Уравнение мощностного баланса
Лекция 9. Уравнение мощностного баланса
План лекции
9.1. Мощностной баланс автомобиля
9.2. Степень использования мощности двигателя
9.3. Разгон автомобиля
9.4. Динамические нормальные реакции на колесах
9.5. Динамическое преодоление подъемов
9.6. Движение накатом
9.1. Мощностной баланс автомобиля
При движении автомобиля тяговая мощность, подводимая к ведущим колесам, затрачивается на преодоление сопротивления движению. По аналогии с уравнением силового баланса можно записать уравнение мощностного баланса автомобиля:
Рекомендуемые материалы
N,= NK + Nn + NB + NH, (9.1)
или
Nr = Na + NB + NH,
которое выражает соотношение между тяговой мощностью на ведущих колесах и мощностями, теряемыми на преодоление сопротивления движению. Уравнение позволяет определить режим движения автомобиля в любой момент.
С помощью уравнения (9.1) строят график мощностного баланса автомобиля, включающий в себя зависимости от скорости движения эффективной и тяговой мощностей, а также мощностей, затрачиваемых на преодоление сопротивления движению.
При построении графика мощностного баланса (рис. 9.1) сначала наносят кривые эффективной Ne и тяговой NT мощностей в зависимости от скорости движения автомобиля на различных передачах. Далее строят кривую мощности, теряемой на преодоление сопротивления дороги NД. Потом от кривой мощности NД откладывают вверх значения мощности NB, затрачиваемой на преодоление сопротивления воздуха при разных значениях скорости движения.

Рис. 9.1. График мощностного баланса автомобиля:
N'Т — тяговая мощность на III передаче при уменьшенной подаче топлива; vx — значение скорости автомобиля; I — III — передачи
Кривая суммарной мощности
определяет тяговую мощность, необходимую для равномерного движения автомобиля. При любой скорости движения вертикальный отрезок N3 заключенный между кривыми NТ и NД + NB характеризует запас мощности. При данной скорости запас мощности может быть израсходован на разгон автомобиля, преодоление дополнительного дорожного сопротивления (например, подъема) или увеличение грузоподъемности путем буксировки прицепа. При одной и той же скорости движения запас мощности на низших передачах больше, чем на высших. Следовательно, при увеличении передаточного числа трансмиссии запас мощности возрастает. Поэтому повышенные дорожные сопротивления преодолевают на низших передачах.
Отрезок, заключенный между кривыми Nе и NТ характеризует механические и гидравлические потери мощности в трансмиссии на трение, которые учитываются коэффициентом полезного действия трансмиссии.
С помощью графика мощностного баланса можно оценить тягово-скоростные свойства автомобиля, решая различные задачи. Рассмотрим некоторые из этих задач.
Определение максимальной скорости движения автомобиля. Максимальная скорость движения vmax определяется точкой пересечения кривой тяговой мощности NT и суммарной кривой мощностей NД + NB В этой точке запас мощности равен нулю и, следовательно, ускорение также равно нулю. Скорость максимальна, так как ее дальнейшее увеличение невозможно.
Определение максимальной мощности, необходимой для преодоления сопротивления дороги. Максимальная мощность, которую расходует автомобиль на преодоление сопротивления дороги, двигаясь равномерно, при любой скорости представляет собой разность ординат тяговой мощности и мощности сопротивления воздуха:

Определение максимального подъема, преодолеваемого автомобилем. Для нахождения максимального подъема, который может преодолеть автомобиль при заданной постоянной скорости движения на любой передаче, строят суммарную кривую мощностей, затрачиваемых на преодоление сопротивлений качению и воздуха (NК + NB ,и определяют мощность, расходуемую на преодоление сопротивления подъему:
Nn = NT - (N„ + NB).
Зная мощность, необходимую для преодоления сопротивления подъему, можно найти максимальный угол αтах этого подъема.
Определение ускорения автомобиля. Для оценки ускорения, которое может развить автомобиль при выбранной скорости на до-
роге с заданным сопротивлением, необходимо найти мощность, расходуемую на разгон автомобиля:
N. = NT - (Nu + NB) = N3.
Приведенный на рис. 9.1 график мощностного баланса является типичным для легковых автомобилей и автобусов, выполненных на шасси легковых автомобилей, на которых установлены бензиновые двигатели без ограничителей угловой скорости (частоты вращения) коленчатого вала.

