возможно меньше единицы. Отношение Dn/Dр= 2 ~ 3, величина w/Ln<< 1, следует иметь малым и отношение np/рn, т. е. концентрация неосновных носителей заряда в эмиттере np должна быть значительно меньше, чем концентрация неосновных носителей заряда в базе рn. Для этого эмиттер необходимо легировать более сильно, чем базу, что и делается практически. Обычно коэффициент инжекции эмиттера можно считать равным единице, но при значительном росте тока эмиттера он снижается.
12
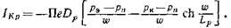
Ток коллектора
Управляемый ток коллектора. Ток коллектора также имеет дырочную и электронную составляющие. Дырочный ток коллектора определяется градиентом концентрации дырок в базе у коллекторного перехода, т. е. при х = w
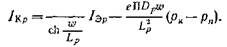
IKр = – ПеDрdp/dx|x=w . (3.34)
Использовав выражение для градиента концентрации носителей заряда (3.7), получим
(3.35)
Подставив выражение (3.26) в (3.35), найдем
(3.36)
Первый член в выражении (3.36) представляет собой ток коллектора I´кр, обусловленный дырочным током инжекции эмиттера IЭр. Множитель
ν = 1/(chω/Lp) (3.37)
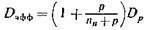
определяет долю дырочного тока инжекции эмиттера, которая достигает коллекторного перехода, и называется коэффициентом переноса. При тонкой базе (w << Lp) потери на рекомбинацию носителей заряда в базе малы, коэффициент переноса близок к единице.
Поскольку дырочный ток эмиттера IЭp = γIэ. ток коллектора, обусловленный инжекцией эмиттера,
(3.38)
Этот ток I´кр за счет процесса лавинного умножения дырок в коллекторном переходе может создать превышающую его по величине управляемую составляющую коллекторного тока:
(3.39)
где М – коэффициент лавинного умножения в р-n-переходе, определяемый выражением (3.15).
Величина

представляет собой упоминавшийся в 3.1 коэффициент передачи тока эмиттера. Если коэффициент инжекции эмиттера γ »1 и база транзистора тонкая
(w << Lр), то коэффициент передачи тока эмиттера может быть очень близок к единице, а при большом обратном напряжении коллектора, если M >1, коэффициент передачи тока эмиттера а>1.
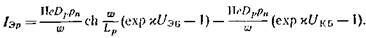
Собственный ток коллекторного перехода. Перейдем к рассмотрению второго члена в уравнении (3.36). Он не зависит от тока эмиттера и представляет собой собственный (неуправляемый) дырочный ток коллекторного перехода I”Kр, обусловленный приложенным к коллектору напряжением UКБ:
13

Электронную составляющую коллекторного тока найдем так же, как для уединенного перехода, аналогично выражению (3.28):
(3.42)
Таким образом, собственный ток коллекторного перехода состоит из дырочной (3.41) и электронной (3.42) составляющих:
где
(3.43)

представляет собой ток экстракции коллекторного перехода при разомкнутой цепи эмиттера, иначе говоря, при токе эмиттера, равном нулю. Сравнивая это выражение с (2.58), найдем, что ток IKо имеет такой же порядок величины, что и ток экстракции I0 уединенного электронно-дырочного перехода.
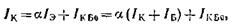
Уравнение тока коллектора. Ток коллектора равен сумме составляющих – управляемого тока Iк, возбужденного инжекцией эмиттера, и собственного (неуправляемого) тока Iк, обусловленного коллекторным напряжением:
(3.45)
В рабочем режиме, когда на коллектор подано большое обратное напряжение, так что ехрUКБ<< 1, следует учесть термоток перехода IКт и ток поверхностной проводимости перехода UКу, которое, суммируясь с током экстракции Iкo образуют обратный ток коллекторного перехода:
IКБо = Iко + IKт + Iку (3.46)
Тогда получим
Iк = αIэ + IКБо. (3.46.а)
Подставив в (3.45) выражение для тока эмиттера (3.31), получим зависимость тока коллектора от напряжений UКБ и UЭБ:

