Урок гимнастики в школе
Лекция №3: Урок гимнастики в школе
План
1. Задачи обучения гимнастике в школе
2. Виды уроков по гимнастике
3. Требования к уроку гимнастики
4. Структура построения урока по гимнастике
4.1 Подготовительная часть урока
4.2 Основная часть урока
4.3 Заключительная часть урока
Рекомендуемые материалы
5. Дозирование нагрузки на уроке
6. Способы организации учебной работы на уроке
7. Организационные аспекты урока
Литература
1. Задачи обучения гимнастике в школе
Гимнастика - один из основных разделов школьной программы по физическому воспитанию и направлена на:
- укрепление здоровья школьников посредством развития физических качеств и повышения функциональных возможностей жизнеобеспечивающих систем организма;
совершенствование жизненно важных навыков и умений посредством обучения прикладным упражнениям;
- формирование общих представлений о физической культуре, ее значении в жизни человека, роли в укреплении здоровья, физическом развитии и физической подготовленности;
- развитие интереса к самостоятельным занятиям физическими упражнениями, подвижным играм, формам активного отдыха и досуга;
- обучение простейшим способам самоконтроля за физической нагрузкой, отдельными показателями физического развития и физической подготовленности.
Наряду с другими дисциплинами физического воспитания в школе (легкая атлетика, спортивные игры и др.), гимнастика призвана решать образовательные, оздоровительные и воспитательные задачи.
К образовательным задачам относятся теоретические знания, практические умения и навыки, формируемые у учащихся в процессе занятий. Так, например, ученик узнает названия упражнений, технику их выполнения, какие способности и качества улучшаются у исполнителя, меры безопасности на занятиях, некоторые физиологические и анатомические аспекты свого организма и т.д. Решение образовательных задач дает учащимся не только знания, умения и навыки выполнять физические упражнения, но также умения применять их в жизни. Образовательная сторона урока обеспечивается правильно поставленными задачами обучения и методикой преподавания, направленных на активное и прочное усвоение программного материала учащимися.
Оздоровительными задачами являются укрепление здоровья учащихся, содействие их физическому развитию, физической подготовленности, формирование правильной осанки, развитие двигательных и психических качеств, необходимых для успешного овладения гимнастическими упражнениями различной сложности, бытовыми, профессиональными, прикладными двигательными умениями и навыками.
Оздоровительные задачи урока решаются подбором упражнений, их дозировкой и проведением, обеспечивающие разностороннее воздействие на организм учеников, и положительное влияние этих занятий на их здоровье и физическое развитие.
Ученикам, освобожденным от занятий по состоянию здоровья, пропустившим несколько занятий, отнесенным в специальные медицинские группы, имеющим врожденные физические дефекты следует уделять особое внимание, и они требуют особой организации занятий
К воспитательным задачам следует отнести воспитание эстетических, нравственных и волевых качеств, таких как чувство опрятности в одежде, красоты человеческого тела и движений, добросовестного отношения к учебному труду, чувства товарищества и взаимной поддержки, коллективизма, честности и открытости, смелости, решительности, настойчивости, терпеливости и др. Также на уроке у учащихся воспитываются привычки, регламентирующие любую деятельность (ответственность, самодисциплину, организованность, исполнительность и др.).
2. Виды уроков по гимнастике
Школьные уроки по гимнастике разделяются по своей направленности на: вводные уроки; уроки изучения нового материала; уроки совершенствования и повторения изученного; комбинированные (смешанные) уроки; контрольные уроки.
Вводные уроки проводятся в начале учебного года, в начале четверти, а также при переходе к изучению нового раздела программы. На вводных уроках проводится беседа, в которой ученики знакомятся с содержанием и направлением работы на учебный год или четверть. Перед учениками ставится ряд задач, конкретных требований, которые необходимо выполнять для обеспечения учебной работы.
Уроки изучения нового материала отличаются тем, что на них основное внимание уделяется виду движений, впервые предлагаемых ученикам. Изучение нового материала сопровождается сообщением теоретических сведений, демонстрацией изучаемого материала (личный показ, показ плакатов, кинограм видеофильмов и т.п.) Задачи ставятся более развернуто, и могут носить поисковый характер, чтобы вызвать интерес учащихся.
Учетные уроки проводятся после прохождения определенного учебного материала с целью подведения итогов усвоения пройденного, они имеют место на протяжении всей четверти. Учетные уроки строятся в зависимости от того вида движений, которые подлежат учету.
