Схемотехническое моделирование
ЛЕКЦИЯ 6
6.1. Схемотехническое моделирование
Различают аналоговые и цифровые (логические) схемы. Однако часто бывают схемы, где аналоговые и цифровые элементы присутствуют вместе. Такие схемы обычно относят к классу цифро-аналоговых или аналого-цифровых. В соответствии с данной классификацией в схемотехническом моделировании логическое моделирование часто выделяют в самостоятельный раздел. В зависимости от решаемых задач, требующих различной точности, на этапе схемотехнического моделирования могут использоваться как схемотехнические, так и функциональные подходы и методы.
![]() |
Рис. 6.1. Объекты схемотехнического проектирования и применяемые методы
6.2. Методы логического моделирования
Основная задача логического моделирования – проверка правильности функционирования логических устройств, т.е. схем на основе базовых логических элементов И, НЕ, ИЛИ, триггеров, счетчиков, дешифраторов и др. Кроме этого, при логическом моделировании анализируются переходные процессы, надежность работы, вероятность сбоев. В некоторых случаях применяют автоматизированные методы синтеза и минимизации логических схем. Однако традиционный интуитивный метод разработки логических схем пока дает более эффективные технические решения.
Для описания логических устройств используется математический аппарат булевой алгебры.
Рекомендуемые материалы
Условная классификация методов логического моделирования показана ниже на рис. 6.2.

Рис. 6.2. Основные признаки классификации методов логического моделирования
6.2.1. Синхронное логическое моделирование
Синхронное логическое моделирование применяют для оценки правильности функционирования логического устройства без учета задержек (переходных процессов). Каждый элемент описывается логическим уравнением вида
, где у – выходной сигнал, а
– набор входных сигналов. В результате вся схема описывается системой таких уравнений или общим логическим уравнением.
Наиболее удобно ранжировать логические схемы и вычислять логические уравнения в соответствующей последовательности. Данный метод эффективен для последовательных логических схем.









Рис. 6.3. Пример ранжирования логической схемы
При наличии обратных связей (ОС) в модель вводят элементы задержки
и моделируется конечное время срабатывания участка схемы с ОС, хотя физически элемент задержки отсутствует. Далее ОС размыкается, а схема ранжируется и моделируется как последовательная логическая схема. При этом цепям ОС присваивается ранг 0, а на их входах устанавливаются сигналы, соответствующие заранее заданным состояниям. Полученные при моделировании значения подаются на входы ОС через время задержки
. В результате получают временную диаграмму работы схемы.
Недостаток синхронного моделирования состоит в невозможности выявления так называемых рисков сбоя, возникающих из-за задержек сигналов и, как следствие, временных рассогласований между ними.
Статический и динамический риск сбоя
Статический сбой проявляется в виде однократного ложного срабатывания логической схемы из-за возможного временного рассогласования входных сигналов.



Рис. 6.4. Пример статического риска сбоя
Динамический сбой проявляется в виде многократного срабатывания логической схемы в результате временного рассогласования входных сигналов и электронных задержек в самой схеме.






Рис. 6.5. Пример динамического риска сбоя
6.2.2. Асинхронное моделирование
При асинхронном моделировании производится учет задержек в элементах, которые могут приводить к временным рассогласованиям. Таким образом, асинхронное моделирование позволяет выявлять риски сбоев и критические состязания. Асинхронное моделирование применяют также для анализа переходных процессов. Модель логического элемента для асинхронного моделирования представляется в виде последовательного соединения безынерционного логического элемента, реализующего заданную функцию, и элемента задержки.


Рис. 6.6. Последовательно соединенные безынерционный логический элемент
и элемент задержки
Так как задержки в различных логических элементах различны, то при моделировании их значения округляют до значений кратных
. Это позволяет для любого логического элемента считать задержку
, где n = 1, 2, …, n, и моделировать ее путем последовательного включения необходимого числа элементов задержки ∆t.








