Механические колебания
МЕХАНИЧЕСКИЕ КОЛЕБАНИЯ
План
1. Колебания. Характеристики гармонических колебаний.
2. Свободные (собственные) колебания. Дифференциальное уравнение гармонических колебаний и его решение. Гармонический осциллятор.
3. Энергия гармонических колебаний.
4. Сложение одинаково направленных гармонических колебаний. Биение. Метод векторной диаграммы.
5. Сложение взаимно перпендикулярных колебаний. Фигуры Лиссажу.
6. Затухающие колебания. Дифференциальное уравнение затухающих колебаний и его решение. Частота затухающих колебаний. Изохронность колебаний. Коэффициент, декремент, логарифмический декремент затухания. Добротность колебательной системы.
Рекомендуемые материалы
7. Вынужденные механические колебания. Амплитуда и фаза вынужденных механических колебаний.
8. Механический резонанс. Соотношение между фазами вынуждающей силы и скорости при механическом резонансе.
9. понятие об автоколебаниях.
1. Колебания. Характеристики гармонических колебаний.
Колебания – движение или процессы, обладающие той или иной степенью повторности во времени.
Гармонические (или синусоидальные) колебания – разновидность периодических колебаний, которые могут быть заменены в виде
(1)
где a – амплитуда,
- фаза,
- начальная фаза,
- циклическая частота, t – время (т.е. применяются со временем по закону синуса или косинуса).
Амплитуда (а) – наибольшее отклонение от среднего значения величины, совершающей колебания.
Фаза колебаний ( )
– изменяющийся аргумент функции, описывающей колебательный процесс (величина
t+
, стоящая под знаком синуса в выражении (1) ).
Фаза характеризует значение изменяющейся величины в данный момент времени. Значение
в момент времени t=0 называется начальной фазой (
).
В качестве примера на рисунке 27.1 представлены математические маятники в крайних положениях с разностью фаз колебаний
=0 (27.1.а) и
=
(27.1б)

Разность фаз колебаний маятников проявляется отличием в положении колеблющихся маятников.
Циклической или круговой частотой называется количество колебаний, совершаемое за 2
секунд.
Частотой колебаний
(или линейной частотой) называется число колебаний в единицу времени. За единицу частоты принимается частота таких колебаний, период которых равен 1с. Эту единицу называют Герц (Гц).
Промежуток времени, за который совершается одно полное колебание, а фаза колебания получает приращение, равное 2
, называется периодом колебания (рис. 27.2).

2. Свободные колебания. Свободными или собственными называются такие колебания, которые происходят в системе, выведенной из положения равновесия и предоставленной самой себе.
Рассмотрим колебания груза на пружине, совершаемые на гладкой горизонтальной поверхности (рис. 27.3). Если растянуть пружину на некоторое расстояние х, и затем отпустить, то на груз будет действовать упругая сила
= - кх, где к - коэффициент пропорциональности, называемый жесткостью пружины. Знак «-» указывает на то, что сила
направлена в сторону, противоположную направлению оси Х (направлению растяжения). В проекции на ось Х второй закон Ньютона на уравнение движения запишется


.
Поделив обе части уравнений на m

и перенеся в левую часть
.
Обозначив
, получим линейное дифференциальное однородное уравнение второго порядка
(2)
(линейное – т.е. и сама величина х, и ее производная в первой степени; однородное – т.к. нет свободного члена, не содержащего х ; второго порядка – т.к. вторая производная х).
Уравнение (2) решается (*) подстановкой х =
. Подставляя в (2) и проводя дифференцирование

.
Получаем характеристическое уравнение
.
Это уравнение имеет мнимые корни:
(
-мнимая единица).
Общее решение имеет вид

где
и
- комплексные постоянные.
Подставляя корни, получим
(3)
(Замечание: комплексным числом z называется число вида z = x + iy, где x,y – вещественные числа, i – мнимая единица (
= -1). Число х называется вещественной частью комплексного числа z.. Число у называется мнимой частью z).
(*) В сокращенном варианте решение можно опустить
Выражение вида
можно представить в виде комплексного числа с помощью формулы Эйлера

аналогично
(т.к.
.
Положим
и
в виде комплексных постоянных
= А
, а
= А
, где А и
произвольные постоянные. Из (3) получим

