Мощность и момент
Лекция 5. Мощность и момент
План лекции
5.1. Мощность и момент, подводимые к ведущим колесам автомобиля
5.2. Потери мощности в трансмиссии. КПД трансмиссии
5.1. Мощность и момент, подводимые к ведущим колесам автомобиля
В условиях эксплуатации автомобиль может двигаться на различных режимах. К этим режимам относятся установившееся движение (равномерное), разгон (ускоренное), торможение (замедленное) и накат (по инерции). При этом в условиях города продолжительность движения составляет приблизительно 20 % для установившегося режима, 40 % — для разгона и 40 % — для торможения и наката.
При всех режимах движения, кроме наката и торможения с отсоединенным двигателем, к ведущим колесам подводятся мощность и крутящий момент. Для определения этих величин рассмотрим схему, представленную на рис. 5.1. Здесь Ne — эффективная мощность двигателя; NТР — мощность, подводимая к трансмиссии; Nкол — мощность, подводимая к ведущим колесам; Jм — момент инерции маховика (под этой величиной условно понимают момент инерции всех вращающихся частей двигателя и трансмиссии: маховика, деталей сцепления, коробки передач, карданной передачи, главной передачи и др.).
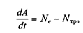
При разгоне автомобиля определенная доля мощности, передаваемой от двигателя к трансмиссии, затрачивается на раскручивание вращающихся частей двигателя и трансмиссии. Эти затраты мощности
(5.1)
где А — кинетическая энергия вращающихся частей.
Учтем, что выражение для кинетической энергии имеет вид
Рекомендуемые материалы

Тогда затраты мощности
(5.2)
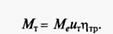
Исходя из уравнений (5.1) и (5.2) мощность, подводимую к трансмиссии, можно представить в виде
(5.3)
Часть этой мощности теряется на преодоление различных сопротивлений (трения) в трансмиссии.

Рис. 5.1. Схема для определения мощности и крутящего момента, подводимых от двигателя к ведущим колесам автомобиля: Д - двигатель; М — маховик; Т — трансмиссия; К — ведущие колеса
Указанные потери мощности оцениваются коэффициентом полезного действия трансмиссии ηтр.
С учетом потерь мощности в трансмиссии подводимая к ведущим колесам мощность
(5.4)
Угловая скорость коленчатого вала двигателя
(5.5)
где ωк — угловая скорость ведущих колес; и— передаточное число трансмиссии.
Передаточное число трансмиссии

где иК — передаточное число коробки передач; иД — передаточное число дополнительной коробки передач (раздаточная коробка, делитель, демультипликатор); ωе — передаточное число главной передачи.
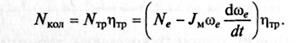
В результате подстановки ωе из соотношения (5.5) в формулу (5.4) мощность, подводимая к ведущим колесам:
(5.6)
При постоянной угловой скорости коленчатого вала второй член в правой части выражения (5.6) равен нулю. В этом случае мощность, подводимая к ведущим колесам, называется тяговой. Ее величина
(5.7)
С учетом соотношения (5.7) формула (5.6) преобразуется к виду
(5.8)
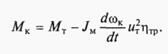
Для определения крутящего момента МК, подводимого от двигателя к ведущим колесам, представим мощности NK0Л и NТ в выражении (5.8) в виде произведений соответствующих моментов на угловые скорости. В результате такого преобразования получим
(5.9)
Подставим в формулу (5.9) выражение (5.5) для угловой скорости коленчатого вала и, разделив обе части равенства на ωк, получим
(5.10)
При установившемся движении автомобиля второй член в правой части формулы (5.10) равен нулю. Момент, подводимый к ведущим колесам, в этом случае называется тяговым. Его величина
(5.11)
С учетом соотношения (5.11) момент, подводимый к ведущим колесам:
(5.12)
5.2. Потери мощности в трансмиссии. КПД трансмиссии
Мощность, подводимая от двигателя к ведущим колесам автомобиля, частично затрачивается в трансмиссии на преодоление трения (сухого или жидкостного).
Потери мощности на трение в трансмиссии (рис. 5.3)

ВеличинаNтрен включает в себя два вида потерь: механические и гидравлические.
Механические потери обусловлены трением в зубчатых зацеплениях, карданных шарнирах, подшипниках, манжетах (сальниках) и т. п. Величина этих потерь зависит главным образом от качества обработки и смазки поверхностей трущихся деталей.
Гидравлические потери мощности связаны с перемешиванием и разбрызгиванием масла в механизмах трансмиссии (коробка передач, раздаточная коробка, ведущие мосты и др.). Величина потерь этого вида зависит от вязкости и уровня масла, залитого в механизмы трансмиссии, частоты вращения валов и шестерен.

Рис. 5.3. Графическая иллюстрация потерь мощности в трансмиссии
автомобиля: v1 — одно из возможных значений скорости автомобиля
КПД трансмиссии равен произведению КПД механизмов, входящих в ее состав:
ηТР= ηк ηкар ηд ηг
где ηк, ηкар, ηд, ηг — КПД соответственно коробки передач, карданной передачи, дополнительной коробки передач и главной передачи.
Ниже приведены значения КПД трансмиссии различных типов автомобилей и ее отдельных механизмов:
Легковые автомобили......................................0,90...0,92
Грузовые автомобили и автобусы...................0,82...0,85
Автомобили повышенной
проходимости.................................................0,80... 0,85
Коробка передач:
прямая передача..............................................0,98...0,99
понижающая передача................................... 0,94...0,96
Карданная передача....................................... 0,97...0,98
Главная передача:
Вам также может быть полезна лекция "7.4 Художественная культура и искусство Византии".
одинарная........................................................0,96...0,97
двойная............................................................0,92...0,94
КПД трансмиссии не остается постоянным в течение всего срока эксплуатации автомобиля. В начале эксплуатации нового автомобиля детали механизмов трансмиссии прирабатываются, и ее КПД в течение некоторого времени повышается. Далее на протяжении длительного периода он остается почти постоянным, а затем начинает снижаться вследствие изнашивания деталей, отклонения их размеров от номинальных и образования зазоров. После капитального ремонта автомобиля и последующей приработки деталей КПД трансмиссии вновь возрастает, но уже не достигает прежнего значения.
Для автомобилей, имеющих в трансмиссии гидравлические передачи (гидротрансформаторы, гидромуфты), КПД трансмиссии равен произведению механического ηМ и гидравлического ηГИД КПД:
ηТР= ηМ ηГИД
Гидравлический КПД существенно зависит от угловой скорости валов и передаваемого момента.






