Уроки повторения направлены на закрепление и совершенствование ранее освоенных упражнений, комбинаций. Отшлифовывается техника движений, предъявляются требования к четкости, силе и красоте выполнения. По существу, на уроке повторения продолжается обучение, знания и умения учащихся углубляются и закрепляются, совершенствуются навыки. На таких уроках широко используются творческие задания, задания с выбором и анализом действий друг друга
Комбинированные (смешанные) уроки имеют наибольшее распространение в школе и сочетают изучение, повторение и совершенствование ранее освоенных упражнений.
Контрольные уроки проводятся в конце изучения темы или раздела программного материала, а также по окончании курса гимнастики и направлены на выявление успеваемости и подготовленности учащихся. На таких уроках оценивается техника выполнения гимнастических упражнений и комбинаций, осуществляется контроль за выполнением учебных нормативов и степенью развития двигательных качеств. Контрольный урок, проводимый в конце изучения раздела гимнастики, можно организовать в виде соревнований.
2. Требования к уроку гимнастики
Как и любой другой школьный урок, урок гимнастики должен отвечать определённым требованиям.
1) Каждый урок должен иметь определенную учебную цель, которая выражается в общих задачах, стоящих перед уроком. Общие задачи урока дифференцируются и решаются на уроке непосредственно в виде частных задач.
2) Уроки между собой должны обладать преемственностью, с постепенным нарастанием сложности обучаемых движений и увеличением нагрузки на организм учащихся. Например, обучению кувыркам должно предшествовать обучение группировке и перекатам в группировке, а обучению лазанию по канату предшествует обучение лазанию по гимнастической стенке, подтягивание висе лёжа на скамейке и в висе на гимнастической стенке, и т.д.
3). В школьной программе, по годам обучения (классам) указаны в основном только общие задачи обучения двигательным умениям и навыкам (образовательные задачи). При этом имеется в виду, что широкий круг воспитательных и оздоровительных задач должен решаться параллельно из урока в урок. Поэтому, учителю на уроке необходимо стремится к соблюдению единства и взаимосвязи между образовательными, оздоровительными и воспитательными задачами. При таком подходе эти задачи могут взаимно дополнять друг друга, и их решение задач становится более естественным и успешным.
Например, при обучении прыжку ноги врозь через козла (образовательная задача) можно и нужно развивать у учащихся взрывную силу мышц ног и рук (оздоровительные задачи). Понятно, что при выполнении данного прыжка учащиеся должны проявлять решительность и смелость, и эти качества нужно также воспитывать у них (воспитательные задачи).
4). Урок должен быть хорошо продуман и организован.
Проведение учителем общеразвивающих упражнений в подготовительной части урока, выполнение учащимися одновременно упражнений на 2-х и более видах занятий в основной части урока требует от учителя четкости в проведении и хорошей организации урока. Ему заранее необходимо предусмотреть, где, когда и какие упражнения он будет проводить с учениками, как разместить снаряды и учеников в зале, как использовать дополнительные снаряды, как организовать страховку и помощь ученикам, ибо выполнение некоторых упражнений представляет определённую опасность получения учащимися травм и многое другое.
5). К каждому уроку необходимо подбирать упражнения и
методы обучения им, устанавливать дифференцированную норму нагрузки, исходя из уровня физической подготовленности, половых различий учащихся, состояния их здоровья, особенностей психических и личностных свойств.
Качество проведения урока зависит от того, как он будет построен. Под построением урока понимается:
а) четкое определение задач урока, вытекающих из задач четверти или системы уроков;
б) подбор и сочетание упражнений, решающих задачи урока;
в) выбор методических приемов обучения и организации учащихся
4. Структура построения урока по гимнастике
Логика любого учебно-воспитательного процесса требует последовательного включения занимающихся в познавательную деятельность, постепенного достижения необходимого уровня физической работоспособности, последовательного решения намеченных на данное занятие образовательных, оздоровительных и воспитательных задач, обеспечение хорошего послерабочего состояния организма, способствующего успешной последующей деятельности учащихся
Поэтому, как и другие уроки физического воспитания, урок по гимнастике также состоит из трех взаимно связанных частей: подготовительной, основной и заключительной. Такое деление урока вызвано необходимостью подготовки организма учащихся к предстоящей деятельности, определенного периода врабатывания всех органов и систем организма, повышение уровня работоспособности занимающихся.
