Вещества, экстрагируемые органическими растворителями из кислых водных растворов
5. 4. Вещества, экстрагируемые органическими растворителями из кислых водных растворов
К этой группе токсических веществ относятся барбитураты, производные ксантина, отдельные алкалоиды и некоторые другие ядовитые соединения (салициловая кислота и её производные).
5.4.1. БАРБИТУРАТЫ И МЕТОДЫ ИХ ИССЛЕДОВАНИЯ
В современной медицине применяется большое число барбитуратов (производных барбитуровой кислоты). Барбитураты представляют собой одну из групп веществ, имеющих большое токсикологическое значение. Сама барбитуровая кислота (малонилмочевина) не применяется в медицине, зато широко используются ее производные.
Барбитуровая кислота может быть получена при взаимодействии мочевины и диэтилового эфира малониловой кислоты:

Барбитуровая кислота является циклическим уреидом и может рассматриваться как производное пиримидина (2,4,6-триоксипиримидин). Атомы водорода метиленовой группы в 5-ои положении пиримидинового цикла, а также водород, стоящий у атомов азота в 1 и 3 положениях, подвижны и способны замещаться различными органическими радикалами, атом кислорода в положении 2 также способен замещаться на атом S. На этих свойствах и основан синтез производных барбитуровой кислоты.
Общую формулу барбитуратов можно изобразить следующим образом:

Рекомендуемые материалы
где R1, R2, R3 – радикалы, содержащие от 1 до 7 атомов углерода.
В зависимости от заместителей 1(3) и 5 положениях пиримидинового кольца, а также наличия во 2-ом положении атома О и S все барбитураты можно разделить на 3 группы:
1. 5,5-замещенные производные (двузамещенные), из которых наиболее часто применяются:
1. Барбитал R1 и R2 –C2H5
2. Фенобарбитал R1 -С2Н5 R2 -С6Н6
3. Барбамил R1 –С2Н5 R2 -СН2-СН2-СН(СН3)2
4. Этаминал-натрий R1 -С2Н5 R2 –СН-СН2-СН2-СН3
|
СН3
5. Бутобарбитал R1 С2Н5 R2 –C4H9
2. N-замещенный барбитураты (трехзамещенные):
1. Гексенал R1 –СН3 R3 –CH3 R2 – C6H5
2. Бензонал R1-CH5 R2-C6H5 R3 –CO-C6H5
3. Бензобамил R1-C2H5 R2 –CH2-CH2-CH (CH3)2
3. Тиобарбитураты (атом кислорода во 2 положении замещен на атом серы):
1. Тиопентал-натрий R1-C2H5 R2 –СН-СН2-СН2-СН3
|
СН3
СН3
По физическим свойствам все барбитураты представляют собой белые кристаллические вещества без запаха, горького вкуса, лишь тиопентал имеет желтоватый оттенок и обладает слабым запахом серы.
Кислотные (молекулярные) формы барбитуратов растворимы в эфире, хлороформе, спирте и некоторых других органических растворителях, натриевые производные – в воде.
Барбитураты имеют высокие температуры плавления, возгоняются без разложения, что используется для их очистки от посторонних примесей при выделении из биоматериала.
Химико-токсикологическое исследование барбитуратов
Этапы исследования:
1. Изолирование из объекта.
2. Очистка полученного извлечения.
3. Идентификация
4. Количественное определение
1 этап. Выбор метода изолирования определяется характером объекта и поставленными перед химиком задачами.
Для целей клинического исследования случае острых отравлений, а также в судебно-химической лаборатории, когда объектами исследования являются промывные воды желудка, диализат, небольшое количество крови и мочи, извлечение барбитуратов проводится непосредственно экстракцией органическим растворителем. В качестве экстрагентов используются эфир, хлороформ, дихлорэтан и др. Количество извлеченных барбитуратов составляет 70-90%. Однако, непосредственная экстракция, как правило, дает извлечение загрязненные соэкстрактивными веществами (жирами, белками, пигментами) и требует последующей дополнительной очистки.
При исследовании трупного материала (внутренних органов):
а) при общем (ненаправленном) судебно-химическом анализе изолирование барбитуратов проводится подкисленным спиртом и подкисленной водой. Последующая экстракция их из кислого водного раствора осуществляется органическим растворителем, чаще эфиром или хлороформом. Максимальные количества барбитуратов извлекаются в интервале рН 1-3, т.к. при данном значении рН барбитураты существуют в молекулярной форме, которая хорошо растворяется в органических растворителях и ограниченно в воде. Изолирование подкисленной водой и подкисленным спиртом обеспечивает выход барбитуратов порядка 25-30% (некоторые барбитураты изолируются этанолом на 50% - (барбамил, этаминал-Na, фенобарбитал).
