Червячные передачи
3.6 Червячные передачи
3.6.1 Общие сведения
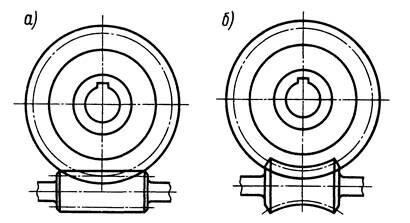
Червячные передачи применяют для передачи вращательного движения между валами, у которых угол скрещивания осей обычно составляет 0 = 90° (рис. 3.28). В большинстве случаев ведущим является червяк, т. е. короткий винт с трапецеидальной или близкой к ней резьбой.

Рис. 3.28
Для облегания тела червяка венец червячного колеса имеет зубья дугообразной формы, что увеличивает длину контактных линий в зоне зацепления.
Червячная передача — это зубчато-винтовая передача, движение в которой осуществляется по принципу винтовой пары.
Достоинства червячных передач:
- плавность и бесшумность работы;
Рекомендуемые материалы
- компактность и сравнительно небольшая масса конструкции;
- возможность большого редуцирования, т. е. получения больших передаточных чисел (в отдельных случаях в несиловых передачах до 1000);
- возможность получения самотормозящей передачи, т. е. допускающей передачу движения только от червяка к колесу. Самоторможение червячной передачи позволяет выполнить механизм без тормозного устройства, препятствующего обратному вращению колеса.
- высокая кинематическая точность.
Недостатки:
- сравнительно низкий к. п. д. вследствие скольжения витков червяка по зубьям колеса;
- значительное выделение теплоты в зоне зацепления червяка с колесом;
- необходимость применения для венцов червячных колес дефицитных антифрикционных материалов;
- повышенное изнашивание и склонность к заеданию.
Применение. Червячные передачи применяют при небольших и средних мощностях, обычно не превышающих 100 кВт. Применение передач при больших мощностях неэкономично из-за сравнительно низкого к. п. д. и требует специальных мер для охлаждения передачи во избежание сильного нагрева.
Червячные передачи широко применяют в подъемно-транспортных машинах, троллейбусах и особенно там, где требуется высокая кинематическая точность (делительные устройства станков, механизмы наводки и т. д.).
Червячные передачи во избежание их перегрева предпочтительно использовать в приводах периодического (а не непрерывного) действия.
3.6.2 Классификация червячных передач
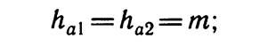
В зависимости от формы внешней поверхности червяка (рис. 3.29) передачи бывают с цилиндрическим (а) или с глобоидным (б) червяком.

3.29
Глобоидная передача имеет повышенный к. п. д., более высокую несущую способность, но сложна в изготовлении и очень чувствительна к осевому смещению червяка, вызванному изнашиванием подшипников.
Ниже рассматриваются передачи с цилиндрическими червя ками. В зависимости от направления линии витка червяка червячные передачи бывают с правым и левым направлением линии витка.
В зависимости от числа витков (заходов резьбы) червяка передачи бывают с одновитковым или многовитко-вым червяком.
В зависимости от расположения червяка относительно колеса (рис. 3.30) передачи бывают с нижним (а), боковым (б) и верхним (в) червяками. Чаще всего расположение червяка диктуется условиями компоновки изделия. Нижний червяк обычно применяют при окружной скорости червяка v1<= 5 м/с во избежание потерь на перемешивание и разбрызгивание масла.

Рис. 3.30
В зависимости от формы винтовой поверхности резьбы цилиндрического червяка передачи бывают с архимедовым, конволютным и эвольвентным червяками. Каждый из них требует особого способа нарезания.