Рис. 9.2. График мощностного баланса автомобиля на высшей
передаче
На рис. 9.2 представлен график мощностного баланса (на высшей передаче), характерный для грузовых автомобилей и автобусов, на которых применяются бензиновые двигатели с ограничителем угловой скорости коленчатого вала или дизели. Этот график соответствует случаю движения автомобиля по ровной горизонтальной дороге с асфальтобетонным покрытием и постоянным значением коэффициента сопротивления.
Из рис. 9.2 видно, что по достижении максимальной скорости движения vmax грузовой автомобиль имеет некоторый запас мощности, равный N3, благодаря которому он способен преодолевать дополнительное сопротивление дороги (подъем), а также буксировать прицеп. Тем не менее развивать ускорение и увеличивать скорость движения автомобиль не может, так как этому препятствует ограничитель угловой скорости коленчатого вала двигателя.
9.2. Степень использования мощности двигателя
График мощностного баланса автомобиля строится при работе двигателя на внешней скоростной характеристике, т.е. при полной подаче топлива (при полной нагрузке двигателя). В этом случае скорость движения автомобиля будет возрастать до некоторого максимального значения.
Для равномерного движения автомобиля с меньшей скоростью на той же передаче необходимо уменьшить подачу топлива, чтобы тяговая мощность NT изменялась по кривой N'T, показанной на рис. 9.1, т.е. нужно изменить степень использования мощности двигателя.
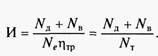
Степенью использования мощности двигателя называется отношение мощности, необходимой для равномерного движения автомобиля, к мощности, развиваемой двигателем при той же скорости и полной подаче топлива.
Степень использования мощности двигателя определяется по формуле

Данная величина зависит от дорожных условий, скорости движения и передаточного числа трансмиссии. Так, чем лучше дорога, меньше скорость движения и больше передаточное число трансмиссии, тем меньше степень использования мощности двигателя. Это приводит к увеличению расхода топлива и снижению топливной экономичности автомобиля.
9.3. Разгон автомобиля
В процессе эксплуатации автомобиль движется равномерно сравнительно непродолжительное время. Большую часть времени он перемещается неравномерно. Так, в условиях города автомобиль движется с постоянной скоростью 15...25% времени работы, а ускоренно (при разгоне) — 30...45%.
Разгон автомобиля во многом зависит от его приемистости, т.е. способности быстро увеличивать скорость движения.
Показателями разгона автомобиля являются ускорение при разгоне j, м/с2, время разгона tp, с, и путь разгона Sp, м.
Показатели разгона определяются экспериментально при дорожных испытаниях автомобиля. Они также могут быть получены расчетным способом.
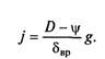
Ускорение при разгоне
Ускорение, определяемое из уравнения силового баланса автомобиля, представленного в безразмерной форме, имеет
вид
(9.2)
Для расчета ускорения при разгоне выберем на динамической характеристике автомобиля пять-шесть значений скорости v, определим соответствующие им значения динамического фактора D и коэффициента сопротивления дороги ψ. Затем, решив уравнение (9.2), найдем значения ускорений при разгоне на различных передачах. По результатам расчетов построим график ускорений при разгоне автомобиля.
На рис. 9.3 представлен график ускорений, характерный для легковых автомобилей. Из рисунка видно, что ускорение на низших передачах больше, чем на высших. Это связано с более высоким динамическим фактором на низших передачах.
Область графика ускорений при v < vmin соответствует тро-ганию автомобиля с места при пробуксовке сцепления, которое продолжается незначительное время. Поэтому считается, что разгон начинается с минимальной скорости vmin. Как видно из рис. 9.3, у легковых автомобилей при максимальной скорости vmax ускорение равно нулю. Это обусловлено тем, что при максимальной скорости запас мощности отсутствует.
На рис. 9.31 показан график ускорений, типичный для грузовых автомобилей. Как видно из рисунка, максимальные значения ускорений на I и II передачах почти одинаковы, что объясняется высоким значением коэффициента учета вращающихся масс
вр на I передаче, так как для этой передачи характерно большое передаточное число.
У грузовых автомобилей при максимальной скорости ускорение не равно нулю, что связано с наличием некоторого запаса мощности, позволяющего им, двигаясь с максимальной скоростью, преодолевать дополнительное сопротивление дороги или буксировать прицеп. Однако запас мощности не может быть использован для разгона, так как этому препятствует ограничитель угловой скорости коленчатого вала двигателя.
Различные автомобили имеют неодинаковые максимальные значения ускорения, м/с2: у легковых автомобилей с механической трансмиссией они составляют 2,0...2,5, у грузовых — 1,7...2,0, у автобусов — 1,8... 2,3, у автомобилей с гидромеханической трансмиссией — 6... 8.