Рис. 6.7. Моделирование задержек в логических элементах
Асинхронное моделирование процесс многократный и повторяется для всех интервалов задержек кратных ∆t до тех пор, пока время переходного процесса τ не закончится. При этом ранжирования схемы не производят. Вычислений при асинхронном моделировании требуется больше, чем при синхронном моделировании. При асинхронном моделировании время анализа можно уменьшить за счет того, что вычисления производят не «сквозным» образом, т.е. не на каждом шаге ∆t, а только на тех интервалах (кратных ∆t), когда состояние логической схемы изменяется.
6.2.3. Виды кодирования логических сигналов
Простейшим видом является двоичное кодирование в виде логического 0 и 1. Более сложным и требующим большего машинного времени является многозначное кодирование, которое позволяет учитывать переходные процессы в логической схеме. Примеры многозначной кодировки приведены на рис. 6.8.

а




б
Рис. 6.8. Примеры многозначного кодирования:
а – трехзначное кодирование; б – пятизначное кодирование
При многозначном кодировании для учета сбоев добавляют дополнительные символы, тем самым удлиняя и усложняя кодировку процессов. Например, вводя дополнительные символы G и Ğ, можно описать характер сбоев при переходе из 0 в 1 и, наоборот, из 1 в 0 и т.д.
6.2.4. Многозначное моделирование
Наиболее часто используется троичное моделирование. Его достоинство: простота и высокое быстродействие. При этом задержки принимают равными нулю, а состояния определяются таблицей истинности, где каждый из входных сигналов может принимать три значения (два основных: 0 или 1 и одно промежуточное неопределенное значение – Х).
Моделирование сводится к многократному вычислению состояния выхода схемы как на основных, так и на промежуточных значениях входных сигналов.
Пример
Имеется электрическая схема (рис. 6.9) и соответствующая ей таблица истинности (табл. 6.1).

Рис. 6.9. Пример электрической схемы
Таблица 6.1
Таблица истинности
|
| X1 | X2 | X3 | X4 | Xn |
| A | 0 | 1 | 0 | 1 | 1 |
| AB | X | X | X | X | X |
| B | 1 | 0 | 1 | 1 | 0 |
В таблице истинности показаны A, B – входные значения (B сменяет A) и AB – промежуточные значения входных сигналов. При моделировании фиксируется риск сбоя в цепи X4. Действительно, данный сигнал меняться не должен (см. таблицу истинности, где всегда X4 = 1), однако, из-за неопределенного состояния AB = X = X4 возможно появление X4 = 0.
Более детальные сведения о работе схемы (например, динамический риск сбоя) могут быть получены при использовании пятизначного кодирования.
6.3. Моделирование аналоговых схем
Данный вид моделирования учитывает реальные физические процессы в электрических цепях, в частности, законы сохранения, к которым относятся, например законы Кирхгофа, вытекающие из законов сохранения заряда и энергии и часто называемые законами электрического равновесия.
При моделировании эти законы должны выполняться в каждой расчетной точке схемы и описываются так называемыми топологическими уравнениями. Отдельные элементы схемы на основе этих же законов описываются уравнениями, которые называются компонентными.
Соответствующая математическая модель для схемотехнического моделирования состоит из двух подсистем уравнений: компонентной и топологической. Все это позволяет достичь высокой строгости описания физических процессов и более высокой степени точности моделирования по сравнению с функциональным моделированием. Однако при этом требуется увеличение объема вычислений.
Цель схемотехнического моделирования – определение формы и параметров сигналов в различных точках схемы.
При этом решаются типовые задачи:
1) расчет статического режима;
2) расчет переходных процессов;
3) определение частотных характеристик.
На основе решения этих задач можно вычислять:
1) параметры сигналов (фронт, длительность задержки, длительность фронта и т.п.);
2) спектр выходных сигналов,
а также можно производить:
1) статистический анализ (поведение схемы при изменении элементов и параметров входных сигналов);
2) параметрическую оптимизацию.
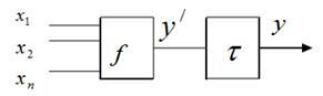
6.4. Структура программ схематического моделирования
аналоговых схем
В наиболее общем виде структура программы схемотехнического моделирования аналоговых схем, осуществляющей расчет статических режимов, переходных процессов, частотных характеристик приведена на рис. 6.10. Структура программы для анализа и оптимизации значительно сложней.














