Логические операции и логические элементы
Любые упражнения по изучению электротехники необходимо начинать с проработки лекционного материала и соответствующего раздела в учебнике. Следует также выучить правила составления уравнений и свойств соединений элементов схем.
СЕМИНАР 13. Логические операции и логические элементы
Задача 1
Системы счисления.

Перевод из двоичного числа в десятеричную форму.
00010100=27·0 + 26·0 + 25·0 + 24·1 + 23·0 + 22·1 + 21·0 + 20·0=16 + 4=20
Перевод из десятичного в двоичное число производится делением на 2.

Рекомендуемые материалы

Переход из шестьнадцатиричной системы в десятичную
(105)H = 5∙160 + 0∙161 + 1∙162 = 5 + 256 = (261)D
Переход из двоичной системы в десятичную и шестьнадцатиричную
(1101)B = 1∙20 + 1∙22 + 1∙23 = 1+4+8= 13 = (D)H
Задача 2
| Сложение двоичных чисел
|
|
| Вычитание двоичных чисел
|
|
| Умножение двоичных чисел
|
|
Задача 3
Укажите уровни на выходах логических элементов, при указанных уровнях на входах

Элементы ИЛИ и ИЛИ-НЕ устройство трёхвходовое, при данной комбинации сигналов на входах - на выходе будет 0.
Задача 4
Синтезируйте логическое устройство. Задана таблица истинности.
| Вход A | Вход B | Выход Q |
| 0 | 0 | 1 |
| 1 | 0 | 0 |
| 0 | 1 | 0 |
| 1 | 1 | 1 |
Решение
По правилу синтеза: так как входов 2, то возможных кодовых комбинаций 4. Выходная величина Q принимает значение «0» два раза, а «1» два, синтезируем по «1». Ставим два двухвходовых элемента «И ». На выход ставим элемент «ИЛИ ». По входам ставим элементы «НЕ ».

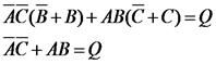
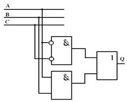
Задача 5
Синтезировать функцию представленную структурной формулой

Решение
Запишем уравнение в совершенной дизъюнктивной нормальной форме (СДНФ)

Итоговая схема

Минимизация с помощью карты Карно
|
|
| С |
|
| 1 |
|
|
| 1 |
|
| АВ | 1 | Вам также может быть полезна лекция "Супер-ЭВМ и сверхвысокая производительность". 1 |
|
|
|
|
| Получаем формулу: |
|





