Обозначив
I21 = аI11 и I22 = IК0 + aI12 » (3.47)
окончательно получим
(3.48)
Величина I21 представляет собой ток инжекции коллектора при напряжении коллектора, равном нулю (кривая 2 на рис. 4.10, в), а величина I22 – ток коллектора при напряжении эмиттера, равном нулю, и обратном напряжении коллектора (кривая I на рис. 4.10, а); ток I22 больше тока экстракции коллекторного перехода Iко за счет составляющей аI12, обусловленной инжекцией эмиттера.
Ток базы
В соответствии с первым законом Кирхгофа для электрической цепи ток базы можно найти как разность токов эмиттера и коллектора:
Iб = Iэ – Iк. (3.49)
14
Использовав соотношение (3.4б.а), получим
IБ = (1– α)Iэ –IКБо. (3.50)
Ток базы имеет две составляющие (см. рис. 4.1). Одна из них, ранная
(1 – a)Iэ, обусловлена рекомбинацией носителей заряда в бaзе транзистора и в небольшой мере электронным током эмиттера. Другая составляющая представляет собой собственный обратный ток коллекторного перехода Iкбо- При обратном напряжении коллектора они имеют противоположное направление и при определенных условиях могут взаимно компенсироваться. Как следует из выражения (3.51)), ток базы равен нулю, если ток эмиттера
Iэ = (IКБо)/(1– α).
3. СТАТИЧЕСКИЕ ХАРАКТЕРИСТИКИ БИПОЛЯРНОГО ТРАНЗИСТОРА
Схема с общей базой
В транзисторах в качестве одной из независимых переменных обычно выбирают ток эмиттера, легче поддающийся регулированию, чем напряжение. Из характеристик наибольшее распространение получили входные и выходные характеристики транзистора.
Входные характеристики.
Входные характеристики транзисторов в схеме с общей базой Iэ = f(UЭБ) при UKБ = соnst определяются зависимостью (3.31):

При большом обратном напряжении коллектора (ехр UКБ<<1) ток мало зависит от коллекторного напряжения. На рис. 3.13, а показаны реальные входные характеристики германиевого транзистора. Они соответствуют теоретической зависимости (3.31), подтверждается и вывод о слабом влиянии коллекторного напряжения на ток эмиттера.

Рис. 3.13
Начальная область входных характеристик, построенная в соответствии с теоретической зависимостью (3.31), показана на рис. 3.13, а крупным масштабом (в окружности). Отмечены токи I11 и I12, а также эмиттерный ток закрытого транзистора
IЭотс = I12 – I11, (3.51)
протекающий в его цепи при обратных напряжениях эмиттера и коллектора. Как следует из соотношения (3.31), ток эмиттера равен нулю при напряжении
15
эмиттера
(3.52)
Такое же напряжение устанавливается на эмиттере, если он изолирован от других электродов.
Реальные характеристики транзистора в начальной области несколько отличаются от теоретических. Обратный ток эмиттера при короткозамкнутом коллекторе, обозначаемый IЭБК, отличается от тока экстракции I11 наличием еще двух составляющих: термотока IЭт и тока поверхностной проводимости IЭу:
IЭБК = I11 + IЭт + IЭу . (3.53)
Обратный ток эмиттера при обратном напряжении коллектора

Входные характеристики кремниевого транзистора показаны на рис. 3.13,6. Они смещены от нуля в сторону прямых напряжений; как и у кремниевого диода, смещение равно 0,6—0,7 В. По отношению к входным характеристикам германиевого транзистора смещение составляет ~ 0,4 В.
Выходные характеристики.
Теоретические выходные характеристики транзистора в схеме с общей базой Iк=f(UКБ) при Iэ = соnst определяются зависимостью (3.45):