Рис. 3.31
Если резец, имеющий в сечении форму трапеции, установить на станке так, чтобы верхняя плоскость резца А — А проходила через ось червяка (положение / на рис. 3.31), то при нарезании получится винтовая поверхность, которая в сечении, перпендикулярном оси червяка, даст кривую — архимедову спираль. Червяк с такой винтовой поверхностью называют архимедовым. Архимедов червяк в осевом сечении имеет прямолинейный профиль витка, аналогичный инструментальной рейке. Угол между боковыми сторонами профиля витка у стандартных червяков 2а = 40°.
Если тот же резец повернуть на угол подъема винтовой линии червяка ψ (положение 2 на рис. 15.4) так, чтобы верхняя плоскость резца А — А была перпендикулярна винтовой линии, то при нарезании получится винтовая поверхность, которая в сечении, перпендикулярном оси червяка, даст кривую — конволюту *, а червяк соответственно будет называться конволютным.
Если резец установить так, чтобы верхняя плоскость резца А—А (положение 3 на рис. 15.4), смещенная на некоторую величину е, была параллельна оси червяка, то при нарезании получится винтовая поверхность, которая в сечении, перпендикулярном оси червяка, даст кривую — эвольвенту окружности, а червяк будет называться эвольвентным. Эвольвентный червяк представляет собой цилиндрическое косозубое колесо с эвольвентным профилем и с числом зубьев, равным числу витков червяка *.
Практика показала, что при одинаковом качестве изготовления форма профиля нарезки червяка мало влияет на работоспособность передачи. Выбор профиля нарезки червяка зависит от способа изготовления и связан также с формой инструмента для нарезания червячного колеса. На практике наибольшее распространение получили архимедовы червяки, которые и рассматриваются ниже.
3.6.3 Основные геометрические соотношения в червячной передаче
Геометрические размеры червяка и колеса определяют по формулам, аналогичным формулам для зубчатых колес.
В червячной передаче расчетным является осевой модуль червяка т, равный торцовому модулю червячного колеса.
Значения расчетных модулей m выбирают из ряда: 2; 2,5; 3,15; 4; 5; 6,3; 8; 10; 12,5; 16; 20 мм.
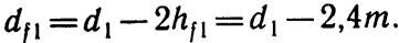
Основными геометрическими размерами червяка являются (рис. 3.32):
угол профиля витка в осевом сечении
2α = 40°.
расчетный шаг червяка

откуда расчетный модуль


Рис. 3.32

Рис. 3.33
Схема определения делительного угла подъема линии витка
ход витка

где z1 — число витков червяка;
высота головки витка червяка и зуба колеса (см. рис. 15.6)

высота ножки витка червяка и зуба колеса

делительный диаметр червяка, т. е. диаметр такого цилиндра червяка, на котором толщина витка равна ширине впадины:

где q — число модулей в делительном диаметре червяка, или коэффициент диаметра червяка. Чтобы червяк не был слишком тонким, q увеличивают с уменьшением m. Тонкие червяки при работе получают большие прогибы, что нарушает правильность зацепления.
Значения коэффициентов диаметра червяка q выбирают из ряда: 7,1; 8,0; 9,0; 10,0; 11,2; 12,5; 14,0; 16,0; 18,0; 20,0; 22,4; 25,0.
Делительный угол подъема линии витка (см. рис. 3.33)

Диаметр вершин витков (см. рис. 15.6)

Диаметр впадин витков

Длина нарезанной части червяка зависит от числа витков:
при z1 = 1 и 2 b ≥ m (11+0,06z2),
при z1 = 4 b ≥ m (12,5 + 0,09z2).
Для фрезеруемых и шлифуемых червяков по технологическим причинам b1 увеличивают приблизительно на Зm.
Корригирование червячных передач выполняют в целях доведения межосевого расстояния до стандартного или заданного значения. Осуществляется так же, как и в зубчатых передачах, смещением инструмента относительно заготовки червячного колеса при нарезании.
Некорригированные и корригированные червячные колеса нарезают одним и тем же инструментом, а так как червячная фреза и червяк должны иметь одинаковые размеры, то корригирование осуществляют только у колеса.
При заданном межосевом расстоянии а%* коэффициент смещения инструмента

По условию неподрезания и незаострения зубьев значение х выбирают в пределах ±1.
Основные геометрические размеры венца червячного колеса определяют в среднем его сечении (рис. 15.8). К ним относятся:
делительный диаметр

