Распределение скоростей в щелевом зазоре
13.2. Распределение скоростей и касательных напряжений в щелевом зазоре
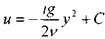
После интегрирования полученного дифференциального уравнения получим:

Величина постоянной интегрирования может быть получена исходя из условия, что скорость на гране пластины равна 0, т.е. при
, и = 0 . ^
5

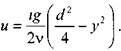
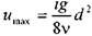
В центре потока скорость будет максимальной, т.е. при у = О

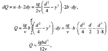
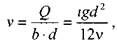
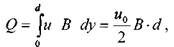
Вычислим величину средней скорости потока, для чего найдём величину расхода через щель. Элементарный поток жидкости dQ в тонком слое dy будет равен:
Рекомендуемые материалы
откуда:
откуда средняя скорость в потоке.

т.е. для потока в тонкой щели соотношение между средней скоростью и максимальной иное, чем в круглой трубе:
Потери напора будут равны.
3
Если одна из пластин будет двигаться относительно другой неподвижной пластины с постоянной скоростью, а давление в щели будет постоянным по всей длине, то при таком параллельном перемещении движущаяся пластина будет увлекать за собой жидкость. Такое перемещение жидкости называется безнапорным фрикционным движением. Выделим
в этом потоке элементарный объём жидкости также в виде параллелепипеда.

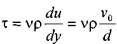
Поскольку величины сил давления на левую и правую боковые грани одинаковы, то для равновесия необходимо, чтобы и силы трения, действующие
вдоль верхней и нижней граней выделенного отсека тоже были одинаковыми.

f
j
После интегрирования получим:

Величины постоянных интегрирования получим при следующих условиях:
при у = О и - 0 , при
Следовательно:
и,
т.е. будем иметь закон распределения
скоростей по сечению зазора

Таким образом, скорость по сечению зазора распределяется по линейному закону. Величина касательных напряжений постоянна по сечению зазора:

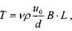
Тогда сила трения, действующая на пластину, будет равна:

расход жидкости через зазор:
Вместе с этой лекцией читают "Водолазные квалификационные комиссии".

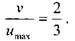
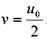
т.е. средняя скорость фрикционного потока равна половине максимальной скорости:

Выводы, полученные для плоских пластин легко перенести на криволинейные поверхности, если допустить, что радиус кривизны такой поверхности бесконечно велик по сравнению с шириной зазора, что соответствует действительности.
В то время, когда жидкость проникает в узкую щель между неподвижными стенками зазора, на поверхности стенок происходит адсорбция поляризованных молекул жидкости, обусловленная силами межмолекулярного взаимодействия. В результате этого на поверхности стенок образуется фиксированный слой жидкости, обладающий значительной прочностью на сдвиг, а живое сечение щели уменьшается. Это явление носит название облитерации Интенсивность облитерации зависит от свойств жидкости. Сложные по строению высокомолекулярные жидкости обладают значительно большей степенью облитерации, по этой причине разного рода смазки являются подходящим средством для уплотнения соединений и устранения возможных утечек.
Явление облитерации необходимо учитывать при запуске оборудования, когда приходится преодолевать дополнительные усилия на страгивание простаивающих элементов оборудования.