Они представлены на рис. 3.14,а. Вправо по горизонтальной оси принято откладывать рабочее, т. е. обратное, напряжение коллектора (отрицательное для транзисторов типа р-n-р и положительное для транзисторов типа n-р-n). Значения протекающего при этом тока коллектора откладывают по вертикальной оси вверх. Такой выбор осей координат выгоден тем, что область характеристик, соответствующая рабочим режимам, располагается при этом в первом квадранте, что удобно для расчетов.
Если ток эмиттера равен нулю, то зависимость Iк= f(UКБ) представляет собой характеристику электронно-дырочного перехода: в цепи коллектора протекает небольшой собственный обратный ток IКо или с учетом равенства (3.46) ток IКБо. При UЭБ = 0 собственный обратный ток коллектора IKБK = I22 + IKт + IKу При прямом напряжении коллектора ток изменяет направление и резко возрастает – открывается
Рис. 3.14
коллекторный переход (в целях наглядности на рис. 3.14 для положительных напряжений взят более крупный масштаб).
16
Если же в цепи эмиттера создан некоторый ток I
, то уже при нулевом напряжении коллектора в его цени в соответствии с выражением (3.45) протекает ток Iк =αI'э, обусловленный инжекцией дырок из эмиттера. Поскольку этот ток вызывается градиентом концентрации дырок в базе, для его поддержания коллекторного напряжения не требуется.
При подаче на коллектор обратного напряжения ток его несколько возрастает за счет появления собственного тока коллекторного перехода IКБо и некоторого увеличения коэффициента переноса v, вызванного уменьшением толщины базы.
При подаче на коллектор прямого напряжения появляется прямой ток коллекторного перехода. Так как он течет навстречу току инжекции αI'э, то результирующий ток в цепи коллектора с ростом прямого напряжения до величины UKo быстро уменьшается до нуля, затем при дальнейшем повышении прямого напряжения коллектора приобретает обратное направление и начинает быстро возрастать.
Если увеличить ток эмиттера до значения I
, то характеристика Iк= f(UКБ) сместится пропорционально вверх на величину α(I
– I'э) и т. д.
Рис. 3.15
На рис. 4.14,6 представлены реальные выходные характеристики транзистора МП14; они имеют такой же вид, как и теоретические, с учетом поправок на термоток перехода и ток его поверхностной проводимости (3.46).
Коэффициент передачи тока эмиттера. Как показывает опыт, коэффициент передачи тока α зависит от величины тока эмиттера (рис. 3.15).
С ростом тока эмиттера в соответствии с выражением (3.14) увеличивается напряженность внутреннего поля базы, движение дырок на коллектор становится более направленным, в результате уменьшаются рекомбинационные потери на поверхности базы, возрастает коэффициент переноса v, а следовательно, и α. При дальнейшем увеличении тока эмиттера снижается коэффициент инжекции и растут потери на объемную рекомбинацию, поэтому коэффициент передачи тока α начинает уменьшаться.
В целом зависимость коэффициента передачи тока α от тока эмиттера в маломощных транзисторах незначительна, в чем можно убедиться, обратив
внимание на масштаб по вертикальной оси рис. 3.15.
В транзисторах, работающих при высокой плотности тока, наблюдается значительное падение напряжения вдоль базы, обусловленное током базы; в результате напряжение в точках эмиттерного перехода, удаленных от вывода базы, оказывается заметно меньшим,.чем в близлежащих. Поэтому эмиттерный ток концентрируется по периметру эмиттера ближе к выводу базы, эффективная площадь эмиттера получается меньше, чем при равномерной инжекции, и коэффициент α быстро падает с ростом тока эмиттера. Для ослабления указанного
17
явления применяют электроды, имеющие высокое отношение длины периметра к площади: кольцевые (см. рис. 3.4) и гребенчатые (см. рис. 5.23).
Схема с общим эмиттером
Ранее были рассмотрены статические характеристики транзистора, включенного по схеме с общей базой; когда общая точка входной и выходной цепей находится на базовом электроде. Другой распространенной схемой включения транзистора является схема с общим эмиттером, в которой общая точка входной и выходной цепей соединена с эмиттерным электродом (рис. 3.16).
Входным напряжением в схеме с общим эмиттером является напряжение базы UБЭ, измеряемое относительно эмиттерного электрода.