диаметр вершин зубьев

диаметр впадин колеса

межосевое расстояние — главный параметр червячной передачи

наибольший диаметр червячного колеса


Рис. 3.34
ширина венца червячного колеса зависит от числа витков червяка:
при z1 = 1...2 b2 = 0,355аw,
при z1 = 4 b2 = 0,315aw.
В ГОСТе рекомендуются сочетания параметров z1, z2, q, m, x, обеспечивающие при стандартных межосевых расстояниях aw получение различных передаточных чисел и.
3.6.4. Скорость скольжения в передаче.
Передаточное число. Во время работы червячной передачи витки червяка скользят по зубьям червячного колеса. Скорость скольжения vs (рис. 15.9) направлена по касательной к винтовой линии делительного цилиндра червяка и определяется из параллелограмма скоростей (см. рис. 15.9, где v1 и v2 — окружные скорости червяка и колеса):

Как видно из формулы (15.15), всегда vs > v1. Большое скольжение в червячной передаче повышает изнашиваемость зубьев червячного колеса, увеличивает склонность к заеданию (см. § 8.15).
Для червячных передач предусмотрено 12 степеней точности. Для силовых передач наибольшее применение имеют 7-я (при vs ≤ 10 м/с) и 8-я (при vs ≤ 5 м/с) степени точности.
Передаточное число и червячной передачи определяют по условию, что за каждый оборот червяка колесо поворачивается на число зубьев, равное числу витков червяка:


Рис. 3.35
где ω1 и ω2 — угловые скорости червяка и колеса; z1 и z2 — число витков червяка и число зубьев колеса.
На практике в силовых передачах применяют червяки с числом витков z1 = 1; 2; 4. С увеличением z1 возрастают технологические трудности изготовления передачи и увеличивается число
зубьев червячного колеса z2.
Число витков червяка z1 зависит от передаточного числа u:
u............8...14 св. 14...30 св.30
z1............ 4 2 1
Во избежание подреза основания ножки зуба в процессе нарезания зубьев принимают z2 ≥ 26. Оптимальным является z2 = 40...60. Диапазон передаточных чисел в этих передачах u = 10...80.
3.6.5. Силы в зацеплении
В приработанной червячной передаче, как и в зубчатых передачах, сила червяка воспринимается не одним, а несколькими зубьями колеса. Для упрощения расчета силу взаимодействия червяка и колеса Fn (рис. 3.36, а) принимают сосредоточенной и приложенной в полюсе зацепления Я по нормали к рабочей поверхности витка. По правилу параллелепипеда Fn раскладывают по трем взаимно перпендикулярным направлениям на составляющие Ft1, Fr1 , Fa1. Для ясности изображения сил на рис. 3.36, б червячное зацепление раздвинуто.

Рис. 3.36
Окружная сила на червячном колесе F12 численно равна осевой силе на червяке Fa1:

где Т2 — вращающий момент на червячном колесе.
Окружная сила на червяке Ft1 численно равна осевой силе на червячном колесе Fa2

где Т1 — вращающий момент на червяке; η — к.п.д. передачи. Радиальная сила на червяке Fr1 численно равна радиальной силе на колесе Fr2 (рис. 3.36, в):

Направления осевых сил червяка и червячного колеса зависят от направления вращения червяка, а также от направления линии витка. Направление силы Ft2 всегда совпадает с направлением вращения колеса, а сила Ft1 направлена в сторону, противоположную вращению червяка (рис. 3.36, б).
Виды разрушения зубьев червячных колес
В червячной паре менее прочным элементом является зуб колеса, для которого возможны все виды разрушений и повреждений, встречающиеся в зубчатых передачах, т. е. усталостное выкрашивание, изнашивание, заедание и поломка зубьев. Из перечисленного наиболее редко встречается поломка зубьев колеса.
В передачах с колесами из оловянных бронз (мягкие материалы) усталостное выкрашивание рабочих поверхностей зубьев колеса наиболее опасно. Возможно и заедание, которое проявляется в намазывании бронзы на червяк; сечение зуба постепенно уменьшается, при этом передача может еще продолжать работать длительное время.
Заедание в венцах колес из твердых бронз (алюминиевых) переходит в задир с последующим катастрофическим изнашиванием зубьев колеса частицами бронзы, приварившимися к виткам червяка. Этот вид разрушения зубьев встречается наиболее часто.
Для предупреждения заедания рекомендуется тщательно обрабатывать поверхности витков и зубьев, применять материалы с высокими антифрикционными свойствами.
Изнашивание зубьев колес червячных передач зависит от степени загрязненности масла, точности монтажа, частоты пусков и остановок, а также от значений контактных напряжений.
Излом зубьев червячных колес происходит в большинстве случаев после изнашивания.
3.6.6. Расчет на прочность червячных передач
В червячных передачах, аналогично зубчатым, зубья червячного колеса рассчитывают на контактную прочность и на изгиб. Как отмечалось выше, в червячных передачах кроме выкрашивания рабочих поверхностей зубьев велика опасность заедания и изнашивания, которые зависят от значений контактных напряжений σH. Поэтому для всех червячных передач расчет по контактным напряжениям является основным, а расчет по напряжениям изгиба — проверочным.
Расчет по контактным напряжениям. В основу вывода расчетных формул для червячных передач положены те же исходные зависимости и предположения, что и в зубчатых передачах.
Наибольшее контактное напряжение в зоне зацепления по формуле Герца

