Часть 4
КАТАБОЛИЗМ АМИНОКИСЛОТ.
80% аминокислот, которые поступают в организм из желудочно-кишечного тракта, используются для синтеза белков. Остальные 20% вступают в метаболические процессы. Все эти процессы можно разделить на 2 группы:
1. Общие пути катаболизма аминокислот (для всех аминокислот они одинаковы). В них принимает участие общая часть молекулы аминокислоты.
2. Специфические пути метаболизма для каждой отдельной аминокислоты (разные для разных аминокислот) - участвуют радикалы аминокислот. Это - особенности обмена отдельных аминокислот.
ОБЩИЕ ПУТИ КАТАБОЛИЗМА АМИНОКИСЛОТ
1. Декарбоксилирование
2. Дезаминирование
3. Трансаминирование (переаминирование)
ДЕКАРБОКСИЛИРОВАНИЕ
Рекомендуемые материалы
В природе встречаются разные типы декарбоксилирования аминокислот. В организме человека происходит только окислительное декарбоксилирование. Ферменты - декарбоксилазы. Их простетическая группа представлена пиридоксальфосфатом - это активная форма витамина В6:
|
|
В реакциях декарбоксилирования участвует альдегидная группа пиридоксальфосфата:
Аминокислота соединяется с активным центром фермента, в состав которого входит альдегидная группа ПФ. Образуются Шиффовы основания (альдимины и кетимины). В результате СООН-группа становится лабильной и отщепляется в виде СО2. Далее происходит гидролиз до соответствующего амина. Эта реакция необратима. Отнятие СО2 происходит без окисления.
Субстратная специфичность декарбоксилаз очень разная.
|
|
1. ГЛУТАМАТДЕКАРБОКСИЛАЗА - высокоспецифичный фермент. Работает в клетках серого вещества головного мозга. Катализирует реакцию превращения глутаминовой кислоты в гамма-аминомасляную кислоту (ГАМК).
ГАМК является медиатором тормозных импульсов в нервной системе. ГАМК и ее аналоги применяются в медицине как нейротропные средства для лечения эпилепсии и других заболеваний.
2. ОРНИТИН-ДЕКАРБОКСИЛАЗА - высокоспецифичный фермент. Катализирует превращение орнитина в путресцин:
|
|
Образующийся ПУТРЕСЦИН (диаминобутан) является трупным ядом. В результате присоединения остатков пропиламина из путресцина могут образоваться СПЕРМИН и СПЕРМИДИН, содержащие 3 (у спермина) или 4 (у спермидина) имино- или аминогруппы.
|
|
Спермин и спермидин относятся к группе биогенных полиаминов. Введение полиаминов в организм снижает температуру тела и кровяное давление. Полиамины принимают участие в процессах пролиферации клеток и роста тканей, а также в регуляции биосинтеза белка. Они являются ингибиторами некоторых ферментов, в том числе протеинкиназ.
Орнитиндекарбоксилаза - это первый фермент на пути образования путресцина и остальных полиаминов, это регуляторный фермент процесса.
В культуре клеток добавление некоторых гормонов ускоряет биосинтез орнитиндекарбоксилазы в 10-200 раз.
Период полужизни орнитиндекарбоксилазы - 10 минут.
Добавление в культуру клеток самих полиаминов приводит к индукции биосинтеза другого белка - ингибитора орнитиндекарбоксилазы. При раковых заболеваниях обнаружено резкое увеличение секреции полиаминов и повышение их экскреции с мочой.
3. ГИСТИДИНДЕКАРБОКСИЛАЗА
Этот фермент имеет абсолютную субстратную специфичность - превращает гистидин в гистамин:
|
|
Гистамин является медиатором и содержится в нервных клетках и в тучных клетках. Обладают сильным сосудорасширяющим действием. Особенно много его выделяется в очаге воспаления. Гистамин играет важную роль в проявлении аллергических реакций.
Известно 2 типа рецепторов к гистамину:H1 и H2.
Эффекты гистамина:
- расширение капилляров и повышение сосудистой проницаемости;
- понижение артериального давления;
- повышение тонуса (спазм) гладких мышц - в том числе гладкой мускулатуры бронхов;
- усиление секреции желудочного сока;
Некоторые из этих эффектов позволяют гистамину принимать участие в формировании аллергических проявлений.
Антигистаминные препараты применяются с целью предотвратить образование гистамина и обладают противовоспалительным и антиаллергическим действием. По механизму действия некоторые из них являются ингибиторами гистидин-декарбоксилазы, а другие конкурируют с гистамином за взаимодействие с рецепторами клеток.
Например, лекарственный препарат циметидин и его аналоги блокируют Н2-рецепторы и таким образом понижают секрецию желудочного сока. Применяются при лечении язвенной болезни желудка.