Рис. 9.3. График ускорений легкового автомобиля:
v1, v2 — значения скорости автомобиля; I—III — передачи

Рис. 9.4. График ускорений грузового автомобиля:
а, е — начальная и конечная точки разгона; б—г — точки переключения передач; j1 и j2 - ускорения в начале и конце интервала скоростей от v1, до v2; I — IV — передачи
Графики ускорений позволяют сравнить приемистость различных автомобилей на дорогах с одинаковым сопротивлением движению. Однако такое сравнение не совсем точно, так как различные автомобили имеют неодинаковое максимальное ускорение на каждой передаче и разное число передач в коробке передач. Поэтому более точное сравнение приемистости обеспечивают графики времени и пути разгона.
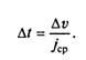
Время и путь разгона
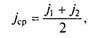
Время и путь разгона определяют следующим образом. Кривые графика ускорений (см. рис. 9.4) разбивают на ряд отрезков, соответствующих определенным интервалам скоростей, км/ч: на низшей передаче — 2...3, на промежуточных — 5... 9 и на высшей — 9... 15. Полагают, что в каждом интервале скоростей разгон происходит с постоянным, средним ускорением

где j1 и j2 — ускорения в начале и конце некоторого интервала скоростей.
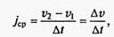
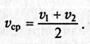
Среднее ускорение можно также рассчитать, зная значения скорости в начале и конце интервала. Так, например, при изменении скорости от v1 до v2 среднее ускорение

где
t — время разгона в заданном интервале скоростей.
Из последнего выражения определяем время разгона в интервале скоростей от v1 до v2:
(9.3)
Время разгона автомобиля определяется в такой последовательности (см. рис. 9.4): на I передаче — по кривой аб, на II передаче — по кривой бв, на III передаче — по кривой вг и на IV передаче — по кривой де. Скорости, соответствующие точкам б, в и г, являются оптимальными для переключения передач.
Вычислив значение времени разгона в каждом интервале скоростей, находим общее время разгона на п интервалах от минимальной vmin до максимальной скорости: tp=
t1 +
t2 +…+
tn
Зная значения времени разгона в различных интервалах скоростей, строим кривую времени разгона (рис. 9.5). Изломы этой кривой соответствуют моментам переключения передач.

Рис. 9.5. Графики времени и пути разгона автомобиля:
vmin — минимальная скорость автомобиля
При переключении передач в течение некоторого времени (времени переключения) происходит разъединение двигателя и ведущих колес. При этом разрывается поток мощности и уменьшается скорость движения автомобиля за счет действия сил сопротивления движению.
Время переключения передач зависит от типа двигателя, коробки передач и квалификации водителя.
Так, для водителей высшей квалификации время переключения передач составляет 0,5... 1 с при бензиновом двигателе и 1 ...4 с — при дизеле. Увеличение времени переключения передач при дизеле объясняется более медленным снижением угловой скорости коленчатого вала, чем при использовании бензинового двигателя. У менее квалифицированных водителей время переключения передач на 25...40% больше, чем у высококвалифицированных.
Уменьшение скорости, км/ч, автомобиля при переключении передач, зависящее от дорожных условий, скорости движения и параметров обтекаемости, определяется по формуле
где vп — время переключенияпередач, с.
Для нахождения пути разгона используют те же интервалы скоростей, которые были выбраны при определении времени разгона. При этом считается, что в каждом интервале скоростей автомобиль движется равномерно со средней скоростью

При разгоне от скорости v{ до скорости v2 (см. рис. 9.4) путь разгона в этом интервале скоростей

или с учетом выражения

Путь разгона автомобиля от минимальной vmin до максимальной vmax скорости

Зная значения пути разгона, соответствующие различным интервалам скоростей, строим кривую пути разгона (см. рис. 9.5). Изломы этой кривой, так же, как и у кривой времени разгона, отвечают переключению передач.
За время переключения передачавтомобиль проходит путь

