Цепные передачи
3.7. Цепные передачи
3.7.1 Общие сведения
Цепная передана относится к передачам зацеплением с гибкой связью. Состоит из ведущей и ведомой звездочек, огибаемых цепью (рис. 3.39, а, б).
Достоинства:
- по сравнению с зубчатыми передачами цепные передачи могут передавать движение между валами при значительных межосевых расстояниях (> 5 м);
- по сравнению с ременными передачами: а) более компактны, б) могут передавать большие мощности (до 3000 кВт), в) силы, действующие на валы, значительно меньше, так как предварительное натяжение цепи мало, г) могут передавать движение одной цепью нескольким звездочкам.
Недостатки:
- значительный шум вследствие удара звена цепи при входе в зацепление, особенно при малых числах зубьев звездочек и большом шаге (этот недостаток ограничивает возможность применения цепных передач при больших скоростях);
- сравнительно быстрое изнашивание шарниров цепи вследствие затруднительного подвода смазочного материала;
Рекомендуемые материалы
- удлинение цепи из-за износа шарниров, что требует натяжных устройств.
Применение. Цепные передачи применяют в станках, транспортных, сельскохозяйственных и других машинах для передачи движения между параллельными валами, расположенными на значительном расстоянии, когда зубчатые передачи непригодны, а ременные ненадежны. Наибольшее применение получили цепные передачи мощностью до 120 кВт при окружных скоростях до 15 м/с.

Рис. 3.39
3.7.2 Типы цепей
Цепи по назначению разделяют на три группы: грузовые — используют для закрепления грузов; тяговые — применяют для перемещения грузов в машинах непрерывного транспорта (конвейерах, подъемниках, эскалаторах и др.); приводные — используют для передачи движения.
Рассмотрим основные типы цепей (рис. 3.40): грузовые — круглозвенная (а), пластинчатая шарнирная (б); тяговая пластинчатая (в); приводные — роликовая однорядная, втулочная (г), роликовая двухрядная (д), роликовая с изогнутыми пластинами (е), зубчатая с внутренними направляющими пластинами (ж), зубчатая с боковыми направляющими пластинами (з), фасоннозвенная крючковая (и), фасоннозвен-ная втулочно-штыревая (к). Грузовые и тяговые цепи подробно рассматриваются в курсе подъемно-транспортных машин, в курсе «Детали машин» основное внимание уделяется приводным цепям. Основным геометрическим параметром цепи является шаг Р — расстояние между осями соседних шарни ров. Большинство стандартных цепей имеют шаг, кратный 1 дюйму (25,4 мм).

Рис. 3.40
Наиболее широко применяют приводные роликовые цепи (рис. 3.41), которые образуются из последовательно чередующихся внутренних и наружных звеньев. Внутренние звенья состоят из внутренних пластин 1 и запрессованных в их отверстия гладких втулок 2, на которых свободно вращаются ролики 3. Наружные звенья состоят из наружных пластин 4 и запрессованных в их отверстия валиков 5. Концы валиков после сборки расклепывают. Благодаря натягу в соединениях наружных пластин с валиками и внутренних пластин со втулками и зазору между валиком и втулкой образуется шарнирное соединение. Многорядные цепи с числом рядов от двух до восьми (см. рис. 3.40, д) собирают из деталей с такими же размерами, что и однорядные, кроме валиков, имеющих соответственно большую длину. Нагрузочная способность цепей почти прямо пропорциональна числу рядов, что позволяет в передачах с многорядными цепями уменьшить шаг, радиальные габариты звездочек и динамические нагрузки.
При больших динамических, в частности ударных, нагрузках, частых реверсах применяют роликовые цепи с изогнутыми пластинами (см. рис. 3.40, е). В связи с тем, что пластины работают на изгиб, они обладают повышенной податливостью на растяжение. При работе цепных передач в условиях, вызывающих возрастание трения в шарнирах (запыленные и химически активные среды), используют открыто шарнирные пластинчатые цепи. Будучи открытым, шарнир такой цепи самоочищается от попадающих в него абразивных частиц. Наружные звенья 1 такой цепи не отличаются от аналогичных звеньев роликовой цепи. Внутренние звенья образуются из пластин 2, имеющих отверстия в форме восьмерки, и фасонных валиков 3, заменяющих втулку. Валик 4 свободно проходит через отверстие в пластине 2 и взаимодействует с фасонным валиком 3. Замена тонкостенных втулки и ролика не только удешевляет цепь, но и резко повышает сопротивление усталости деталей цепи. Зубчатые цепи в настоящее время вытеснены более дешевыми и технологичными прецизионными роликовыми цепями, которые не уступают зубчатым по кинематической точности и шумовым характеристикам.