Блокаторы Н1-рецепторов используются в основном как противоаллергические средства - димедрол, тавегил, супрастин, пипольфен, грандаксин. Некоторые из этих препаратов вызывают сонливость.
4. ДЕКАРБОКСИЛАЗА АРОМАТИЧЕСКИХ АМИНОКИСЛОТ
Имеет широкую субстратную специфичность. Превращает несколько разных аминокислот:
а) триптофан - в триптамин
б) 5-окситриптофан - в триптамин (серотонин)
в) 3,4-диоксифенилаланин - в дофамин
г) гистидин - в гистамин

Серотонин вырабатывается в нервной ткани. Некоторые виды головных болей (мигрени) связаны с избыточной выработкой серотонина. Серотонин сужает сосуды, регулирует свертывание крови. Обладает антиаллергическим действием. Триптамин обладает сходным эффектом.
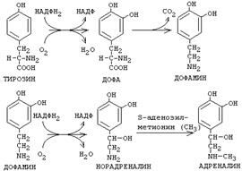
Аминокислота фенилаланин может в результате окисления присоединять две ОН-группы в кольце и превращаться в диоксифенилаланин (ДОФА). Из него под действием ДЕКАРБОКСИЛАЗЫ АРОМАТИЧЕСКИХ АМИНОКИСЛОТ образуется дофамин. Дофамин является предшественником катехоламинов - норадреналина и адреналина.
|
|
Кроме функции предшественника, ДОФАмин имеет свои специфические функции. Если ДОФА метилируется, то образуется a-метил-ДОФА. Это соединение является сильным ингибитором декарбоксилазы ароматических аминокислот. Применяется как лекарственный препарат для понижения артериального давления (называется - альдомет).
БИОЛОГИЧЕСКОЕ ЗНАЧЕНИЕ РЕАКЦИЙ ДЕКАРБОКСИЛИРОВАНИЯ АМИНОКИСЛОТ
1. Реакции необратимы - приводят к необратимому распаду аминокислот.
2. Образуется значительное количество СО2 - конечного продукта метаболизма, который выводится из организма.
3. Образуются амины, которые обладают высокой биологической активностью. Поэтому такие амины называют биологически активными или биогенными аминами. Они являются медиаторами, с помощью которых сигнал передается от одной клетки к другой и от одной молекулы к другой.
ИНАКТИВАЦИЯ БИОГЕННЫХ АМИНОВ
Если биогенные амины обладают высокой биологической активностью, то они должны быстро разрушаться после выполнения своей функции.
В организме имеются механизмы, позволяющие разрушать биогенные амины.
МЕХАНИЗМЫ ИНАКТИВАЦИИ:
|
|
1. Метилирование по оксигруппам тех аминов, которые такие группы содержат, либо включают оксигруппы в свою молекулу после гидроксилирования.
Ферменты - О-МЕТИЛТРАНСФЕРАЗЫ. Они переносят метильную группу на кислород. Источник метильного радикала: S-Аденозилметионин.
После присоединения аденильного остатка АДФ к сере метионина, метильная группа метионина становится очень мобильной и легко переносится на разные вещества. В том числе и на кислород оксигрупп.
2. Окисление амина по аминогруппе с целью дезаминирования.
Главный путь инактивации биогенных аминов - их окисление под действием оксидаз с отщеплением аминогруппы. В результате исчезает биологическая активность амина.

Рекомендация для Вас - 13.2. Распределение скоростей в щелевом зазоре.
Оксидазы биогенных аминов: моноаминооксидаза (МАО), диаминооксидаза (ДАО), полиаминооксидаза.
Оксидазы отнимают два протона и два электрона и передают их сразу на кислород. Образуется перекись водорода, а амин превращается в ИМИН. Этот имин легко гидролизуется без участия фермента и превращается в альдегид. Простетической группой ферментов оксидаз является ФАД или ФМН, т.е. они являются флавопротеинами.
Вторая реакция (гидролиз) необратима. Образовавшийся в итоге альдегид легко окисляется до карбоновой кислоты, которая распадается до СО2 и H2O. МАО в клетке больше, чем ДАО.
Угнетение МАО приволит к замедлению распада биогенных аминов. Такие лекарства продлевают период существования биогенных аминов, что особенно важно при их недостатке.
Эти вещества играют роль антидепрессантов и используются, в частности, при лечении шизофрении.
Аминокислоты декарбоксилируются в цитоплазме, а окисление аминов происходит в наружной мембране митохондрий. Поскольку реакция декарбоксилирования аминокислот и разрушение биогенных аминов происходят не одновременно, то биогенные амины могут некоторое время существовать и выполнять свою биологическую функцию.





