б) При специальном (частном, направленном) исследовании на производные барбитуровой кислоты проводят извлечение подщелочённоё водой по методу Валова. Выход барбитуратов> 50% при достаточной чистоте выделенных веществ. Существует ряд методов, основанных на изолировании барбитуратов органическими растворителями (ацетонитрилом, ацетоном, хлороформом, смесью спирта и хлороформа) с последующей очисткой выделенных веществ.
2 этап. Очистка извлеченных барбитуратов от балластных веществ.
Как правило, барбитураты, выделенные из биологического материала, содержат примеси посторонних веществ, которые извлекаются совместно с барбитуратами и являются нормальными компонентами организма (жиры, белки, пигменты, дубильные, смолообразные вещества и др.). Соэкстрактивные (балластные) вещества мешают дальнейшей идентификации и определению барбитурата.
Выбор метода очистки зависит, в основном, от количества изолированного вещества и, до некоторой степени, от его химического строения. При больших количествах барбитуратов чаще используют экстракционный метод очистки и микросублимацию (возгонку).
Экстракционная очистка основана на способности барбитуратов к имидо-имидольной таутомерии и на различной растворимости имидной и имидольной форм в воде и органических растворителях. Используя реэкстракцию барбитурата раствором гидроксида натрия из органической фазы, тем самым освобождаются от сопутствующих веществ, нерастворимых в воде (натриевые соли хорошо растворимы воде и извлекаются ею). Последующее выделение барбитурата из водной фазы проводят после подкисления водного раствора (рН=2) экстрагированием органическим растворителем. При этом барбитурат в молекулярной форме извлекается органическим растворителем, а в водной фазе остаются балластные вещества, не растворимые в органическом растворителе.
Микросублимация основана на способности барбитуратов возгоняться без разложения при нагревании.
Возгонка проводится в нагревательной камере прибора Кофлера, либо в упрощенном виде, с одного предметного стекла на другое, верхнее из которых охлаждается, а нижнее с исследуемым остатком нагревается.
При малых количествах выделенных веществ чаще используют хроматографические методы очистки (ионообменную и гель-хроматографию на колонке, ТСХ, ВЭТСХ, ВЭЖХ).
С точки зрения простоты, доступности и разрешающей способности наибольшего внимания заслуживают ТСХ, ВЭТСХ. Они позволяют не только очистить выделенные вещества от примесей, но и разделить целый ряд барбитуратов при их совместном присутствии, а также отделить барбитураты от их метаболитов и провести предварительную идентификацию по величине Rf.
3 этап. Для идентификации барбитуратов используют химические, физические и физико-химические методы анализа.
К химическим методам можно отнести реакции окрашивания барбитуратов.
Наиболее известны следующие реакции:
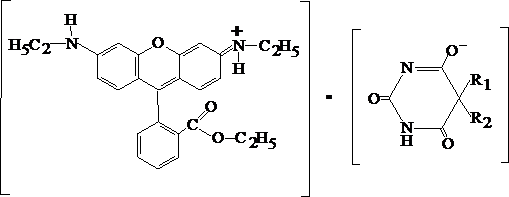
1. С солями кобальта в щелочной среде. В результате реакции образуется комплекс состава Co(NH3)6OHBarb2, окрашенный в красно-фиолетовый цвет. Чувствительность реакции 30 мкг. Реакция неспецифична для барбитуратов. Её могут давать и другие соединения, по химическому строению сходные с барбитуратами (теобромин, теофиллин, биурет, некоторые сульфаниламиды).
2. С солями меди в присутствии пиридина образуется комплекс состава СuРуг2 Вагb2) красно-фиолетового цвета (тиобарбитураты - зеленого цвета).
3. С солями ртути в присутствии дифенилкарбазона (ДФК) барбитураты образуют комплексные соединения, окрашенные в сине-фиолетовый цвет. Реакция широко используется для обнаружения барбитуратов на хроматограмме Чувствительность ее достигает 0,5 мкг. Реакция неспецифична для барбитуратов.
4. Мурексидная проба (дают также пуриновые алкалоиды).
ОБЩИЕ РЕАКЦИИ НА БАРБИТУРАТЫ
1. Реакция с аммиачным раствором кобальта (П) нитрата (ацетата)
В выпарительную чашку к сухому остатку (после удаления хлороформа) прибавляют 1 каплю свежеприготовленного реактива, состоящего из 1 мл 1% спиртового раствора кобальта нитрата и 1 мл 25% раствора аммиака. Избыток реактива стряхивают в сторону и наблюдают окрашивание сухого остатка. При наличии барбитуратов появляется розово–фиолетовое окрашивание.