Основная часть урока является определяющей и главенствующей в структуре урока. Именно в этой части урока проводится практически вся запланированная учебная работа с учениками и максимум нагрузки на их организм также даётся в этой части урока.
После такой нагрузки опять таки нужен определенный период времени для постепенного ее снижения до исходного или близкого к нему уровня. Этому посвящена заключительная часть урока.
4.1. Подготовительная часть урока
Цель подготовительной части урока – организовать класс и обеспечить физиологическую подготовку организма учащихся к предстоящей учебной работе.
Организация класса сводится к построению учащихся, проверки явки на уроках, объяснение основных задачи и содержания предстоящего урока. Построение является началом взаимоотношений между учителем и занимающимися. Объяснение задач урока и построения должно пробуждать у учащихся интерес к занятиям, а также повышать их деятельность и сознательность, активность. Необходимо, чтобы оно было кратким, ясным и понятным. Проверку явки на урок нужно максимально упростить, с тем, чтобы сохранить время для учебной работы.
Организация внимания сводится к тому, чтобы отвлечь учащихся от всего, что не имеет непосредственное отношение к уроку, и сосредоточить их внимание на предстоящей работе. Это достигается повышением интереса и сознательным отношением учащихся к учебной деятельности. Для этого часто используются специальные упражнения для того, чтобы сосредоточить внимание учащихся, - к ним относятся короткие, постепенно усложняющиеся комбинации движений, состоящие из шагов, прыжков, поворотов на месте и на ходу, приседов, хлопков и т.д. С той же целью используются упражнения для развития быстроты, ловкости, и точности реакций, заключающиеся в быстром выполнении непредвиденных распоряжений (лечь, встать, сесть и др.).
Подготовка организма учащихся к предстоящей учебной работе заключается в активизации деятельности функциональных систем организма (сердечно-сосудистой и дыхательной систем, повышение общего обмена веществ, разогревание мышц и др.) и центральной нервной системы. Средствами подготовительной части являются: построения и перестроения; ходьба мягким, обычным, высоким и пружинящим шагом, с перекатом с пятки на носок, другими способами; различные способы бега и прыжков; подскоки; танцевальные упражнения; преодоления препятствий; упражнения на внимание; общеразвивающие упражнения без предметов, с предметами и на снарядах (стенка, скамейка), в движении и на месте, в парах.
Продолжительность первой части урока зависит от подготовленности учащихся и условий, в которых он проводится. Порядок проведения подготовительной части урока может несколько меняться в зависимости от состояния места занятий, подготовки учащихся и задач урока. В целом, продолжительность подготовительной части урока колеблется от 7 до 12 минут.
Средства подготовительной части урока:
Строевые и прикладные упражнения (ходьба с различными заданиями, бег, прыжки, преодоление препятствий, метания и ловля), комплексы ОРУ, упражнения с заданием на быстроту и точность реакции, на координацию, различные подвижные игры.
4.2. Основная часть урока
В этой части урока решаются важнейшие задачи гимнастики -изучение и совершенствование гимнастических упражнений, развитие физических качеств (силы, гибкости, ловкости, быстроты, выносливости), совершенствование деятельности функциональных систем организма и психомоторики школьников.
Основная часть урока служит для формирования у учеников знаний о технике изучаемых двигательных действий и влиянии выполняемых упражнений на организм занимающихся, формировании знаний о мерах безопасности, приёмах страховки и самостраховки, для обучения учеников прикладным и специальным гимнастическим умениям и навыкам, для совершенствования у них двигательных качеств и воспитания этических и волевых качеств.
Планируя учебный материал на урок, определяя физиологическую нагрузку, учитель должен исходить из степени подготовленности учеников, интенсивности требуемого нервно-мышечного напряжения при выполнении того или иного упражнения и функционального состояния детей (уровня их работоспособности, степени утомления и т.д.).
Необходимо учесть, что с 5-го класса у учеников становятся более выраженными особенности в развитии организма мальчиков и девочек. С этого времени для девочек следует планировать несколько меньшую нагрузку, чем для мальчиков, особенно в упражнениях, связанных с силовым напряжением, лазанием, упражнениями в упоре и т.д.
Величина нагрузки планируется учителем при составлении конспекта к уроку. Подбирая упражнения, определяя очередность их выполнения, он одновременно может составить усредненную кривую нагрузки по пульсу. Для этого надо знать пульсовую стоимость планируемых упражнений при заданной дозировке (темп, количество повторений или время выполнения).