Рис. 3.41 Рис. 3.42
Соединение концов роликовых, втулочных и открытошар-нирных цепей в замкнутый контур осуществляют с помощью соединительных и переходных звеньев.
3.7.3. Основные параметры цепных передач
Цепные передачи используют в широком диапазоне мощностей от долей до сотен киловатт, обычно до 100 кВт. Размеры передачи также изменяются в широком диапазоне, межосевые расстояния достигают 8 м. Частоты вращения звездочек и скорость цепи ограничиваются величиной силы удара в зацеплении, износом шарниров и шумом передачи. Скорость цепи обычно до 15 м/с, но в передачах высокого качества при эффективном смазывании достигает 35 м/с. Средняя скорость цепи. м/с.

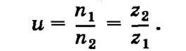
где z1 — число зубьев малой звездочки; п1 — частота ее вращения, мин-1; Р — шаг цепи, мм. Передаточное отношение определяют из условия равенства средней скорости цепи на звездочках:

Отсюда передаточное отношение

Здесь z2 — число зубьев большой (ведомой) звездочки; п2 — частота ее вращения. Передаточное отношение ограничивается габаритами передачи, диаметром большой звездочки, обычно u ≤ 7. Минимальные числа зубьев звездочек ограничиваются износом шарниров, динамическими нагрузками и шумом передачи. Чем меньше число зубьев звездочки, тем больше износ, так как угол поворота звена при набегании цепи на звездочку и сбегании с нее равен 360°/z. Минимальное число зубьев малой звездочки для силовых передач общего назначения выбирают по эмпирической зависимости

При низких частотах вращения zlmin может быть уменьшено до 13.
Число зубьев большой (ведомой) звездочки

По мере износа шаг цепи увеличивается и ее шарниры поднимаются по профилю зуба звездочки на больший диаметр, что может привести в конечном счете к выходу цепи из зацепления со звездочкой. При этом предельно допустимое увеличение шага цепи тем меньше, чем больше число зубьев звездочки. Поэтому максимальное число зубьев большой звездочки

Предпочтительно принимать нечетное число зубьев звездочек (особенно малой), что в сочетании с четным числом звеньев цепи способствует равномерному износу шарниров цепи и зубьев звездочек. По этой же причине желательно выбирать число зубьев малой звездочки из ряда простых чисел.
Делительные диаметры звездочек определяют по расположению центров шарниров цепи на зубьях звездочек. Из рассмотрения треугольника АОВ на схеме малой звездочки цепной передачи следует:

где φ = 360°/z1 — угловой шаг; z1 — число зубьев малой звездочки.
Тогда делительные диаметры малой и большой звездочек:

где Δ и De2 — наружные диаметры звездочек.
Оптимальное межосевое расстояние

При а < З0Р наблюдается ускоренный износ шарниров цепи в связи с повышенной частотой входа каждого шарнира в зацепление. При а > 50Р даже небольшой износ каждого шарнира цепи вызывает значительное удлинение цепи, что приводит к нарушению зацепления цепи с зубьями звездочек. Обычно межосевое расстояние ограничивают величиной

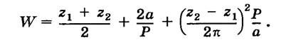
Формула для определения длины цепи получена по аналогии с формулой для длины ремня, число звеньев получают делением длины цепи на шаг. Число звеньев цепи W зависит от межосевого расстояния а, шага Р и чисел зубьев звездочек z1 и z2

Полученное значение W округляют до ближайшего большего четного числа. Четное число звеньев цепи позволяет избежать применения переходных звеньев при соединении концов цепи. Межосевое расстояние (без учета провисания цепи) определяют как больший корень квадратного уравнения:

Цепь должна иметь некоторое провисание во избежание повышенной нагрузки на нее и валы от силы натяжения и радиального биения звездочек. Для этого межосевое расстояние уменьшают на (0,002...0,004)а.
Окружная сила на звездочках

где Т1— вращающий момент на ведущей звездочке, Н*м; d1 — делительный диаметр ведущей звездочки, мм; Р1 — мощность на ведущей звездочке, кВт; v1 — скорость движения цепи, м/с.
3.7.4. Расчет цепных передач
Расчет цепной передачи начинают с определения величины статической силы,

где S — коэффициент безопасности, зависящий от степени ответственности передачи, точности определения действующих нагрузок и коррозионного воздействия на передачу. Минимальные значения коэффициента безопасности принимают S = 6... 10. По найденному значению F'p по стандартам на приводные цепи находят несколько вариантов цепи, для которых разрушающая сила несколько больше требуемой (Fp > F'p ). Найденные варианты различаются шагом и числом рядов цепи. Предварительный расчет, как правило, не позволяет выбрать единственный наиболее целесообразный вариант, а лишь очерчивает область возможных решений.
Основной расчет передачи проводят по условию износостойкости шарниров цепи. Условное давление в шарнирах цепи в предположении нулевого зазора между валиком и втулкой и равномерного распределения давления в шарнире