Открываемый минимум реакции 5 мг.
2. Мурексидная проба
В фарфоровую чашку к сухому остатку прибавляют 3 капли 3% раствора водорода пероксида и 3 капли реактива, содержащего соль Мора и аммония хлорид. Содержимое чашки выпаривают и нагревают сухой остаток до появления белых паров. После охлаждения прибавляют 3 капли 6 М раствора аммония гидроксида. При наличии некоторых барбитуратов и тиобарбитуратов появляется розовая окраска.



Мурексид
Открываемый минимум реакции различен для каждого из барбитуратов. В среднем 3 – 5 мг. Эту реакцию дают также производные пурина.
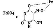
3. Реакция образования железистой соли изонитробарбитуровой кислоты
Остаток после удаления органического растворителя в фарфоровой чашке смешивают с 0,04 г аммония хлорида в 10 мл водорода пероксида. Полученный раствор выпаривают досуха на водяной бане, изредка перемешивая. Не снимая чашки с водяной бани, остаток растворяют в 1 – 2 мл воды очищенной и смешивают до получения жидкости желтоватого цвета с 4 – 6 каплями реактива. Нагревают около 30 сек на кипящей водяной бане, добавляют 0,1 г кристаллического натрия нитрита и по каплям 7% раствор хлороводородной кислоты до рН = 3 – 4. При нагревании в течение 3 мин возникает пурпурная или розовая окраска. Чашку снимают и по охлаждении добавляют по каплям 5% раствор натрия гидроксида до слабощелочной реакции, фильтруют, вносят кристаллик железа (II) сульфата – появляется синее окрашивание.

Открываемый минимум 50 мг.
Микрокристаллические реакции
В микрокристаллоскопическом анализе барбитуратов использована их способность образовывать характерные кристаллические осадки при взаимодействии с солями тяжелых металлов (хлорцинкйодом, железо- и медно-йодидным комплексами, медно-пиридиновым реактивом) и выпадать в осадок из растворов концентрированной серной кислоты при понижении ее концентрации (выделение кислотной формы барбитурата).
Формы образующихся кристаллов характерны для каждого отдельного барбитурата. Чувствительность реакции достигает мкг и даже десятых долей мкг.
Обладая высокой чувствительностью, доказательностью и специфичностью, микрокристаллические реакции не лишены и ряда недостатков:
- их проведение требует высокой степени чистоты исследуемого вещества, наличие примесей снижает чувствительность реакции, а также мешает правильной кристаллизации.
-производные барбитуровой кислоты склонны к полиморфизму образующихся кристаллов. В зависимости от ряда факторов - концентрации вещества, скорости кристаллизации, температуры, наличия посторонних примесей - барбитураты способны образовывать кристаллы различной формы, что затрудняет идентификацию отдельных веществ по форме кристаллов.
1. Выделение кислотной формы барбитуратов
На предметное стекло наслаивают несколько капель хлороформного раствора исследуемого вещества, удаляя хлороформ при комнатной температуре. Следующую каплю наносят после испарения предыдущей. Сухой остаток растворяют в капле концентрированной серной кислоты. Через 3 – 5 мин после охлаждения раствора рядом с ним наносят каплю воды. Затем эти капли соединяют при помощи капилляра. Через 10 – 20 мин (а при малых количествах барбитуратов через 1 – 2 ч) появляются кристаллические осадки. Для каждого барбитурата кристаллы кислотной формы отличаются по внешнему виду.
2. Реакция с хлорцинкиодидом
На предметное стекло наносят несколько капель хлороформного раствора исследуемого вещества и выпаривают досуха. К сухому остатку прибавляют 1 каплю 96 % этанола и каплю раствора хлорцинкиодида. Через 10 – 15 мин под микроскопом наблюдают форму образовавшихся кристаллов.
Открываемый минимум 4 мг.
3. Реакция с железойодидным комплексом
К сухому остатку (после удаления хлороформа) прибавляют 1 каплю 96% этанола и 1 каплю реактива. Через 10 – 15 мин под микроскопом наблюдают форму образовавшихся кристаллов.
4. Реакция с меднойодидным комплексом
К сухому остатку исследуемого вещества на предметном стекле добавляют 1 каплю 96% этанола и каплю медноиодидного комплекса. Через 10 – 15 мин наблюдают образование кристаллических осадков.
Открываемый минимум 0,6 мг.
5. Реакция со спиртовым раствором калия йодида
К сухому остатку на предметном стекле добавляют 1 каплю спиртового раствора калия йодида в присутствии серной кислоты, через 5 – 10 мин образуются хорошо оформленные кристаллические осадки.