Исходный уровень пульсовой кривой можно определить, измерив показатели у 3-х - 5-ти учащихся разного уровня физической подготовленности. Полученный таким образом стартовый уровень пульсовой кривой, позволяет своевременно внести коррективы в интенсивность нагрузки, более точно регулировать ее в ходе самого урока, избегать перегрузки или недогрузки.
Способы дозирования физиологической нагрузки на уроках гимнастики следующие:
1. Изменение условий выполнения упражнений путем:
- изменение исходного положения;
- применения отягощений;
- использования сопротивлений (амортизаторы) или партнёра;
2. Изменение числа повторений упражнения
3. Изменение способа проведения упражнений путем:
- изменения темпа выполнения;
- применения поточного способа выполнения;
- выполнения упражнений в соединении с другими элементами или в комбинации;
- использования других мер, изменяющих трудность выполнения упражнения (ограничение пространства, зрительных ориентиров, времени выполнения и др.).
Продолжительность основной части зависит от продолжительности урока в целом. В школьном уроке продолжительностью в 45 мин, основная часть составляет от 28 до 35 мин.
Средства основной части урока:
Прикладные упражнения, упражнения на гимнастических снарядах, акробатика, опорные прыжки, упражнения для развития физических качеств, подвижные игры, полосы препятствий, эстафеты
4.3.Заключительная часть урока
Назначение заключительной части урока - завершение учебной работы учащихся, снижение нагрузки и приведения их организма в относительно спокойное состояние, подведение итогов урока и ориентирование учащихся на последующую деятельность. Заканчивая урок, необходимо обеспечить ровное, несколько повышенное эмоциональное состояние учащихся. Хорошим средством для решения этой задачи являются упражнения, направленные на успокоение и восстановление деятельности сердца и дыхания. Разбор урока и подведение итогов обычно сводится к оценке его основного содержания, поведения учащихся и постановки задач на будущее. В конце урока ученикам даются рекомендации и задания на дом.
Продолжительность заключительной части урока зависит от продолжительности подготовительной и основной части и колеблется от 3-х до 5 минут.
Средства заключительной части урока:
Упражнения на расслабление или внимание, игры на внимание, ходьба с упражнениями на дыхание, танцевальные шаги, строевые приёмы и др.
Заслуживает внимания и всемерного распространения опыт проведения образных или сюжетных уроков в младших классах, когда ученики, выполняя упражнения и различные задания, становятся персонажами различных сказок или мультфильмов. В такой урок можно внести элементы и атрибутику различных профессий, что одновременно будет способствовать профессиональной ориентации учащихся. Место проведения занятий превращается то в стартовую площадку для полета в космос, то в атомоход, бороздящий безбрежные просторы океана, то в автодром и т.д.
Положительная эмоциональная обстановка на подобных уроках обеспечивают каждому ученику возможность добиться успеха, испытать чувство радости и удовлетворения от своей деятельности и работы всего класса. Новизна таких урока достигается и своеобразной организацией класса: изменением места построения, включением песен, речитативов, элементов ритмики, музыки и другое.
5. Дозирование нагрузки на уроке.
Физическая нагрузка - это определенная мера влияния физических упражнений на организм занимающихся. Она характеризуется объемом и интенсивностью выполняемых упражнений. Объем нагрузки определяется и регулируется количеством выполненных упражнений, весом отягощений, длиной преодоленной дистанции и другое. Чем больше эти показатели, тем большим считается объём нагрузки. Интенсивность нагрузки характеризуется временем, затраченным на выполнение конкретного объема работы. Чем меньше время, затраченное на конкретную работу, тем считается выше её интенсивность.
Названные характеристики - это внешнее проявление нагрузки. Они используются при подготовке учителя к уроку. Дозирование нагрузки проводится путём изменения её объема и интенсивности.
Действием нагрузки является реакция организма на выполненную работу, а ее интегральным показателем - величина частоты сердечных сокращений (ЧСС).
Верхняя граница ЧСС после интенсивной нагрузки для учащихся основной медицинской группы – 170-180 уд/мин (возможны случаи для хорошо подготовленных учащихся - и до 200 уд/мин.)
Работой средней интенсивности следует считать такую, которая вызывает ЧСС 140-160 уд/мин, и низкой –110-130 уд/мин. В каждое занятие рекомендуется включать 2-3 коротких «пика» нагрузки продолжительностью до 2 мин при ЧСС 90-100% от максимальной.