Рис. 6.10. Обобщенная структура программы схемотехнического моделирования
Исходное описание схемы и задачи на языке, удобном для пользователя (например, графическое изображение схемы), с помощью транслятора преобразуется в специальные массивы данных, называемые внутренними форматами. На основе этих форматов формируется основная модель схемы. Например, в программах для моделирования статических режимов, работающих в базисе узловых потенциалов, формируется вектор узловых токов и матрица узловых проводимостей , а в подпрограммах для моделирования переходных процессов формируются соответствующие данные для дифференциальных уравнений. При этом используются библиотеки моделей элементов.
Далее сформированные векторы и матрицы используются в подпрограммах реализации выбранного (или заданного по умолчанию) алгоритма, например алгоритма Ньютона. При этом обычно подпрограмма выполняет только одну итерацию, после которой проверяется условие окончательного расчета (сходимость, окончание заданного времени и т.д.).
Если расчет не закончен, то итерация повторяется. Причем для нелинейных схем (а таких большинство) формируются новые численные значения матриц и векторов модели.
6.5. Численные методы в схемотехническом моделировании
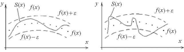
В основе алгоритмов расчета на ЭВМ лежат численные методы. При их реализации в процессе схемотехнического моделирования функции часто задаются в табличной форме, т.е. вместо функции y = f(x) имеются пары значений (хi, yi), i = 0, 1, 2 … Для определения промежуточных значений требуется аппроксимация, т.е. необходимо подобрать функцию S(x), которая наилучшим образом отображает таблично заданную функцию.
Здесь возможна точечная аппроксимация, если нас интересует конечная промежуточная точка, локальная аппроксимация, если требуется аппроксимировать отдельный участок функции, или глобальная аппроксимация, если необходимы все значения хi .
Качество аппроксимации оценивается при среднеквадратическом приближении ошибкой
, а при равномерном приближении ошибкой ε = max{│S(xi)−f(xi)│}.
Таким образом, при оценке с равномерным приближением требования к S(x) более жесткие, чем при оценке со среднеквадратическим приближением для одинаковой величины ε.

а б
Рис. 6.11. Аппроксимация S(x) функции f(x) с одинаковой ошибкой ε при равномерном (а)
и среднеквадратическом приближении (б)
Если необходимо обеспечить точное совпадение S(x) со всеми точками хi, то требуется интерполяция. Таким образом, задача аппроксимации ужесточается и превращается в задачу интерполяции. Аппроксимация и интерполяция таблично заданной функции представлены на рис. 6.12.



Рис. 6.12. Аппроксимация и интерполяция таблично заданной функции
Различают следующие виды интерполяции:
1) линейная, при которой пары соседних точек соединяются отрезками прямых (рис. 6.13);

Рис. 6.13. Линейная интерполяция
2) квадратичная, при которой пары соседних точек соединяются параболами (рис. 6.14);

Рис. 6.14. Квадратичная интерполяция
3) интерполяция многочленом k-й степени (существует ряд многочленов, например, Лагранжа, Эрмита, Ньютона, Стирлинга, Бесселя, Эверетта, Стефферсена и других, каждый из которых оптимален при конкретных случаях);
4) итерационная интерполяция, основанная на многократном применении простых алгоритмов интерполяции (например, алгоритм Эйткена использует многократную линейную интерполяцию);
5) сплайн-интерполяция, позволяющая получить более «гладкую» интерполяцию с отсутствием изломов функции в точках перехода от участка к участку (сплайн-функция – это разновидность многочлена);
6) метод наименьших квадратов, при котором используется многочлен со специально подобранными коэффициентами, обеспечивающими минимум среднеквадратической ошибки.
6.6. Моделирование статического режима
Расчет статического режима может иметь самостоятельное значение, например, составление карты рабочих режимов по постоянному току. Однако, часто этот расчет является частью более сложных задач. Например, переходной процесс можно представить совокупностью квазистатических режимов в отдельные моменты времени, в каждом из которых необходимо выполнить законы равновесия.
Существуют несколько методов моделирования данного режима, условная классификация которых приведена на рис. 6.15.

