Лекция 5 - Уравнения и передаточные функции
Лекция № 5
Тема:
Уравнения и передаточные функции замкнутых импульсных систем.
План лекции:
1. Уравнения и передаточные функции простейшей замкнутой импульсной системы.
2. Структурные преобразования в импульсных системах.
1. Уравнения и передаточные функции простейшей замкнутой импульсной системы.
![]() |
Рассмотрим замкнутую систему с импульсным элементом в цепи сигнала ошибки и единичной обратной связью. Структурная схема системы приведена на рис.10.
Рис.10
Запишем уравнение замыкания для дискретных моментов времени t=nT, n=0,1,...
x[n]=f[n]-y[n]. (26)
Для получения уравнения замкнутой системы воспользуемся уравнением разомкнутой системы
Рекомендуемые материалы
. (27)
Подставив уравнение (26) в формулу (27), получим
(28)
Для получения передаточной функции замкнутой импульсной системы применим Z -преобразование к обеим частям уравнения (28). С использованием теоремы свертки получим
,
откуда
(29)
Выражение

определяет передаточную функцию замкнутой импульсной системы для управляемой переменной по входному воздействию. Из уравнения (29) и уравнения замыкания в изображениях
X(z)=F(z)-Y(z)
получим для изображения ошибки
. (30)
Выражение

представляет собой передаточную функцию замкнутой системы по ошибке.
Пусть

Найдем передаточную функцию замкнутой импульсной системы по отношению к сигналу g(t) на выходе звена с передаточной функцией
(рис.11). Выражение, связывающее переменные x(t) и g(t) в дискретные моменты времени имеет вид
![]() |
где
- весовая характеристика звена с передаточной функцией
.
Рис.11
Применив Z-преобразование к обеим частям последнего уравнения, получим
,
где

и, с учетом формулы (30), найдем
.
Таким образом, искомая передаточная функция имеет вид

Пример. Найти передаточные функции замкнутой системы
и
. Приведенная непрерывная часть системы та же, что и в примере предыдущей лекции.
В результате решения предыдущего примера было найдено

Тогда
;
.
2. Структурные преобразования в импульсных системах.
При анализе сколько-нибудь сложных импульсных САУ невозможно обойтись без структурных преобразований, сопровождающихся определением эквивалентных передаточных функций отдельных элементов цепи. Правила структурных преобразований дискретных систем имеют отличия от правил преобразования непрерывных систем, вызванные наличием импульсных элементов. Рассмотрим некоторые возможные структуры импульсных систем.
1.Система с импульсным элементом на входе. Структурная схема системы с ИЭ на входе, соответствующая этому случаю, была рассмотрена ранее (см. рис. 8 ) и получены соотношения

2.Последовательное соединение непрерывных звеньев, разделенных импульсными элементами. Структурная схема системы в этом случае представлена на рис.12. Разбив схему на части, каждая из которых состоит из одного непрерывного звена и импульсного элемента перед ним, получим

![]() |
Рис.12
Исключив промежуточные переменные, найдем

т.е. Z -передаточная функция последовательного соединения звеньев, разделенных ИЭ, равна произведению z-передаточных функций этих звеньев.
![]() |
3. Последовательное соединение непрерывных звеньев с одним импульсным элементом на входе. Структурная схема данной системы представлена на рис.13.
Рис.13
В этом случае эквивалентная передаточная функция непрерывной части имеет вид

после чего соединение сводится к схеме 1. т.е.

4. Параллельное соединение непрерывных звеньев с импульсным элементом на входе. Структурная схема системы показана на рис.14. В соответствии с определением Z-передаточной функции и свойством линейности
-преобразования имеем

где

т.е. Z-передаточная функция соединения равна сумме Z -передаточных функций отдельных звеньев, составлявших параллельное соединение.
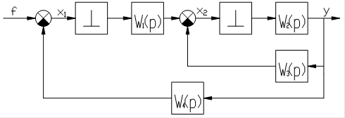
5. Элементарная структура соединения с обратной связью. Структурная схема этой системы представлена на рис.15.
![]() | ![]() | ||
Рис. 14. Рис. 15.
На основании результата п. 1 запишем

где

Добавив уравнение замыкания

и исключив из зависимостей
получим выражение для передаточной функции соединения
.
В частном случае при
имеем
и приходим к результату, полученному ранее.
В общем случае вычисление эквивалентной передаточной функции системы с большим числом импульсных элементов можно производить в следующей последовательности:
1. Ввести вспомогательные переменные, приняв за них сигналы на входах ИИЭ, входящих в схему.
2. Связать введенные вспомогательные координаты, входную и выходную переменные системы между собой с помощью Z-передаточных функций.
З. Исключить промежуточные переменные и разрешить записанную систему уравнений относительно выходной переменной.
4. Записать эквивалентную Z -передаточную функцию системы.
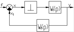
Пример. Найти Z-передаточную функцию импульсной системы, структурная схема которой представлена на рис.16.
![]() |
Рис.16
Введем вспомогательные переменные
и запишем систему уравнений в изображениях:

где

Выполнив промежуточные преобразования, получим

В лекции "1. Способы описания изображения в КТ" также много полезной информации.
откуда следует

и тогда

Таким образом, эквивалентная z-передаточная функция системы по входному сигналу имеет вид






