где Eпр — приведенный модуль упругости

для стального червяка E1 ≈ 2,1*10 Н/мм2 , для бронзового или чугунного колеса E2 ≈ 0,98*105 Н/мм2;
μ— коэффициент Пуассона ;
q — нормальная нагрузка на единицу длины контактных линий. Эта нагрузка распределяется неравномерно вследствие деформаций валов червяка и колеса, а также подшипников и корпуса передачи:

Здесь Fn — нагрузка, нормальная к поверхности зуба червячного колеса и витка червяка и приложенная в полюсе зацепления.

l∑— суммарная длина контактных линий в зацеплении червячной передачи. Длина одной контактной линии прямо пропорциональна делительному диаметру червяка d1 и углу обхвата 2δ. Если учесть, что с увеличением угла подъема витка ψ длина линии контакта растет обратно пропорционально cos ψ, то при коэффициенте перекрытия εα и минимальном коэффициенте колебания суммарной длины контактных линий ξ получим


Рис. 3.37
При коэффициенте ξ = 0,75, угле обхвата 2σ ≈ 100° и коэффициенте торцового перекрытия в средней плоскости сечения колеса εα =1,8...2,2 длина контактных линий

Здесь дополнительно введен коэффициент нагрузки К = КHβКHv, учитывающий неравномерность распределения нагрузки вследствие деформации деталей передачи, а также дополнительные динамические нагрузки;
ρпр — приведенный радиус кривизны профилей витков червяка и зубьев колеса в полюсе зацепления.
В осевом сечении профиль витка червяка прямолинейный (см. рис. 3.37), поэтому приведенный радиус кривизны для червячной пары равен радиусу кривизны профиля зуба червячного колеса в полюсе зацепления:

После подстановки получим

Подставив Eпр, μ, q, ρпр в формулу Герца и приняв а = 20°, получим формулу проверочного расчета червячных передач по контактным напряжениям:

где σH — расчетное контактное напряжение для поверхностей зубьев и витков в зоне зацепления, Н/мм2; d1, d2— диаметры червяка и колеса, мм; Ft2 — окружная сила на червячном колесе, Н.
Червячные передачи работают плавно, бесшумно, поэтому в них дополнительные динамические нагрузки невелики. Хорошая приработка зубьев колес к виткам червяков значительно уменьшает концентрацию нагрузки.
При удовлетворительной точности изготовления и постоянной нагрузке принимают: К=1 при v2 ≤ 3 м/с; K = 1,1...1,3 при v2 >3 м/с, где v2 – окружная скорость колеса.
Заменив в формуле значения d1 = mq, d2 = mz2, m = 2aw / (z2 + q) и приняв из условия жесткости червяка q ≈ z2/4 и K ≈ 1, получим формулу проектировочного расчета червячных передач:

Если червячная передача должна быть стандартной, то полученное расчетным путем значение aw округляют в большую сторону до стандартного значения, которому соответствуют определенные m, q, z1 и z2.
Для нестандартных червячных передач полученное значение aw округляют до ближайшего значения из ряда нормальных линейных размеров.
Расчет по напряжениям изгиба. Расчет зубьев червячного колеса на изгиб аналогичен расчету зубьев цилиндрических косо-зубых колес. Вследствие дугообразной формы зубьев считают, что их прочность на изгиб примерно на 40 % выше, чем зубьев цилиндрических косозубых колес.
Для червячного зацепления коэффициент Yε= 1/(ξεα) = 1/(0,75*1,8) = 0,74. При среднем значении делительного угла подъема линии витка ψ ≈ 10° коэффициент Yβ = 1 —ψ /140° = 1 — 10°/140° = 0,93. С учетом этих поправок получают формулу проверочного расчета зубьев червячного колеса по напряжениям изгиба:

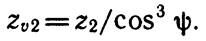
где σF — расчетное напряжение изгиба в опасном сечении зубьев червячного колеса; YF2— коэффициент формы зуба колеса, который выбирают в зависимости от эквивалентного числа зубьев zv2:
zv2.............26 28 30 32 35 37 40
YF2..........1,85 1,80 1,76 1,71 1,64 1,61 1,55
Продолжение
zv2..........45 50 60 80 100 150 300
YF2..........1,48 1,45 1,40 1,34 1,30 1,27 1,24
Так как зуб червячного колеса имеет угол наклона ψ, то по аналогии с косозубым колесом

Витки червяка более прочны, чем зубья колеса, а потому в проверке прочности не нуждаются.
3.6.7 Тепловой расчет
При работе червячных передач выделяется большое количество теплоты. Потерянная мощность (1 — η) Р1 на трение в зацеплении и подшипниках, а также на размешивание и разбрызгивание масла переходит в теплоту, которая нагревает масло, а оно через стенки корпуса передает эту теплоту окружающей среде. Если отвод теплоты недостаточен, передача перегреется. При перегреве смазочные свойства масла резко ухудшаются (его вязкость падает) и возникает опасность заедания, что может привести к выходу передачи из строя.
Тепловой расчет червячной передачи при установившемся режиме работы производится на основе теплового баланса, т. е. равенства тепловыделения QB и теплоотдачи Q0.
Количество теплоты, выделяющееся в непрерывно работающей передаче в одну секунду

где η — к.п.д. червячной передачи; Р1— мощность на червяке, Вт

Здесь Т2— в Нм; ω2 — в рад/с.
Количество теплоты, отводимое наружной поверхностью корпуса в одну секунду

где А — площадь поверхности корпуса, омываемая внутри маслом или его брызгами, а снаружи воздухом, м2. Поверхность днища корпуса не учитывается, так как она не омывается свободно циркулирующим воздухом; tв— температура воздуха вне корпуса; в цеховых условиях обычно tв = 20°С; tM—температура масла в корпусе передачи, °С; Kт— коэффициент теплопередачи, т. е. число, показывающее, сколько теплоты в секунду передается одним квадратным метром поверхности корпуса при перепаде температур в один градус, зависит от материала корпуса редуктора и скорости циркуляции воздуха (интенсивности вентиляции помещения).
Для чугунных корпусов, не обдуваемых вентилятором, принимают Kт = 12... 18 Вт/(м2*°С). Большие значения используют при незначительной шероховатости и загрязненности поверхности наружных стенок, хорошей циркуляции воздуха вокруг корпуса и интенсивном перемешивании масла (при нижнем расположении червяка).
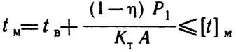
По условию теплового баланса Qв = Q0, т.е.

откуда температура масла в корпусе червячной передачи при непрерывной работе без искусственного охлаждения

Значение [t]M зависит от марки масла. Обычно принимают [t]М = 80...95°С.
23 Понятие самостоятельная деятельность и структура умения ее организовывать у старших дошкольников - лекция, которая пользуется популярностью у тех, кто читал эту лекцию.
Если при расчете окажется, что tM > [t]M, то необходимо: либо увеличить поверхность охлаждения A, применяя охлаждающие ребра (в расчете учитывается только 50 % поверхности ребер, рис. 15.12), либо применить искусственное охлаждение, которое может осуществляться:
а) обдувом корпуса воздухом с помощью вентилятора, насаженного на вал червяка (рис. 3.38); в этом случае увеличивается Кт;
б) охлаждением масла водой, проходящей через змеевик;
в) применением циркуляционной системы смазки со специальным холодильником. В случаях б) и в) тепловой расчет червячных передач производится как проверочный после определения размеров корпуса при эскизном проектировании.

Рис. 3.38




