Для того чтобы эмиттерный переход был открыт, напряжение базы должно быть отрицательным (рассматривается транзистор типа р- n -р).
Выходным напряжением в схеме с общим эмиттером является напряжение коллектора Uкэ, измеряемое относительно эмиттерного электрода. Для того чтобы коллекторный переход был закрыт,
Рис. 3.16
напряжение коллектора должно быть большим по величине, чем прямое напряжение базы. Отметим, что в схеме с общим эмиттером в рабочем режиме, когда транзистор открыт, полярность источников питания базы и коллектора одинакова.
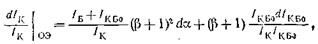
Входные характеристики. Входные характеристики транзистора в схеме с общим эмиттером представляют собой зависимость тока базы от напряжения базы: IБ=f(UБЭ) при UКЭ=соnst.
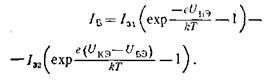
Зависимость тока базы от напряжений эмиттера и коллектора найдем из уравнений (3.31) и (3.48). Вычтя второе уравнение из первого, введя обозначения
I31 = I11 —I21 = (1— α)I11. (3.55)
I32 = I12 — I22 = (1— α)I12 — IКо (3.56)
и использовав соотношения UЭБ = – UБЭ и UКБ= UКЭ — UБЭ окончательно получим
IБ = I31(ехр хUБЭ – 1) – I32[eхр х(UКЭ — UБЭ) – 1]. (3.57)
При большом обратном напряжении коллектора, когда eхр х(UКЭ – UБЭ) << 1 ток базы
(3.58)
Если при этом напряжение базы также обратное (ехр х UБЭ<< 1), то ток базы идеального транзистора
(3.59)
В реальном транзисторе добавляются токи утечки и термотоки переходов, поэтому обратный ток базы закрытого транзистора

18
Входные характеристики германиевого транзистора показаны на рис. 3.17. При обратном напряжении базы и коллектора, т. е. в закрытом транзисторе, согласно выражению (3.60), ток базы IКБU является в основном собственным током коллекторного перехода IКБо. Поэтому при уменьшении обратного напряжения базы до нуля ток базы сохраняет свою величину: IБ ~ – IКБо.
При подаче прямого напряжения на базу открывается эмиттерный переход и в цепи базы появляется рекомбинационная составляющая тока (1— α)IЭ. Ток базы в этом режиме в соответствии с выражением (4.50) IБ = (1— α)IЭ – IКБо; при увеличении прямого напряжения он уменьшается вначале до нуля, а затем
изменяет направление и возрастает почти экспоненциально согласно соотношению (3.57).


Рис. 3.17 Рис. 3.18
Когда на коллектор подано большое обратное напряжение, оно оказывает незначительное влияние на входные характеристики транзистора. Как видно из рис. 3.17, при увеличении обратного напряжения коллектора входная характеристика лишь слегка смещается вниз, что объясняется увеличением тока поверхностной проводимости коллекторного перехода и термотока.
При напряжении коллектора, равном нулю, ток во входной цепи значительно возрастает по сравнению с рабочим режимом UКЭ < 0, потому что прямой ток базы в данном случае проходит через два параллельно включенных перехода – коллекторный и эмиттерный. В целом уравнение (3.57) достаточно точно описывает входные характеристики транзистора в схеме с общим эмиттером, но для кремниевых транзисторов лучшее совпадение получается, если вместо χ брать χ1 = 0,8χ.
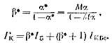
Коэффициент передачи тока базы.
Найдем зависимость тока коллектора от тока базы с помощью выражений (3.46а) и (3.49):

