Защита от прямых ударов молнии
Лекция №15.
Защита от прямых ударов молнии.
Для защиты от прямых ударов молнии служат стержневые и тросовые молниеотводы.
Стержневые молниеотводы применяют для защиты сосредоточенных объектов (ОРУ станций и подстанций, отдельные сооружения и т.п.).
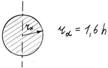
Защитные свойства стержневого молнинеотвода характеризуются зоной защиты, под которой понимают пространство вокруг молниеотвода, где поражение защищаемого объекта атмосферным разрядом маловероятно. Радиус защиты rx одиночного стержневого молниеотвода определяют по формуле:
(26.1)

26.1. схема защитной зоны одиночного стержневого молниеотвода.
Рекомендуемые материалы

26.2. схема защитной зоны двойного стержневого молниеотвода.
где h – полная высота молниеотвода;
hx – высота защищаемого объекта.
Защищающее действие одиночного молниеотвода характеризуется коэффициентом защиты:
(26.2)
где ha – активная высота молниеотвода.
Подставив в формулу (26.2) значение rx, найденное по формуле 26.1, получим:
(26.3)
Предельное значение Кα при высоте молниеотвода < 30 м равно 1,6, а наибольший радиус защиты rx=1,6 ha.
Если высота стержневого молниеотвода больше 30 м, то:
(26.4)
и
(26.5)
Для двойного стержневого молниеотвода значения rx и Кx во внешних областях зон защиты определяют также, как и для одиночного молниеотвода.
Расчетную ширину внутренней зоны защиты (2bx) на высоте hx находят по формуле:
(26.6)
Зону защиты для групп, состоящих из трех или четырех молниеотводов, определяют следующим образом:
при h ≤ 30 м D ≤ 8ha ; (26.7)
при h > 30 м D ≤ 8(5,5
)ha (26.8)
де «D» - диаметр окружности, проходящей через вершины треугольника, образованного тремя молниеотводами, или диагональ четырехугольника, образованного четырьмя молниеотводами.
Внешний радиус защиты rx в этом случае определяют так же, как и для одиночного молниеотвода, а расчетную ширину внутренней зоны защиты – по формуле 26.6 или по специальным кривым.
Тросовые молниеотводы применяют для защиты протяженных объектов (линии электропередачи, подходы к подстанциям, электростанциям и т.п.).
Зона защиты одиночного тросового молниеотвода на высоте подвеса проводов представляет собой пространство в форме полосы шириной 2rx. Радиус защиты одиночного тросового молниеотвода:
(26.9)
где h – высота подвеса троса;
hx – высота подвеса провода.
Коэффициент защиты одиночного тросового молниеотвода:
(26.10)
где ha – активная высота молниеотвода;
a - защитный угол молниеотвода (принимаемый = 80°).
Внешние зоны защиты двух параллельно расположенных тросовых молниеотводов так же, как и для одиночного, но защитный угол принимают обычно равным 20°. Для защиты среднего провода ВЛ необходимо соблюдение условия:
Ha ³ a/4,
где «а» - расстояние между точками закрепления тросов.


Зона защиты одиночного тросового молниеотвода.

Зона защиты одиночного стержневого молниеотвода.
Конструктивное выполнение грозозащитных устройств.
Молниеприемники стержневых молниеотводов выполняются в виде стоек, возвышающихся над сооружением.
Молниеприемники тросовых молниеотводов выполняются в виде тросов, натянутых над сооружением.
Молниеприемником сеточного молниеотвода является сетка, проложенная непосредственно по кровле здания.
Стержневые молниеотводы в сравнении с тросовыми более эффективны, просты и экономичны. Тросовые молниеотводы применяются для защиты протяженных объектов, а также в тех случаях, когда густая сеть коммуникаций не позволяет установить стержневые молниеотводы. Установка сетчатых молниеотводов не гарантирует 100% защиты объекта от прямого удара молнии и поэтому может быть рекомендована только для защиты неответственных объектов.
Токоотводы должны быть приложены по кратчайшим путям от молниеприемника к заземлителю. Минимальное сечение стальных токоотводов должно быть равно 25 мм2. Токоотводы от коррозии необходимо защищать масляной краской или оцинковкой. Соединения следует выполнять в основном сваркой.
Рекомендуемые типы молниеприемников.
Таблица 11-7
| Тип молниеотвода | Выполнение молниеприемника |
| Стержневой: а) h ≤ 4 м; б) h = 4 – 5 м; в) h > 15 м. | Стойка: 1) круглая сталь 25 мм; 2) угловая сталь № (4 – 5); 3) труба стальная водогазопроводная (40 – 50) мм; телескопическая стойка из бесшовный труб разных диаметров; металлическая или железобетонная конструкция (решетчатая пространственная мачта). |
| Тросовый | Стальной многожильный оцинкованный трос S не < 50 мм2. |
| Сеточный | Стальная оцинкованная сетка из круглой стали диаметром (8 – 10) мм с размером ячейки (5 х 5) м. |
Пример: выбрать стержневой молниеотвод для защиты от прямых ударов молнии трансформаторной подстанции «У»=35 – 10 кВ с трансформатором S=2500 кВА. Молниеотвод необходимо установить на концевой опоре ВЛ – 35 кВ. На расстоянии 9 м от концевой опоры расположен портал с электрооборудованием Н=5м; на расстоянии 17 м – РУ 10 кВ, Н=4м.
Решение: определим высоту h молниеотвода при rx=17 м и hx=4 м;
17=1,6h(h-4)/(h+4);
откуда 17h+68=1,6h2-6,4h.
Решая квадратное уравнение 1,6h2-23,4h-68=0, находим, что:

м.
Определяем радиус защиты для объекта h=5 м:
м.
Следовательно, портал с электрооборудованием, находится на расстоянии 9 м от молниеотвода Н=17,2 м, также будет входить в зону его защиты.
Пример: выбрать трубчатые разрядники для грозозащиты разъединительного пункта, установленного на ВЛ 10 кВ. полное результирующее сопротивление элементов электроустановки до разъединительного пункта, приведенное к среднему номинальному «У» ступени К.З. Уср=10,5 кВ, равно 14 Ом.
Решение: определяем действительное значение тока при трехфазном К.З.:
Вместе с этой лекцией читают "Действие и статус в контексте деловой культуры".
кА
при К.З. на ВЛ 10 кВ
кА.
Принимаем к установке трубчатые разрядники РТФ – 10/0,2 – 1
>
кА;
<
кА.
И. П. Качанов «Курсовое и дипломное проектирование», страница 312.





















