Работа и энергия
Вопрос № 8: Работа и энергия:
1. Работа постоянной и переменной силы на конечном пути за конечный промежуток времени.
2. Кинетическая энергия.
3. Консервативные и не консервативные силы.
4. Кинетическая энергия тела, участвующего в поступательном и вращательном движении
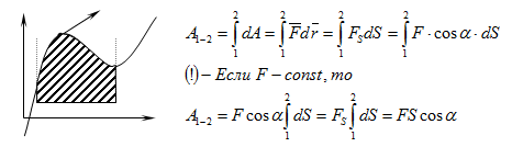
Работа силы:


Работа при прямолинейном движении:
Рекомендуемые материалы
Частица движется под действием N сил:

Работа нескольких сил – это сумма работ этих сил.

Кинетическая энергия:
Теорема о кинетической энергии материальной точки:
Работа, результирующей всех сил действующей на материальную точку, равна приращению кинетической энергии материальной точки. 
Консервативные и не консервативные силы:
Консервативными называются такие силы, под действием которых механическая энергия сохраняется.
Не консервативными называются такие силы, под действием которых механическая энергия переходит в другие виды энергии, на пример в тепло.
"4.1 Проектирование пиктограмм" - тут тоже много полезного для Вас.

Кинетическая энергия системы материальных точек:
Связь между кинетическими энергиями в различных системах отсчёта:

Теорема Кёнига:
Кинетическая энергия системы материальных точек относительно неподвижной системы (S) равна сумме кинетических энергий поступательного движения системы (S’) с (V0) и кинетической энергии (S’) по отношению к поступательному движению системы.