Рис. 6.15. Классификация методов моделирования статического режима
6.6.1. Прямой метод
Прямой метод заключается в составлении математической модели в виде системы конечных линейных или нелинейных уравнений вида F(x) = 0 и их решения численными методами. В математике для решения подобных систем уравнений используют методы итераций, при повторении которых результат сходится к истинному значению. Существуют метод простых итераций, метод Эйлера, метод Ньютона и другие методы, имеющие разную скорость сходимости. Например, метод простых итераций сходится линейно, а Ньютона – квадратично, что требует для получения результата разного числа итераций и, следовательно, разных затрат времени. Указанные методы отличаются друг от друга также областями сходимости и сложностью вычислений.
6.6.2. Метод установления
При данном методе статический режим рассматривается как состояние схемы, к которому она асимптотически стремится при затухании переходных процессов, возникших при поданном на нее напряжении. Переходные процессы описываются системой дифференциальных уравнений.
Пример: простейший делитель с емкостной нагрузкой.

Рис. 6.16. Пример с простейшим делителем напряжения
Прямой метод предполагает составление конечного уравнения в виде
, откуда
.
Метод установления предполагает составление дифференциального уравнения:
. Его решением является выражение 
, которое асимптотически сходится к
, что было получено выше прямым методом.
6.6.3. Метод движущейся области сходимости
Чтобы повысить надежность сходимости результата, используют метод движущейся области сходимости, который заключается в том, что при каждой итерации область сходимости уточняется на основании получаемого промежуточного результата.
Пример: анализ статистического режима простейшей диодной схемы, для которой необходимо получить значение тока через диод при напряжении U = Е.


Рис. 6.17. Простейшая диодная схема и вольт-амперная характеристика диода
Вольт-амперная характеристика диода описывается нелинейным уравнением. Итерационный метод предполагает разделение диапазона напряжений Е на несколько интервалов ΔЕ. При этом результат вычисления влияет на выбор области сходимости. С увеличением числа итераций точность сходимости в точке увеличивается и, начиная с некоторой точки А, результат получается точным, что гарантирует точное вычисление при U = E.
6.6.4. Метод оптимизации
Метод оптимизации заключается в вычислении экстремумов функции, что соответствует состоянию равновесия. Метод достаточно точен, но уступает скорости вычислений прямому методу и поэтому не находит широкого применения при моделировании.
6.6.5. Уравнения статического режима в базисе узловых потенциалов
В большинстве программ моделирования статического режима используется так называемый базис узловых потенциалов.
В базисе узловых потенциалов φ исходная модель имеет вид конечного уравнения I(φ) = 0, где I(φ) – вектор узловых токов.
Однако для вычислений используется формула в виде, соответствующем решению численным методом, а именно: методом Ньютона:
Y[φ(k)] Δφ(k) = − I[φ (k) ] , где
– матрица узловых проводимостей,
k – индекс итераций, а Δφ(k) = φ(k+1) −φ(k) – вектор поправок.
Вектор узловых токов определяется в виде суммы токов ветвей (или полюсных токов), соединенных с данным узлом.
Матрица узловых проводимостей формируется из собственных проводимостей ветвей, определяемых путем дифференцирования соответствующих компонент вектора узловых токов по φ(k).
Если схема содержит (n+1) узел, т.е. (n+1) точек соединения двух и более ветвей, то для большего удобства расчетов формулу представляют в виде матриц, состоящих из n элементов. Данные матрицы формируются на каждой итерации. В результате уравнение статического режима в базисе узловых потенциалов приобретает следующий матричный вид:
,
где
– токи ветвей многополюсника,
– узловые токи (т.е. сумма токов ветвей),
– узловые проводимости (т.е проводимости ветвей или проводимости между узлами), Δφ – поправки, имеющие смысл напряжений (потенциалов).
Пример: диодно-резистивная схема (рис. 6.18).

