Основные законы излучения
Основные законы излучения
Закон Планка. В 1900 г. немецкий физик-теоретик Макс Планк установил закон распределения энергии излучения абсолютно черного тела по длинам волн l при разных температурах T oK:
|
| Iol=C1l-5/(e C2/lT-1) , где : l — длина волны в м; Т — абсолютная температура в °К; С1 -постоянная величина, равная 3,72• 10-16 вт•м2; С2 — постоянная, равная 1,43 • 10-2 м • град. Величина Iol называется спектральной интенсивностью излучения абсолютно черного тела и представляет собой количество энергии с длиной волны l, излучаемой в 1 сек с 1 м2 поверхности тела. Приведенные на графике изотермы показывают, что интенсивность излучения очень коротких волн быстро возрастает до максимума, а затем медленно убывает, стремясь к нулю при очень больших длинах волн. Рекомендуемые материалыFREE Маран Программная инженерия Техническое задание -70% Практическое задание 3 |Информатика СОО 2023 (ДО, СПДО, ПНК, КП, ПДО, ДОУА, СР 2 ЧАСТЬ) | НСПК -12% Практикум по художественной обработке материалов и изобразительному искусству 2023 (ДО) Практическое занятие 2 Измерение длины волны лазерного излучения интерференционным методом (метод Юнга) -25% Измерение длины волны лазерного излучения интерференционным методом (метод Юнга) Площадь, ограниченная осью абсцисс, линией Iol для Т= соnst и ординатами l и dl (она заштрихована), дает количество энергии dEol, излучаемой единицей поверхности в единицу времени при температуре Т в интервале длин волн от l до l+d l: dEol,= Iol d l
|
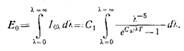
Закон Стефана — Больцмана. Полное, суммарное количество энергии, излучаемой единицей поверхности абсолютно черного тела в единицу времени во всем диапазоне длин волн от l = 0 до l = ¥, определяется интегрированием выражения Iol Планка:

После интегрирования получено:
Ео = sоТ4=5,67 • 10-8Т4 =5,67(Т/100)4 вт/м2.
Величина sо =5,67 • 10 -8 вт/(м2 •град4 )называется постоянной излучения абсолютно черного тела.
Соотношение было экспериментально получено Стефаном в 1879 г. и теоретически Больцманом в 1884 г. и называется законом Стефана — Больцмана. По закону Стефана — Больцмана. энергия излучения абсолютно черного тела пропорциональна степени абсолютной температуре в четвертой степени.
В технических расчетах Ео удобно определять по выражению Ео = Со(Т/100)4 вт/м2, где С0=5,67 вт/(м2 • град 4) — коэффициент излучения абсолютно черного тела.
Законы Планка и Стефана — Больцмана были выведены для абсолютно черного тела. Зависимость интенсивности излучения Il от температуры и длины волны для реальных тел отличается от Iol для абсолютно твердого тела и может быть установлена только на основе опыта. Согласно экспериментальным данным для большинства твердых тел показывают, что кривая = Il =f{l) непрерывна и подобна кривой для абсолютно черного тела. Это значит, что при одинаковых температурах и длинах волн соотношение Il / Iоl остается постоянным: Il / Iоl =e = соnst. Тела удовлетворяющие такой зависимости называются серыми телами. Коэффициент e называется степенью черноты тела, его значение для различных тел меняется от 0 для абсолютно белых до I для абсолютно черных тел. Величина С=Соe называется коэффициентом излучения серого тела, она меняется в пределах от 0 до 5,67. Энергия излучения для серых тел, с учетом введения понятия степени черноты серого тела равна Е = С(Т/100)4.
Закон Кирхгофа.
Закон Кирхгофа устанавливает соотношение между излучательной и поглощательной способностью тел.
|
| Рассмотрим лучистый теплообмен между двумя параллельными бесконечно большими поверхностями, расположенными так, что излучение одной из них полностью попадает на другую, а среда, разделяющая обе поверхности полностью прозрачна (диатермична). Допустим, что поверхность / — серая с поглощательной способностью А, а поверхность 2— абсолютно черная. |
Абсолютно черное тело излучает энергию в количестве Eq. Часть этой энергии в количестве АЕ0 поглощается серым телом, а остальная энергия в количестве REo=(1—A)Eo им отражается и затем целиком поглощается абсолютно черным телом 2. Кроме того, серое тело испускает энергию собственного излучения в количестве Е, которая также поглощается абсолютно черным телом. Когда в результате обмена энергией температуры тел сравняются, то каждое тело должно отдавать столько же энергии, сколько оно получает. Тело 1 излучает Ео и поглощает от тела 2 его собственное излучение Е и отраженное (1-А) Ео. При этих условиях для черного тела можно записать:
Ео=Е+(1-А)Ео,
откуда Е/А=Ео
Рекомендация для Вас - 1.2 Основные виды FMEA.
Т.е: отношение излучательной способности серого тела к его поглощательной способности при той же температуре одинаково для всех тел и равно излучательной способности абсолютно черного тела. Это отношение является функцией только температуры. После подстановки выражений для Е и Ео получено:
esоТ4/А=sоТ4 , , или e = А.
т. е. степень черноты серого тела равна его поглощательной способности.
Поскольку степень черноты серого тела всегда меньше единицы, излучательная способность серых тел меньше излучательной способности абсолютно черного тела. Следовательно, при любой температуре излучение абсолютно черного тела является наибольшим.
Закон Кирхгофа: Излучательная способность серого тела равна его поглощательной способности.




Зависимость спектральной интенсивности получения абсолютно черного тела от длины волны и температуры (закон Планка)