или
(3.61)
Величина β = α/(1 – α) (3.62)
называется коэффициентом передачи тока базы. Поскольку коэффициент передачи тока эмиттера α близок к единице, значение β обычно лежит в пределах от 10 до 1000 и более.
19
Подставив в равенство (3.62) выражение (3.40), получим
(3.63)
Это соотношение выражает сильную зависимость коэффициента передачи тока базы β от напряжения коллектора, так как с изменением последнего изменяются v и М.
Коэффициент передачи тока базы существенно зависит и от тока эмиттера (рис. 3.18). С ростом тока эмиттера коэффициент передачи тока базы вначале повышается вследствие увеличения напряженности внутреннего поля базы, ускоряющего перенос дырок через базу к коллектору и этим уменьшающего рекомбинационные потери на поверхности базы.
При значительной величине тока эмиттера коэффициент передачи тока базы β начинает падать за счет снижения коэффициента инжекции, уменьшения эффективной площади эмиттера и увеличения рекомбинационных потерь в объеме базы.
Перечисленные причины обусловливают, как указывалось, небольшую зависимость коэффициента передачи тока эмиттера α от тока эмиттера IЭ (см. рис. 3.15). Но коэффициент передачи тока базы β при изменении тока эмиттера может изменяться в несколько раз, поскольку в выражении (3.62) в знаменателе стоит разность близких величин 1 – α.
Введя обозначение для коэффициента передачи тока базы β в выражение (3.61), получим основное уравнение, определяющее связь между токами коллектора и базы в схеме с общим эмиттером:
(3.64)
Зависимость тока коллектора от напряжений базы и коллектора можно найти из выражения (3.48), заменив в нем UЭБ на — UБЭ и UКБ на UКЭ — UБЭ:
(3.65)
Уравнения (3.64) и (3.65), а также (3.50) и (3.57) являются основными для транзистора, включенного по схеме с общим эмиттером.
Выходные характеристики.
Выходные характеристики транзистора в схеме с общим эмиттером
Iк= f(UКЭ) при IБ = соnst определяются соотношением (3.64) и изображены на рис. 3.19. Минимально возможная величина коллекторного тока получается в том случае, когда закрыты оба перехода – и коллекторный и эмиттерный. Ток базы в этом случае согласно выражению (3.60)
IБЭU = (1 – α) IЭБU – IКБо.~ – IКБо.. (3.66)
Рис. 3.19
20
где IЭБU – ток эмиттера закрытого транзистора.
Ток коллектора закрытого транзистора в соответствии с выражениями (3.64) и (3.66)
IKЭU = ~ β IБЭU – (β + 1) IКБо, ~ IКБо. (3.67)
Ввиду малости тока IКБо. эта характеристика на рис.4.19 не видна, она совпадает с осью напряжений.
При токе базы, равном нулю, что имеет место при небольшом прямом напряжении базы, когда рекомбинационная составляющая тока базы (1 – α) IЭ равна обратному току коллекторного перехода IКБо, коллекторный ток в соответствии с выражением (3.64)
IKЭo = (β + 1) IКБо. (3.68)
С ростом коллекторного напряжения заметно увеличение этого тока вследствие увеличения коэффициента передачи тока базы β.
При токе базы IБ выходная характеристика транзистора смещается вверх на величину βIБ. Соответственно выше идут характеристики при больших токах базы I"Б, /Б" и т. д. Ввиду зависимости коэффициента передачи тока базы от тока эмиттера расстояние по вертикали между характеристиками не остается постоянным: вначале оно возрастает, а затем уменьшается.
При снижении коллекторного напряжения до величины, меньшей напряжения базы, открывается коллекторный переход, что должно было бы повлечь за собой увеличение тока базы, но по условию он должен быть постоянным. Для поддержания тока базы на заданном уровне приходится снижать напряжение базы, что сопровождается уменьшением токов эмиттера и коллектора, поэтому выходные характеристики при |Uкэ| < |UБЭ| имеют резкий спад. Транзистор переходит в режим насыщения, при котором неосновные носители заряда инжектируются в базу не только эмиттерным, но и коллекторным переходом (кривая 3 на рис. 3.10,6). Эффективность управления коллекторным током при этом существенно снижается, коэффициент передачи тока базы β резко уменьшается.
Как показано на рис. 3.19 крупным масштабом в окружности, выходная характеристика при наличии тока базы не проходит через начало координат: при Iк = 0 на коллекторе существует обратное напряжение Iко порядка нескольких десятых вольта. Величину этого напряжения нетрудно найти из соотношения (3.65), обозначив Uкэ = UKo при Iк = 0:
0 = аI11 (eхр х UБЭ – 1) – I22[ eхр х(UКo – UБЭ) – 1].
Отсюда
(3.69)
где UKo — напряжение коллектора в схеме ОБ, при котором Iк = 0 a UЭБ – напряжение, действующее в этот момент на базе.
Из формулы (3.69) вытекает физический смысл напряжения UKo: оно должно иметь такую величину, чтобы создаваемый им ток инжекции коллекторного перехода I22 eхр х(UКo — UБЭ) полностью компенсировал поступающий в коллекторный переход ток инжекции эмиттерного перехода аI11 eхр х UБЭ,
21
поскольку, по условию, результирующий коллекторный ток Iк = 0.
Для расчета транзисторных схем иногда применяют выходные характеристики, снятые при постоянном напряжении базы. Они отличаются от рассмотренных характеристик, снимаемых при постоянном токе базы, большей неравномерностью расстояний по вертикали между соседними характеристиками, обусловленной экспоненциальной зависимостью между напряжением и током базы.
Температурный дрейф характеристик транзистора
Схема с общей базой. На рис. 3.20 показаны выходные характеристики германиевого транзистора, снятые при трех различных температурах. Аналогично выглядят характеристики кремниевого тран
зистора. Температурный дрейф этих характеристик весьма невелик, что объясняется следующим. В соответствии с выражением (3.46 а) ток коллектора Iк = аIэ + IКБо-
Изменение тока коллектора при постоянном токе
Рис. 3.20 эмиттера