В процессе урока, особенно тренировочного, для решения задач воспитания выносливости, быстроты, силы учитель должен контролировать частоту пульса учащихся. Он должен быть внимателен и к появлению первых внешних признаков утомления. Поэтому регламентировать нагрузку необходимо индивидуально, в зависимости от реакции организма занимающегося
Необходимо всесторонне оценить целесообразность тех или иных действий педагога, его усилий, направленных на обеспечение образовательного и воспитательного воздействия проведенного урока. В связи с этим, все его действия следует разделить на педагогически оправданные и нецелесообразные.
К педагогически оправданным относятся выполнение школьниками физических упражнений, участие в демонстрации, участие во взаимообучении, слушание педагога, наблюдение выполнения задания учителем и товарищами, осмысление воспринимаемого, планирование предстоящих действий, анализ выполнения движений, взаимоконтроль, оценивание, обсуждение, установка и перемещение снарядов, раздача и сбор инвентаря и учебных пособий, подготовка мест занятий, отдых.
К нецелесообразным действиям можно отнести неоправданные построения и перестроения, организационные «промашки» педагога, повлекшие дезорганизацию действий учеников, подготовку мест занятий без дальнейшего их использования и т.д.
Для всесторонней оценки уроков прибегают к их хронометрированию и определению реакции организма на предложенную нагрузку. С этой целью под наблюдение берется средний ученик. До начала урока у него замеряется исходная ЧСС. Со звонком к началу урока включается секундомер и не останавливается до конца урока. Наблюдающий последовательно записывает в специально подготовленный протокол все действия, в которых принимает участие выбранный ученик. Ведущий протокол сначала записывает показания секундомера, потом в соответствующей графе - очередное действие.
Время, затраченное на каждое действие, определяется путем вычета предыдущего показателя, зарегистрированного в графе 3, от очередного показателя секундомера.
Каждые четыре минуты показатели ЧСС того же ученика записываются в протокол. Первый замер пульса проводится до начала урока по физкультуре и считается нормой, второй - на четвертой минуте, последний - после окончания урока. Частота сердечных сокращений подсчитывается в течение 10 секунд. На основании показателей пульса выясняется реакция сердца на нагрузку, вызванная определенным упражнением или серией упражнений, а также динамика этих реакций на протяжении всего урока. В последнем случае вычерчивается "кривая нагрузки".
После окончания урока, полученные десятисекундные показатели пульса переводят в минутные, по которым оформляется графическое изображение динамики пульса в течение урока - его "кривая".
При анализе полученных данных учитывается тип урока и запланированное в конспекте содержание. Реальная кривая нагрузки оценивается с учетом общих требований к развертыванию работоспособности.
По высоте кривой условно можно судить об интенсивности нагрузки, а по величине площади между кривой и горизонтальной проекцией от исходного пульса - о ее объеме.
Оценка пульсовых данных и пульсовой кривой урока должна сопровождаться всесторонним анализом. Показатели пульса у разных лиц, как и у одного и того же лица в разное время и при разных обстоятельствах - не совпадают. Измеряют же, как правило, частоту сердечных сокращений лишь у одного занимающегося. Поэтому, объективно судить о нагрузке на уроке достаточно сложно. Кроме того, следует иметь в виду, что эти изменения происходят не только в зависимости от характера и величины мышечной работы, но и под влиянием эмоций, которые в уроках физического воспитания нередко достигают значительной силы. В этой связи, относительно правильная оценка показателей пульсометрии возможна лишь при учете данных педагогического наблюдения.
В протоколе фиксируется все действия занимающихся (двигательные, умственные и др.) и, в зависимости от эффективности деятельности учителя, могут быть целесообразными и нецелесообразными.
Все нецелесообразные затраты на работу и отдых определяются сразу по ходу хронометрированию и записываются в графу со знаком «минус», а целесообразные затраты времени – записываются в графу со знаком «плюс».
После окончания урока время граф суммируется по вертикали, и эти данные служат для определения плотности занятия.
Плотность занятия определяется в процентах путем соотношения суммы времени, затраченного рационально (графы со знаком «+») на все виды деятельности, ко времени всего урока (45 мин).