Обозначив
получим

Используя формулу Эйлера

Т.е. получим решение дифференциального уравнения для свободных колебаний
(4)
где
- собственная круговая частота колебаний, А – амплитуда.
Смещение х применяется со временем по закону косинуса, т.е. движение системы под действием упругой силы f = -кх представляет собой гармоническое колебание.
Если величины, описывающие колебания некоторой системы периодически изменяются со временем, то для такой системы пользуются термином «осциллятор ».
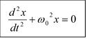
Линейным гармоническим осциллятором называется такой, движение которого описывается линейным уравнением
.
3. Энергия гармонических колебаний. Полная механическая энергия системы, изображенной на рис. 27.2 равна сумме механической и потенциальной энергий.
Продифференцируем по времени выражение (
, получим
=
= -a
sin(
t +
).
Кинетическая энергия груза (массой пружины пренебрегаем) равна
E
=
.
Потенциальная энергия выражается известной формулой
подставляя х из (4), получим
т.к.
.
Полная энергия

величина постоянная. В процессе колебаний потенциальная энергия переходит в кинетическую и наоборот, но каждая энергия остается неизменной.
4. Сложение одинаково направленных колебаний.. Обычно одно и то же тело участвует в нескольких колебаниях. Так, например, звуковые колебания, воспринимаемые нами при слушании оркестра представляют собой сумму колебаний воздуха, вызываемых каждым из музыкальных инструментов в отдельности.
Рассмотрим сложение двух гармонических колебаний одинакового направления. Смещение х колеблющегося тела будет суммой смещений
и
. Положим равными, для простоты, амплитуды
и начальные фазы
Тогда
.
Воспользовавшись формулой суммы косинусов, получим
(5)
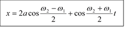
Биения. Пусть два складываемых гармонических колебания одинакового направления мало отличаются по частоте. Обозначим частоту одного из колебаний
, частоту второго
. При этом
Амплитуды обоих колебаний будем полагать одинаковыми и равными а. Начальные фазы для упрощения задачи положим равными нулю. Тогда

Сложим эти колебания, воспользовавшись формулой (5), получим
(6)
Во втором сомножителе (6) пренебрегли
по сравнению с
. Множитель
меняется гораздо медленнее, чем
(т.к.
). Результирующее колебание х можно рассматривать как гармоническое с частотой
, амплитуда которого меняется по закону
от -2а до +2а (амплитуда – величина положительная). Такие колебания называются биениями. Они представлены на рис.27.4.

Частота пульсаций амплитуды называется частотой биений. Промежуток времени между соседними моментами времени, когда амплитуда максимальна, называется периодом биений Тб. За это время разность фаз изменяется на
, т.е.

Таким образом период биений

Метод векторной диаграммы.
Колебания изображаются графически в виде векторов на плоскости (рис.27.5). Вектор-амплитуда
вращается с угловой скоростью
против часовой стрелки. Если в момент t = 0 вектор
образует с осью Х угол
, то проекцию вектора
на ось Х можно записать в виде гармонического закона
.
Следовательно, проекция вектора
на ось Х будет совершать гармонические колебания с амплитудой, равной длине вектора, круговой частотой, равной угловой скорости вращения вектора, и начальной фазой, равной углу образуемому вектором с осью в начальный момент времени.
Такой способ удобно использовать при сложении колебаний одного направления. Рассмотрим случай, когда частоты складываемых колебаний одинаковы.

Каждое из складываемых колебаний можно представить с помощью векто
ров
и
, сумма проекций которых на ось Х равна проекции суммы векторов 
Так как векторы
и
вращаются с одной и той же угловой скоростью
, с той же угловой скоростью вращается и вектор
. Значит, результирующее колебание тоже является гармоническим и имеет вид
,
где
и
находим на рис. 27.6


5. Сложение взаимно перпендикулярных колебаний. Фигуры Лиссажу.
Фигуры Лиссажу – это замкнутые траектории точки, совершающей два гармонических колебания в двух взаимно перпендикулярных направлениях. Впервые изучены французским ученым Ж.Лиссажу.
Вид фигур Лиссажу зависит от соотношения между периодами (частотами), фазами и амплитудами обоих колебаний. Рассмотрим случай, когда частоты складываемых колебаний одинаковы, а координаты точки х и у изменяются по законам
(7)
где
- разность фаз обоих колебаний. Уравнения (7) представляют уравнение траектории в параметрической форме, где параметр t – время. Решая совместно оба уравнения с целью исключения параметра t, получим (без вывода) уравнение
(8)
Рассмотрим некоторые частные случаи.
1) При
= 0 уравнение (8) принимает вид

откуда получается уравнение прямой

Колеблющаяся точка перемещается по этой прямой (рис.27.7).