Относительное изменение тока коллектора
(3.70)
Коэффициент передачи тока эмиттера α от температуры зависит относительно слабо: средний температурный коэффициент dα/ αdT обычно
составляет 0,03—0,05% на oС, а общее изменение коэффициента передачи тока эмиттера в рабочем диапазоне температур не превышает 3— 5% (что обусловлено небольшим увеличением диффузионной длины Lp при повышении температуры). Таким образом, температурный дрейф характеристик транзистора за счет изменения коэффициента передачи тока эмиттера α невелик.
Второй член в выражении (3.70) зависит главным образом от относительного изменения тока экстракции коллектора (3.44):

По аналогии с (3.4),
(3.71)
где в соответствии с выражениями (3.44) и (3.5)

– величина, практически не зависящая от температуры. Отсюда
(3.72)
По этой формуле можно подсчитать, что при Т=50°С ток удваивается на каждые 9°С для германия и на каждые 6°С для кремния, т. е. возрастает очень быстро. Однако влияние этого члена на температурный дрейф выходных
22
характеристик транзистора оказывается все же незначительным, так как он входит в соотношение (3.70) умноженным на малую величину IКБо/IК имеющую порядок 10–3 – 10–6. Иначе говоря, хотя обратный ток коллектора IКБо изменяется с ростом температуры быстро, но вследствие того, что он очень мал по сравнению с рабочим током коллектора Iк, его влияние на температурный дрейф выходных характеристик незначительно.
Итак, малый температурный дрейф выходных характеристик транзистора в схеме с общей базой Рис. 3.21
объясняется слабой зависимостью коэффициента передачи тока эмиттера а от температуры и относительно малой величиной обратного тока коллектора IКБо.
Температурный дрейф входных характеристик транзистора имеет значительную величину (рис. 3.21).
По аналогии с выражением (3.6),
(3.73)
В рабочем режиме е UЭБ < W, поэтому показатель экспоненты отрицателен и с повышением температуры входной ток увеличивается, его характеристика смещается влево (примерно на 1 – 2 мВ/°С).
Схема с общим эмиттером. Выходные характеристики транзистора для схемы с общим эмиттером при двух различных температурах представлены на рис. 4.22. В данном случае температурный дрейф характеристик очень велик.
Для выяснения причин обратимся к уравнению тока коллектора (3.64):

При постоянном токе базы

Так как
то

Рис.3.22 или
(3.74)
Отсюда видно, что если при изменении температуры транзистора изменение коэффициента передачи тока эмиттера d а/а а составит, как в разобранном ранее примере, 3%, а коэффициент передачи тока базы р = 99, то относительный дрейф выходных характеристик транзистора только за счет первого члена в уравнении (3.74) составит уже 300%. Такого же порядка получается и второй член в этом уравнении.
Таким образом, выходные характеристики транзистора в схеме с общим эмиттером при IБ = соnst отличаются сильной зависимостью от температуры,
23
с чем необходимо считаться при использовании транзисторов в аппаратуре. Заметим, что выходные характеристики при UБЭ = соnst; имеют значительно меньший температурный дрейф, так как больше соответствуют режиму IЭ=соnst. В связи с этим для температурной стабилизации рабочего режима транзистора рекомендуют работать при постоянном напряжении базы, а сопротивление в цепи базы должно быть как можно меньше.
Входные характеристики транзистора в схеме с общим эмиттером при различных температурах показаны на рис.3.23. При повышении температуры транзистора увеличиваются как прямой, так и обратный токи базы,
что связано с экспоненциальной зависимостью от температуры токов транзистора I11, I12, I21, I22, определяющих входную характеристику (3.57):