Рис. 6.18. Пример диодно-резистивной схемы
В данной схеме имеются три узла: 1, 2, 3 и 0 – опорный с соответствующими узловыми потенциалами φ1, φ2, φ3.
Матрица узловых проводимостей составляется следующим образом:
1) по диагонали записывается сумма проводимостей ветвей, соединенных с данным узлом;
2) остальные проводимости ветвей между соседними узлами заносятся в соответствующие ячейки матрицы со знаком «−»;
3) в оставшиеся ячейки матрицы записывают 0.
Таким образом, для данного примера матрица узловых проводимостей имеет следующий вид:
строки
столбцы
Проводимости yд1 и yд2.вычисляют из уравнения тока через диод по уравнению Эберса–Мола: I = I0 (е
– 1), откуда y =
exp
. В свою очередь ток через диод I0 определяют, используя численные методы и раскладывая i = f (U) в ряд, например Тейлора, ограничиваясь линейным членом ряда ΔU (окрестность точки U0).

Рис. 6.19. К вычислению тока через диод
Для получения матрицы узловых токов I(φ) также используют уравнение Эберса–Молла. В результате для данной схемы матрица узловых токов имеет вид

.
Для представления элемента модели схемы с использованием базиса узловых потенциалов требуется, чтобы его уравнение имело вид i = f (U). Так, по закону Ома вклад постоянного резистора в вектор узловых токов
, а в матрицу узловых проводимостей
. Аналогично для нелинейного элемента I = f (U),
.
Для «неудобных» элементов, например, управляемых источников тока или напряжения, где
,
или
, используют приемы, позволяющие представить их в виде зависимостей
. Универсальный прием заключается во включении в схему дополнительных малых проводимостей или сопротивлений.
Так, например, для идеального источника тока включают параллельно малую проводимость. При этом источник
создает напряжение
, а в цепи протекает ток
, т.е.
.
Для идеального источника напряжения включают последовательно малое сопротивление. При этом источник
создает напряжение
, а в цепи протекает ток
, т.е.
.


Рис. 6.20. Подключение дополнительной малой проводимости
к идеальному источнику тока


Рис. 6.21. Подключение дополнительного малого сопротивления
к идеальному источнику напряжения
Контрольные вопросы к лекции
1. Что является объектами схемотехнического проектирования?
2. Какие подходы используются при моделировании работы принципиальных электрических схем?
3. В чем состоит основная задача логического моделирования?
4. Какие существуют методы логического моделирования?
5. Для каких целей применяется синхронное логическое моделирование?
6. Для каких целей применяется асинхронное логическое моделирование?
7. В чем состоит различие между статическим и динамическим риском сбоя?
8. В чем состоит различие между двоичным и многозначным кодированием логических сигналов?
9. Какие основные физические законы лежат в основе моделирования логических схем?
10. Какие основные типовые задачи решаются при моделировании аналоговых схем?
11. В чем состоит различие между аппроксимацией и интерполяцией функциональных зависимостей?
12. Какие существуют методы моделирования статического режима?
13. В чем заключается сущность прямого метода моделирования?
14. В чем состоит суть метода установления?
Рекомендуем посмотреть лекцию "20 Статистика наличия подвижного состава".
15. В чем заключается метод движущейся области сходимости?
16. В чем состоит суть метода оптимизации?
17. В чем состоит суть моделирования в базисе узловых потенциалов?
18. Как формируется вектор узловых токов?
19. Как формируется матрица узловых токов?
20. Каким образом представляются идеальные источники тока и напряжения для моделирования в базисе узловых потенциалов?
