Различают 2 вида плотности – общую (полезную) и моторную (двигательную). Под общей плотностью урока понимается полезное время, использованное на уроке учениками на слушание объяснений учителя, просмотра и выполнения упражнений, различных других заданий. Другими словами, из общей плотности исключается бесполезно затраченное на уроке время.
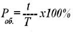
Общая плотность урока определяется отношением полезно затраченного времени ко всему времени урока:

где: Роб - общая плотность, Т - общее время урока; t - время, затраченное с пользой.
Подобным образом можно определить время, затраченное в уроке на активные полезные движения, или так называемую моторную плотность Она определяется по следующей формуле:

где: Рмот. - моторная плотность урока;
Т - общее время урока; t - время, затраченное на полезные активные движения
Сравнивая данные моторной и общей плотности урока, можно найти резервы повышения качества работы каждого учителя. Учитель должен стремиться к 100% общей плотности. В то же время нужно отметить, что если на уроках физкультуры по другим направлениям моторная плотность в тренировочных уроках - 70-80 %, а в учебных – примерно 50 %, то на уроках гимнастики эти показатели куда скромнее. И определять плотность урока необходимо как в целом, так и по частям. Это обусловлено неодинаковыми возможностями и условиями организации работы в подготовительной, основной и заключительной частях занятия.
Плотность урока зависит от многих факторов. Наиболее важные из них следующие:
- создание условий, при которых ученикам удается выполнять упражнения и задания наибольшее количество раз. Это можно достигать, во-первых, с помощью использования фронтального способа проведения занятий, при котором упражнения выполняются одновременно всеми учениками. И если, при этом, упражнения выполняются поточно, моторная плотность в это время составляет 100%. А при организации эстафет или игр учитель должен выбирать те из них, в которых к двигательной активности привлекается одновременно максимальное количество детей. Во-вторых, наименьшим составом учеников в группе на одном снаряде. Это позволит ученикам выполнять упражнения с более частым количеством подходов к снаряду.
- качество материальной базы. На уроке, если есть возможность, должны использоваться многопролетные снаряды, либо чаще использовать задания, проводимые на снаряде проходным способом;
- количество инвентаря. На уроках с использованием набивных мячей, палок, обручей необходимо обеспечить каждого ученика;
- использование эффективных методов организации деятельности занимающихся.
Следует использовать несколько мест занятий одновременно, когда ученики в своих группах занимаются на 2-3-х снарядах одновременно. В этом смысле проведение основной части урока по методу круговой тренировки с индивидуализацией двигательных заданий является наиболее эффективной.
В младших и средних классах можно использовать задания, проводимые проходным способом (например, полоса препятствий, на которой закрепляются ранее разученные упражнения на снарядах);
- организация дополнительных мест для выполнения подводящих и подготовительных упражнений, широкое использование дополнительных заданий;
- интенсификация организационных действий на уроке, подготовка мест занятий и инвентаря до урока;
- привлечение к уроку детей, временно освобожденных от занятий; - краткость объяснений, замечаний, обсуждений.
На учебном уроке общая плотность урока, в идеале должна приближаться к 100%. В отличие от общей плотности, моторная плотность урока в идеале не стремится к 100%. По суммарному показателю моторной плотности всего урока нельзя судить о качестве его проведения. Моторная плотность может постоянно изменяться в процессе урока.
Естественно, разные по направленности уроки изначально обуславливают разный уровень плотности урока.
6. Способы организации учебной работы на уроке
По признаку вовлечённости учащихся в учебную работу, занятие может быть организованно 3-мя способами: фронтальным, групповым и индивидуальным способом.
Фронтальный способ заключается в одновременном исполнении всеми занимающимися упражнений и заданий. Чаще всего этот способ используется в подготовительной и заключительной частях урока. В младших классах, где учебная программа по гимнастике одинакова для мальчиков и девочек, учитель также старается основной части урока использовать фронтальный способ проведения занятия. Его вариантами являются: а) одновременное выполнение упражнений всеми занимающимися на месте; б) одновременное выполнение упражнений в движении.
При этом способе проведения занятий желательно использовать несложные по технике исполнения или ранее хорошо разученные упражнения, не требующие помощи и страховки.
Групповой способ применяется, как правило, в основной части урока. Суть его состоит в том, что занимающиеся делятся на группы (отделения) по полу, уровню физической или гимнастической подготовленности. Каждая группа выполняет упражнения на определенном снаряде, а затем по команде педагога меняется местами. В группе занимающиеся выполняют упражнение поочередно или один выполняет упражнение, а другие оказывают помощь, страхуют, исправляют ошибки.