Если частоты взаимно перпендикулярных колебаний не одинаковы, то траектория результирующего движения имеет вид достаточно сложных кривых.
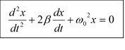
6. Затухающие колебания. Дифференциальное уравнение затухающих колебаний и его решение.
В любой реальный колебательной системе есть силы сопротивления (трения), действия которых приводит к уменьшению амплитуды и энергии колебаний. Такие колебания называют затухающими.
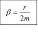
В этом случае, уравнение движения для системы на рис.27.3 будет иметь вид
.
Учитывая, что
а силу сопротивления, которая обычно пропорциональна скорости, можно записать как
где r – коэффициент сопротивления, т.е. коэффициент пропорциональности между скоростью и силой сопротивления, уравнение движения приобретает вид
.
Перенося члены из правой части в левую, поделив уравнение на m и обозначив,
получим уравнение в виде
(9)
где
- частота, с которой совершались бы свободные колебания системы в отсутствии сопротивления среды (собственная частота системы).
Коэффициент
, характеризующий скорость затухания
колебаний, называется коэффициентом затухания.
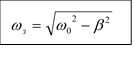
Решение уравнения (9) имеет вид
(10)
где
и
- постоянные, определяемые начальными условиями
- частота затухающих колебаний
График функции (10) показан на рис.27.10.

Множитель
в уравнении (10) называют амплитудой затухающих колебаний. Такие колебания можно рассматривать как гармонические с частотой
и уменьшающейся со временем амплитудой
. Заметим, что независимость частоты (периода) собственных колебаний от амплитуды называется
изохронностью. Изохронность характерна для линейных систем.
В линейных системах изохронность практически соблюдается только в области достаточно малых амплитуд.
Другое замечание. Если
то процесс называется апериодическим (непериодическим). Выведенная из положения равновесия система, возвращается в положение равновесия, не совершая колебаний (рис.27.11, кривая 1). Кривая 2 получается в том случае, если выведенной из положения равновесия системе сообщить достаточно сильный толчок к положению равновесия.

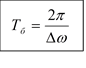
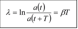
Кроме коэффициента
затухание характеризуют и другими величинами. Найдем отношение амплитуд, соответствующих моментам времени, отличающимся на период
.
Это отношение называется декрементом затухания, а его натуральный логарифм – логарифмическим декрементом затухания
(11)
где Т – период затухающих колебаний. Для выяснения физического смысла
возьмем некоторое время
за которое амплитуда уменьшается в е раз (время релаксации). Тогда
т.к.
(из (11) ), то
. Обозначим
количество колебаний за время
, тогда
и
, т.е. логарифмический декремент затухания обратен по величине числу колебаний, совершаемых за то время, за которое амплитуда уменьшается в е раз.
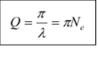
Кроме того, для характеристики колебательной системы часто употребляется такая величина
(12)
называемая добротностью колебательной системы (добротностью осциллятора). Добротность пропорциональна числу колебаний NB, совершаемых системой за то время τ, за которое амплитуда колебаний уменьшается в е раз.
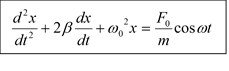
7. Вынужденные механические колебания. Свободные колебания реальной колебательной системы являются затухающими. Чтобы колебания были незатухающими, необходимо компенсировать потери энергии, обусловленные силами сопротивления. Это можно сделать, воздействуя на систему (рис.27.3) внешней силой, изменяющейся по гармоническому закону
где
- частота вынуждающей силы. Уравнение движения запишется с учетом всех сил (
) запишется в виде

Поделив обе части на m и перенося первые два члена из правой части в левую, получим

Обозначив, как и в п.6
, получим дифференциальное уравнение вынужденных колебаний
(13)
Уравнение является неоднородным. Общее решение неоднородного уравнения равно сумме общего решения соответствующего однородного уравнения и частного решения неоднородного уравнения
.
Общее решение однородного уравнения (правая часть (13) равна нулю) нам уже известно
.
Слагаемое
играет заметную роль только в начальной стадии процесса (рис.27.12).