где vП — скорость в момент начала переключения передач.
Рассмотренный метод определения времени и пути разгона автомобиля является приближенным. Поэтому полученные при расчете результаты могут несколько отличаться от действительных.
9.4. Динамические нормальные реакции на колесах автомобиля
При движении нормальные реакции дороги, действующие на колеса автомобиля, не остаются постоянными по величине, а изменяются в зависимости от действия на автомобиль различных сил и моментов.
При равномерном движении на горизонтальной дороге нормальные реакции дороги, действующие на колеса автомобиля, можно определить по следующим формулам:
для передних колес

для задних колес

для автомобиля, стоящего на горизонтальной дороге (рис. 9.33),

где G — вес автомобиля; G1 G2— вес, приходящийся на передние и задние колеса в статическом положении; L — база автомобиля; hц — высота центра тяжести; l1 , l2 — расстояния от центра тяжести до осей передних и задних колес.
Из приведенных выражений следует, что нормальные реакции Дороги, действующие на колеса, отличаются от нагрузок, приходящихся на колеса в статическом состоянии. При этом реакция RZ1 на передних колесах уменьшается, а реакция Rz2 на задних колесах увеличивается.

Рис. 9.6. Нагрузки на колеса неподвижного автомобиля:
ЦТ — центр тяжести автомобиля
Такое изменение реакций наиболее существенно при возрастании сил сопротивления движению, крутизны подъема и интенсивности разгона.
Изменение реакций RZ1 и RZ2 при движении по сравнению с нагрузками в статическом состоянии оценивается с помощью коэффициентов изменения реакций, или перераспределения нагрузки.
Коэффициентом изменения реакций называется отношение нормальной реакции, действующей на колеса при движении, к нагрузке, действующей на те же колеса автомобиля, стоящего на горизонтальной дороге.
Коэффициенты изменения реакций для передних и задних колес соответственно могут быть представлены в виде

Эти коэффициенты имеют следующие значения: mР1( = 0,65... 0,70, mР2= 1,20... 1,35.
9.5. Динамическое преодоление подъемов
Автомобиль может преодолевать подъем под действием только тяговой силы, двигаясь равномерно (длина подъема в этом случае неограниченна), а также с разгона, используя кроме тяговой силы накопленную при разгоне кинетическую энергию. В этом случае преодолеваемый подъем может быть круче того подъема, который автомобиль проходит при равномерном движении, но его длина ограниченна.
Прохождение подъема с разгона и называется динамическим преодолением подъема.
Рассмотрим схему движения автомобиля при динамическом преодолении подъема (рис. 9.7). На участке дороги АБ, перед подъемом, автомобиль движется с постоянной скоростью v. На участке


Рис. 9.7. Схема движения автомобиля при динамическом преодолении
подъема:
А—Д — точки изменения режима движения автомобиля; ψ1 — коэффициент сопротивления дороги на участке АГ; ψ 2, ψ3 — коэффициенты сопротивления
дороги на участке ГД
БВ происходит разгон до максимально возможной скорости vmax. На участке ВТ автомобиль движется с максимальной скоростью vmax, и на этой скорости он выходит на подъем. На участке ГД, на подъеме, скорость автомобиля уменьшается и движение становится замедленным.
Кривую динамического фактора (рис. 9.7) для передачи, на которой автомобиль преодолевает подъем с разгона, разбивают на интервалы скоростей и по тем же формулам, что и для случая разгона, находят ускорение, время и путь движения на подъеме. При этом если коэффициент сопротивления дороги ψ 2 на подъеме меньше, чем максимальный динамический фактор по тяге Dmax на данной передаче, то точка пересечения D2 кривой с горизонталью ψ 2 определяет скорость v2, по достижении которой автомобиль движется равномерно. Если же на подъеме коэффициент сопротивления дороги ψ3 больше, чем Dmax на данной передаче, то скорость движения автомобиля быстро падает. Чтобы не произошло его остановки, необходимо перейти на низшую передачу. Длина подъема, проходимая автомобилем до достижения критической скорости по тяге vT, может считаться равной длине пути, в конце которого движение автомобиля прекращается (останавливается двигатель).