где Кэ — коэффициент эксплуатации; Ft — окружная сила на звездочках; А — площадь проекции шарнира; [р] — допустимое давление для средних эксплуатационных условий. Площадь проекции шарнира

где d — диаметр валика; b — длина втулки. Для стандартных цепей А определяется по таблицам в зависимости от шага Р. Коэффициент эксплуатации КЭ представляют в виде

Коэффициент КД учитывает динамичность нагрузки: при спокойной нагрузке KД = 1; при нагрузке с толчками 1,2...1,5; при сильных ударах 1,8. Коэффициент Ка учитывает влияние длины цепи (межосевого расстояния): чем длиннее цепь, тем реже каждое звено входит в зацепление со звездочкой и тем меньше износ в шарнирах; при а — (30...50)Р принимают Ка = 1; в других случаях Ка =
, где L0 — длина цепи при a = 40Р, L — длина рассчитываемой цепи. Коэффициент КН зависит от влияния наклона линии центров звездочек передачи к горизонту; чем больше наклон передачи, тем меньше допустимый суммарный износ цепи; при угле наклона ψ ≤ 45° КH = 1 при ψ > 45° КH =
. Коэффициент Крег учитывает влияние регулировки цепи; для передач с регулировкой положения оси одной из звездочек Крег = 1, для передач с нерегулируемым положением звездочек Крег = 1,25. Коэффициент Ксм учитывает характер смазывания; при непрерывном смазывании в масляной ванне или от насоса Ксм = 0,8; при регулярном капельном или внутришарнирном смазывании Ксм= 1, при нерегулярном смазывании 1,5. Коэффициент Креж учитывает режим работы передачи, Креж =
, где Nсм — число смен работы передачи в сутки. Коэффициент Кт учитывает температуру окружающей среды, при -25 °С < Т < 150 °С принимают Кт = 1. Если по расчету значение коэффициента КЭ > 3, следует принять меры по улучшению условий работы.
Сила F1, действующая в ведущей ветви цепи, состоит из окружной силы Ft и силы натяжения ведомой ветви F2:

Сила натяжения ведомой ветви

где F0 — натяжение цепи от силы тяжести; Fц — натяжение от центробежных сил.
Если ветви ремней параллельны, сила, действующая на валы, F∑ = F1 + F2. В общем случае, если ветви цепи не параллельны, силу на вал определяют, как и для ременной передачи, из треугольника ОАВ. Приближенно сила, действующая на валы передачи,

где kB — коэффициент, учитывающий вес цепи: для горизонтальной передачи принимают kB = 1,15, для вертикальной kB= 1,05.
Переменность скорости движения цепи
При работе цепной передачи движение цепи определяется движением шарнира звена, вошедшего последним в зацепление с ведущей звездочкой. Скорость шарнира vш, м/с, при постоянной угловой скорости ведущей звездочки ω1, d1 (рис. 10.6)
uш = 500 ω1d1

Рис. 3.42
где d1 — делительный диаметр малой (ведущей) звездочки, мм.
В произвольном угловом положении звездочки, когда ведущий шарнир повернут относительно перпендикуляра к ведущей ветви цепи под углом а, скорость цепи

Так как угол а изменяется в пределах от 0 до φ1/2 = n/zl , скорость цепи изменяется от vш до vш cos (π/z1). Поперечная составляющая скорости цепи
22 Архиваторы и деархиваторы - лекция, которая пользуется популярностью у тех, кто читал эту лекцию.

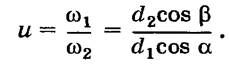
Мгновенная угловая скорость ведомой звездочки

где d2 — делительный диаметр большой (ведомой) звездочки; β — угол поворота шарнира на ведомой звездочке (по отношению к перпендикуляру на ведущую ветвь цепи), угол β изменяется в пределах от 0 до π/z2. Мгновенное передаточное отношение.

Из зависимости следует: передаточное отношение цепной передачи не постоянно; равномерность движения тем выше, чем больше числа зубьев звездочек, так как тогда cos α и cos β ближе к единице, основное влияние оказывает увеличение числа зубьев малой звездочки. Непостоянство скорости цепи вызывает динамические нагрузки и удары, не позволяет использовать цепные передачи в приводах с высокими требованиями к точности вращения валов.






