Отметим, что характеристики транзистора, снятые при разных температурах, пересекаются, так как отдельные члены в выражении (3.57) по-разному зависят от температуры.
Рис. 3.23
Сравнивая характеристики транзистора для двух схем включения, следует отметить более высокую устойчивость к температурным воздействиям транзистора, включенного по схеме с общей базой.
Нелинейная модель транзистора
При необходимости анализа работы транзистора в режиме большого сигнала, когда имеют значение его нелинейные свойства, находит применение эквивалентная схема транзистора, предложенная Эберсом и Моллом (рис. 3.24).
Она состоит из двух диодов – эмиттерного и коллекторного, включенных встречно, и двух источников тока, отображающих взаимодействие этих диодов.
Токи эмиттера и коллектора определяются уравнениями
IЭ = I1 – аiI2, (3.75) Рис. 3.24
IK = аI1 – I2, (3.76)
где аi; – коэффициент передачи тока коллектора при инверсном включении транзистора, т. е. при подаче на коллектор прямого, а на эмиттер — обратного напряжений; а — коэффициент передачи тока эмиттера при обычном включении транзистора. Токи диодов определяются уравнениями
(3.77) (3.78)
где I11 и I22 — токи диодов, измеряемые при UКБ = 0 и UЭБ = 0 соответственно.
24
Обычно эти токи выражают через токи экстракции IЭо и IКо, измеряемые при
Iк = 0 и Iэ = 0 соответственно.
Пусть Iэ = 0, а ехр хUКБ << 1. Тогда из выражений (3.75), (3.77) и (3.76) получим: I1 = аiI2 , I2 = – I22, IКо = ааiI2 –I2 Аналогично при Iк = 0 и ехр хUЭБ << 1 найдем IЭо = I1 – ааiI1. Отсюда
(3.79)
При практическом использовании этих соотношений необходимо помнить о различии между токами экстракции IЭо и IКо, и реально измеряемыми собственным и обратными токами транзистора IЭБо и IКБо. В связи с указанным токи
I11 и I22 лучше рассчитывать по прямой ветви характеристики. Заметим также, что с учетом отмеченных ограничений для определения токов I11 и I22 справедливы соотношения I11 = IЭБК I22 = IКБК.
4. ПРЕДЕЛЬНЫЕ РЕЖИМЫ БИПОЛЯРНОГО ТРАНЗИСТОРА
Рабочий диапазон температур транзистора
Для нормальной работы транзистора необходимо, чтобы в каждой из его областей — эмиттерной, базовой и коллекторной — преобладала электропроводность одного типа — дырочная или электронная. При повышении температуры транзистора это соотношение электропроводностей может нарушиться и тогда он теряет работоспособность.
Максимальная рабочая температура определяется энергией ионизации атомов основного вещества и концентрацией примесей.
С ростом температуры увеличивается количество ионизированных атомов основного вещества, концентрация неосновных носителей заряда приближается к концентрации основных носителей и работоспособность транзистора нарушается. Чем выше энергия ионизации основного вещества и больше концентрация примеси, тем выше максимальная рабочая температура транзистора. Расчет и экспериментальные исследования показывают, что максимальная рабочая температура германиевых транзисторов может лежать в пределах 70 – 100°С, а для транзисторов из кремния, имеющего большую ширину запрещенной зоны, чем германий, максимальная рабочая температура может составлять 125 – 200°С.
Минимальная температура, при которой транзистор еще может работать, определяется энергией ионизации примесей и их концентрацией. Так как энергия ионизации примесей очень невелика (0,05 – 0,01 эВ), то минимальная рабочая температура транзистора теоретически составляет около – 200°С. Фактически нижний предел температуры ограничивается термоустойчивостью корпуса и допустимыми изменениями параметров, поэтому его величина обычно равна – (60 – 70)°С.
Необходимо иметь в виду, что изменение температуры транзистора в пределах рабочего диапазона также существенно сказывается на его рабочих свойствах, что может вызвать температурную нестабильность параметров транзисторной аппаратуры. Поэтому при проектировании и эксплуатации следует учитывать влияние температуры на характеристики и параметры транзисторов.
25
Максимально допустимая непрерывно рассеиваемая мощность
транзистора
При прохождении тока через транзистор джоулево тепло выделяется в основном в коллекторном переходе, обладающем наибольшим электрическим сопротивлением по сравнению с другими областями транзисторной структуры, поэтому наибольшую температуру во время работы транзистора имеет его коллекторный переход.
Отвод тепла от перехода в транзисторе, так же как и в полупроводниковом диоде, происходит главным образом за счет теплопроводности, и мощность
рассеяния транзистора определяется следующим соотношением, аналогичным (3.21):