При групповом способе занятий, для лучшей организации процесса обучения, учитель старается использовать заранее подготовленных помощников из учеников этого класса, как капитанов групп. Учитель поручает капитанам проведение в своих группах заданий, контролирует последовательно каждую группу, отдавая приоритет в первую очередь наиболее опасному, с точки зрения травматизма виду занятий. Для капитанов могут быть подготовлены специальные карточки-задания с описанием последовательности выполнения заданий, их дозировкой и т.д. Капитаны следят также за порядком в группах, оказывают помощь занимающимся, обеспечивают страховку и др.
При индивидуальном способе каждый ученик выполняет свое задание самостоятельно или под наблюдением педагога на отведенном ему месте. Задание дается с учетом функциональных возможностей организма, развития двигательных, психических способностей и личностных свойств. Индивидуальный способ занятия может использоваться также для отдельных учеников, в то время как с остальными учениками занятие организовано фронтальным или групповым способом.
7. Организационные аспекты урока
Организация урока складывается из подготовки к нему учителя и учеников, подготовки инвентаря и оборудования, организации учебной работы на уроке, своевременного начала и окончания урока.
Подготовка учителя предусматривает: тщательное планирование урока с учетом условий, в которых он будет проходить; составление конспекта занятия. Внешний вид учителя, его поведение в течение урока являются для учеников примером, и от того, каким будет этот пример, зависит авторитет учителя.
Подготовка инвентаря и оборудования состоит в том, что перед началом урока учитель проверяет их наличие, исправность, удобно располагает инвентарь в зале или заранее готовит его.
Подготовка учеников к уроку заключается в подготовке ими своего спортивного костюма в зависимости от условий, в которых будет проходить занятие, в своевременности и готовности к началу урока.
Распределение и сбор мелкого инвентаря (гимнастические палки, скакалки, обручи, гантели и др.) могут осуществляться:
а) самим учителем; б) специально назначенным учеником; в) каждым учащимся самостоятельно.
Каждый из способов может выполняться по-разному: передвигаться к месту раздачи в колонне по одному и брать нужный предмет самостоятельно или из рук назначенного к раздаче ученика, самостоятельно выходить из строя и брать нужный предмет. При этом надо приучать учеников к следующим требованиям: передвигаться, никого не задевая, брать предметы, не выбирая, без разрешения не выполнять с ними никаких движений, в получении и сдаче предметов мальчики должны уступать первенство девочкам.
Помощники учителя. С целью лучшей организации и качества проведения урока учитель выбирает в помощь себе наиболее подготовленных в гимнастике, дисциплинированных и ответственных учеников. По мере надобности с ними проводятся краткие инструктажи с целью обучения приемам помощи и страховки, технике исполнения и методике обучения несложным упражнениям. Работа помощников периодически оценивается, укрепляется их авторитет среди учащихся.
Место учителя перед учащимися на уроке выбирается с таким расчетом, чтобы он мог видеть всех учеников, наблюдать за действиями каждого из них, чтобы учащиеся хорошо видели и слышали своего педагога и не мешали друг другу при выполнении упражнений.
Личный пример педагога должен обладать большой побудительной силой для проявления самых активных и старательных действий учащихся. Точность исполнения команд, распоряжений, просьб, активное следование личному примеру педагога зависят от его делового авторитета, справедливой требовательности во всем и уважительного отношения к занимающимся.
Люди также интересуются этой лекцией: Умение излагать свои мысли.
Литература
1. Гимнастика: Учеб. Для студ. Высш. Пед. Учеб.заведений // Под ред. Журавина М.Л., Меньшикова Н.К. - 2-е изд., стер. - М.: Издательский центр «Академия». - 2002. - 448 с.
2. Головин С.Ю. Словарь практического психолога. - Мн.: Харвест. - 1998. - 800 с.
3. Петров П.К. Методика преподавания гимнастики в школе // Учеб. для студ. высш. учеб. заведений. - М.: Гуманит. изд. центр ВЛАДОС. - 2000. - 448 с.
4. Шитикова Г.Ф. Методы контроля эффективности педагогического процесса на уроках физического воспитания // Учебно-метод. пособие. - СПб, ГАФК им.П.Ф.Лесгафта. - 1997 г. - 43 с.




