Рис. 9.8. Динамическая характеристика автомобиля, соответствующая передаче, выбранной для преодоления подъема:
ψ 1 — коэффициент сопротивления дороги на горизонтальном участке (перед подъемом), где автомобиль разгоняется до максимальной скорости vmax; ψ 2, ψ 3— коэффициенты сопротивления дороги на подъеме (ψ 1< ψ 2 < ψ 3); v2 — скорость, по достижении которой автомобиль движется на подъеме равномерно; D1, D2 — значения динамического фактора по тяге при скорости, равной vmax и v2
9.6. Движение накатом
На дорогах с чередующимися подъемами и спусками, при подъезде к остановкам и проезде одиночных препятствий (трамвайные рельсы, крышки канализационных люков и др.) часто применяется движение автомобиля накатом. При таком режиме движения двигатель отсоединяется от ведущих колес, мощность и крутящий момент к ним не подводятся и тяговая сила на ведущих колесах отсутствует.
В процессе движения автомобиля накатом по горизонтальной дороге силы сопротивления движению преодолеваются главным образом за счет накопленной ранее кинетической энергии. Поэтому движение автомобиля накатом по горизонтальной дороге может быть только замедленным.
Во время движения автомобиля накатом на спуске преодоление сил сопротивления движению происходит за счет силы сопротивления подъему, которая в данном случае является движущей. При этом чем больше сила тяжести автомобиля и круче спуск, тем больше сила сопротивления подъему.
Если сила сопротивления подъему меньше сил сопротивления движению, то автомобиль движется замедленно. При равенстве указанных сил движение автомобиля становится равномерным. Если же сила сопротивления подъему больше сил сопротивления движению, то движение автомобиля ускоренное.
Таким образом, в зависимости от соотношения силы сопротивления подъему и сил сопротивления движению движение автомобиля на спуске может быть равномерным, ускоренным или замедленным.
Соотношение между движущей силой и силами сопротивления выражается уравнением движения автомобиля при накате:

где
— приведенная к ведущим колесам сила трения в трансмиссии при работе на холостом ходу; Мтр — момент силы трения в трансмиссии;
Н — коэффициент учета вращающихся масс автомобиля при накате:


Рис. 9.8. График силового баланса автомобиля при движении накатом:
РП1 —РП4 — силы сопротивления подъему для различных значений уклона дороги; v vmax — максимальная скорость автомобиля, соответствующая силе сопротивления подъему РП2; А — характерная точка построения
При расчетах силу трения в трансмиссии для автомобиля с колесной формулой 4x2 можно определить по эмпирической формуле

Найденное значение PТР, увеличенное в 2 раза, будет соответствовать автомобилям с колесными формулами 4x4 и 6x4, а увеличенное в 3 раза — с колесной формулой 6 x 6. Коэффициент учета вращающихся масс
Н можно принять равным 1,05.
На основании уравнения движения автомобиля при накате строится график силового баланса в координатах Р — v (рис. 9.8).
Сначала на график наносят кривые сил сопротивления движению —
откладывая вверх значение каждой последующей силы от значения предыдущей. Затем проводят горизонтальные линии силы сопротивления подъему РП для различных значений уклона дороги, причем для крутых спусков (i > 0) — выше оси абсцисс, а для пологих спусков, прямолинейных участков Дороги и подъемов (i < 0) — ниже оси абсцисс.
С помощью графика силового баланса автомобиля при движении накатом можно решать различные задачи по определению показателей тягово-скоростных свойств, аналогичные задачам, рассмотренным в подразд. 9.13. Так, например, максимальная скорость движения автомобиля при накате определяется точкой A пересечении суммарной кривой сил сопротивления движению РТР +РК + РВ с горизонтальной прямой силы РП для соответствующего уклона. Если эта прямая проходит выше суммарной кривой, то автомобиль движется ускоренно, если ниже ее, то замедленно.
Из уравнения движения автомобиля накатом можно определить замедление по следующим формулам:

На рис. 9.8 представлен график ускорений автомобиля при движении накатом для различных значений уклона дороги. Кривые ускорений при движении накатом на подъемах, горизонтальных участках дороги и пологих спусках проходят ниже оси абсцисс, и скорость автомобиля на таких участках пути уменьшается. Кривые ускорений, соответствующих движению автомобиля накатом на крутых спусках, расположены над осью абсцисс.
В точках пересечения кривых ускорений с осью абсцисс движущие силы автомобиля равны силам сопротивления движению, вследствие чего автомобиль движется равномерно. Так, например, кривая, соответствующая уклону i3, пересекает ось абсцисс при скорости, равной v3.
Если начальная скорость больше скорости v3, то движение накатом на этом уклоне замедленное, в противном случае оно ускоренное. Как замедленное, так и ускоренное движение автомобиля накатом продолжается только до скорости, равной v3, по достижении которой начинается равномерное движение.
По известным значениям ускорения при накате по тем же формулам, по которым определяются время и путь разгона автомобиля, можно рассчитать время и путь движения автомобиля накатом.
При движении автомобиля накатом с небольшой скоростью силы сопротивления движению РВ и РТР можно не учитывать вследствие их незначительной величины. Тогда замедление автомобиля при накате

Движение автомобиля накатом целесообразно применять в том случае, когда этот режим обеспечивает длительное движение. В условиях города движение накатом следует использовать при преодолении одиночных препятствий для исключения рывков и ударов в трансмиссии автомобиля и предотвращения повреждения шин. Однако движение накатом на обледенелых и снежных укатанных дорогах недопустимо из-за возможности аварий.

Рис. 9.8. График ускорений автомобиля
при движении накатом: i1, — i 3 — значения уклона, соответствующие спуску; (4 — горизонтальному участку; i 5— i 7 — подъему дороги; v3 — скорость равномерного движения на участке дороги, характеризуемом значением уклона i 3
Для оценки тягово-скоростных свойств автомобиля при движении накатом можно использовать путь, который проходит автомобиль при накате со скорости 50 км/ч до полной остановки, т. е. путь выбега. Измерения пути выбега автомобиля проводят на горизонтальном участке дороги с асфальтобетонным покрытием.
Путь выбега позволяет также оценить техническое состояние шасси автомобиля. Чем больше путь выбега автомобиля, тем лучше техническое состояние его шасси. Любая неисправность шасси (неправильная регулировка тормозных механизмов, затяжки подшипников главной передачи или углов установки управляемых колес, снижение давления воздуха в шинах и др.) вызывает существенное уменьшение пути выбега. Так, например, пониженное давление воздуха в шине одного колеса сокращает путь выбега на десятки метров, а неправильно отрегулированные тормозные механизмы колес — на сотни метров. Каждая техническая неисправность шасси вызывает при накате увеличение сопротивления движению автомобиля.
Масса автомобиля. Увеличение массы автомобиля приводит к возрастанию сил сопротивления качению, подъему и разгону. В результате ухудшаются тягово-скоростные свойства автомобиля.
Обтекаемость автомобиля (рис. 10.2). Обтекаемость оказывает значительное влияние на тягово-скоростные свойства автомобиля. При ее ухудшении уменьшается запас тяговой силы, который может быть использован на разгон автомобиля, преодоление подъемов и буксировку прицепов, возрастают потери мощности на сопротивление воздуха и снижается максимальная скорость автомобиля. Так, например, при скорости, равной 50 км/ч, потери мощности у легкового автомобиля, связанные с преодолением сопротивления воздуха, почти равны потерям мощности на сопротивление качению автомобиля при его движении по дороге с твердым покрытием.
Лекция "2 Древние государства на территории Казахстана" также может быть Вам полезна.
Хорошая обтекаемость легковых автомобилей достигается незначительным наклоном крыши кузова назад, применением боковин кузова без резких переходов и гладкого днища, установкой ветрового стекла и облицовки радиатора с наклоном и таким размещением выступающих деталей, при котором они не выходят за внешние габариты кузова.

Рис. 10.2. Обтекаемость идеально обтекаемого тела (а), гоночного (б), легкового (в), грузового (г) автомобилей и автобуса (д)
Все это позволяет уменьшить аэродинамические потери, особенно при движении на высоких скоростях, а также улучшить тягово-скоростные свойства легковых автомобилей.
У гоночных автомобилей для повышения показателей тягово-скоростных свойств используют минимальное число выступающих частей, а задней части кузова придают вытянутую форму для плавного обтекания ее воздухом.
У грузовых автомобилей сопротивление воздуха уменьшают, применяя специальные обтекатели и покрывая кузов брезентом.





