Здесь Тп — температура коллекторного перехода транзистора; Т0 – температура окружающей среды; Rт – тепловое сопротивление транзистора, определяющее передачу тепла от коллекторного перехода к корпусу транзистора и зависящее от теплопроводности материалов, из которых изготовлен транзистор, и его конструкции; Rто – тепловое сопротивление теплоотвода, определяющее передачу тепла от корпуса транзистора в окружающую среду и зависящее от конструкции теплоотвода, теплопроводности материала, из которого он изготовлен, и качества теплового контакта корпуса транзистора с теплоотводом.
Максимальная мощность рассеяния транзистора определяется максимально допустимой температурой его коллекторного перехода Тп max и температурой окружающей среды Т0. При пренебрежимо малом тепловом сопротивлении теплоотвода RТО< RТ из соотношения (3.80) получаем, что максимальная мощность рассеяния транзистора равна
(3.80)
Максимально допустимая температура коллекторного перехода составляет 70 – 100°С для германиевых и 125 – 200°С для кремниевых транзисторов. Для конкретных типов приборов она указывается в справочниках.
Пробой транзистора
Тепловой пробой. При нарушении теплового баланса, когда вследствие недостаточного теплоотвода прирост подводимой к коллекторному переходу мощности UКБIк не компенсируется соответствующим приростом отводимой мощности, в транзисторе имеет место тепловой пробой. При этом температура перехода неограниченно растет, увеличиваются ток коллектора и подводимая мощность UКБIк , в результате транзистор перегревается и выходит из строя.
Величину напряжения, не приводящую к тепловому пробою транзистора, можно оценить с помощью соотношения, аналогичного (3.25):
(3.81)
Допустимое напряжение UКБт тем меньше, чем больше обратный ток транзистора IКБо, его тепловое сопротивление Rт и температура окружающей среды T0. При плохом теплоотводе и высокой температуре окружающей среды
26
напряжение теплового пробоя может стать значительно ниже, чем рабочее напряжение транзистора. Особенно опасен тепловой пробой для мощных транзисторов, имеющих значительный ток IКБо .
Электрический пробой. Пробой переходов в транзисторе может возникать также вследствие ионизации атомов электрическим полем и ударной ионизации. Поскольку переходы находятся во взаимодействии, величина пробивного напряжения существенно зависит от схемы включения транзистора.
Пусть вследствие размножения электронно-дырочных пар в коллекторном переходе ток коллектора возрос в M раз и получил значение
(3.82)
Этот эффект можно рассматривать как увеличение коэффициента передачи тока эмиттера а, который становится равным
а* = Ма. (3.83)
В уединенном переходе с ростом приложенного напряжения коэффициент размножения носителей заряда М увеличивается в соответствии с эмпирической зависимостью (3.15):

где показатель k имеет величину от 2 до 6 в зависимости от материала и типа
перехода. Это соотношение остается справедливым и для транзистора при отключенном эмиттере, когда коллекторный переход можно рассматривать как уединенный.
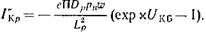
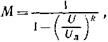
Пробой коллекторного перехода наступает при UКБ ~Uл> при этом а* = М а -оо и ток коллектора лавинообразно нарастает, как показано на рис.3.28 (кривая Iэ=0). Напряжение пробоя коллекторного перехода при отключенном эмиттере принято обозначать UКБо *. В
Рис 3.28 схеме с общим эмиттером коэффици ент передачи тока базы в предпробивном режиме
(3.84)
Пробой в данном случае должен наступать при р*-> ос, т. е. при М а 1, а следовательно, при напряжении, значительно меньшем UКБо.
"Контрольные вопросы" - тут тоже много полезного для Вас.
Подставляя в равенство (3.84) условие М = 1/а и учитывая, что U UКЭ, Uл~ UКБо, найдем напряжение пробоя для случая, когда цепь базы разорвана:
(3.85)
причем значение а берут при Iк IКБо.
Расчет и эксперимент показывают, что UКЭo обычно в два-три раза ниже, чем UКБо (кривая IБ = 0 на рис. 3.28).
При увеличении тока коллектора, т е. при прямом напряжении базы, коэффициент передачи тока а возрастает и напряжение пробоя падает.
27






