С течением времени из-за экспоненциального множителя
роль
уменьшается и по прошествии некоторого времени им можно пренебречь и остается только частные решения неоднородного уравнения (без вывода)
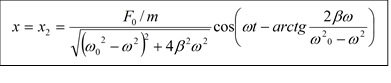
(14)
Функция (14) описывает установившиеся вынужденные гармонические колебания с частотой, равной частоте вынужденной силы.
Амплитуда вынужденных колебаний пропорциональна амплитуде вынуждающей силы. Для данной колебательной системы (определенных
и
) амплитуда зависит от частоты вынуждающей силы. Вынужденные колебания отстают по фазе от вынуждающей силы, причем величина отставания также зависит от частоты вынуждающей силы.
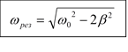
8. Механический резонанс. Зависимость амплитуды вынужденных колебаний от частоты вынуждающей силы приводит к тому, что при некоторой определенной для данной системы частоте амплитуда колебаний достигает максимального значения. Это явление называется резонансом, а соответствующая частота – резонансной частотой.
Чтобы найти резонансную частоту
, нужно найти максимум амплитуды функции (14), т.е. максимум функции
(15)
Или, что-то же самое, найти минимум выражения, стоящего под корнем в знаменателе (15). Продифференцировав выражение 
по
и приравняв к нулю, получим
.
Проведя дальнейшие простые преобразования, получим
,
а т.к. частота по своему смыслу не может быть отрицательной, то выбираем решение со знаком «+». Итак, резонансная частота
(16)
График зависимости амплитуды вынужденных колебаний от частоты изменения вынуждающей силы в соответствии с выражением (15) представлен на рис.27.13. При
→0 все кривые приходят к одному и тому же значению
,
. При
,
. Чем меньше
, тем острее максимум.

Происхождение резонансного усиления колебаний можно уяснить себе, обратив внимание на соотношение между фазами вынуждающей силы и скорости. Если
, то между вынуждающей силой
и скоростью
существует определенная разность фаз, поэтому в течение некоторой доли каждого периода сила
направлена противоположно
, т.е. стремится замедлить движение. При резонансе же фазы силы и скорости совпадают, так что сила «подталкивает» движение.
9. Понятие об автоколебаниях. Автоколебания – незатухающие колебания, поддерживаемые в диссипативной системе за счет постоянного внешнего источника энергии, не обладающего колебательными свойствами. Свойства колебаний определяются самой системой.
Автоколебательная система сама управляет внешними воздействиями, обеспечивая согласованность поступления энергии определенными порциями в такт с ее колебаниями.
Форма, амплитуда и частота колебаний задаются самой системой.
Примером автоколебательной системы могут служить часы. Энергия берется либо за счет раскручивающейся пружины, либо за счет опускающегося груза, но ни пружина, ни груз не являются вынуждающей силой, формулирующей колебания(внешняя сила не обладает колебательными свойствами). Колебания воздуха в духовых инструментах и органных трубах также возникают вследствие автоколебаний, поддерживаемых воздушной струей. Другие примеры – электрический звонок, скрипка и т.п.
Вопросы для самоконтроля.
1. Какие колебания называются гармоническими? Приведите примеры гармонических колебаний.
2. Дайте определение следующих характеристик гармонического колебания: амплитуды, фазы, начальной фазы, периода, частоты, циклической частоты.
3. Выведите дифференциальное уравнение гармонических колебаний и напишите его решение.
Вам также может быть полезна лекция "Характеристика типов темперамента".
4. Как изменяются со временем кинетическая и потенциальная энергии гармонического колебания? Почему полная энергия гармонического колебания остается постоянной?
5. Выведите дифференциальное уравнение, описывающее затухающие колебания и напишите его решение.
6. Что такое логарифмический декремент затухания и добротность колебательной системы?
7. Выведите дифференциальное уравнение вынужденных колебаний и проанализируйте решение.
8. Что такое резонанс? Нарисуйте график зависимости амплитуды вынужденных колебаний от частоты вынуждающей силы, когда эта сила является простой гармонической функцией времени.
9. Что такое автоколебания? Приведите примеры автоколебаний.





