Открываемый минимум 0,5 мг.
6. Реакция с меднопиридиновым реактивом
К сухому остатку на предметном стекле прибавляют 2 каплю 10% раствора аммиака и 1 – 2 капли меднопиридинового реактива. Через 10 – 15 мин наблюдают под микроскопом характерные сростки кристаллов бледно–фиолетового цвета.
Открываемый минимум 13,7 мг.
7. Реакция с родамином 6 Ж
В делительную воронку вносят 0,1 мл раствора исследуемого вещества, прибавляют 0,2 мл 0,1% раствора родамина 6 Ж и 1 мл четыреххлористого углерода. Смесь взбалтывают в течение 1 мин. При наличии солей барбитуратов слой четыреххлористого углерода приобретает светло–оранжевую или оранжево–красную окраску. При взаимодействии образуются окрашенные ионные ассоциаты, которые экстрагируются четыреххлористым углеродом.

Таблица 2. Физические свойства барбитуратов и хромогенные реакции на функциональные группы
| Барбитураты | Растворимость | Другие частные реакции, применяемые для исследования остатков таблеток, порошков и др. т.п. | |||
| Вода | Орг. раст. | Щел. среда | H2SO4 конц. | ||
| 1 | 2 | 3 | 4 | 5 | 6 |
| Барбамил
| + | ¾ | + | + | При нагревании водного раствора с 20% раствором п-диметиламинобензальдегида в концентрированной серной кислоте, появляется стойкое тёмно–красное окрашивание с зелёной флюоресценцией. |
| Барбитал
| ¾ | + | + | + | |
| Этаминал–натрий
| + | ¾ | + | + | Реакции: а) с родамином 6Ж; б) с п-диметиламинобензальде-гидом в концентрированной серной кислоте (см. барбамил). |
| Бензонал
| ¾ | + | + | + | Реакция образования азокрасителя (см. фенобарбитал). |
| Фенобарбитал
| ¾ | + | + | + | Небольшое количество вещества растворяют в 3 мл концентрированной серной кислоты. К этому раствору прибавляют 0,5 г калия нитрата и нагревают 10 мин на кипящей водяной бане, затем охлаждают и прибавляют 10 мл воды, при наличии осадка его отфильтровывают и перекристаллизовывают из этанола. Нитрогруппу восстанавливают в аминогруппу, а затем обнаруживают при помощи реакции диазотирования и получения азокрасителя. Реакция специфична, но малочувствительна. |
| Гексенал
| + | ¾ | + | + | Реакции: а) нагревание с реактивом Марки, появляется светло–коричневое флюоресцирующее окрашивание; б) нагревание с ванилин–серной кислотой, появляется вишнёво–красное окрашивание; г) нагревание со спиртовым раствором ванилина, 2 мл разв. Н2SO4 и 10 мл воды очищенной, наблюдается фиолетово–красное окрашивание. |
Из физических и физико-химических методов анализа применение нашли ТСХ ВЭТСХ, ВЭЖХ, спектроскопия в УФ и ИК o6ластях спектра.
Хроматография в тонком слое используется в качестве предварительного испытания на наличие производных барбитуровой кислоты. Они дают возможность разделить несколько 6aрбитуратов при их совместном присутствии и идентифицировать каждый барбитурат в случае комбинированного отравления. ТСХ позволяет также отделить барбитураты от их метаболитов и провести очистку полученного извлечения от балластных веществ. Хроматографирование ведут на пластинках с закрепленным слоем силикагеля в системах растворителей:
1) хлороформ-ацетон (9:1) - для разделения N - замещенных и 5 5-замещенных производных, система является общей в скрининге лекарственных веществ кислого и нейтрального характера.
2) толуол - ацетон - этанол - 25% раствор аммиака (45:45:7,5:2,5) (применяется в экспресс- анализе интоксикаций)
3) хлороформ - н-бутанол - 25% раствор аммиака (70:40:5) - в качестве частной системы для разделения 5,5 -замещенных барбитуратов.
Детектирование веществ на хроматограмме проводится двумя реагентами: дифенилкарбазоном (ДФК) и HgS04. При этом в местах расположения барбитуратов возникают красно- или сине-фиолетовые пятна. Идентификация проводится по величине Rf (отношение длины пробега вещества к длине пробега растворителя). Хроматографирование ведут параллельно метчикам (А), в качестве которых используют хлороформные растворы барбитуратов с известной концентрацией.
Применение метчиков наряду с расчетом Rf обусловлено невоспроизводимостью Rf из-за трудности соблюдения стандартных условий при хроматографировании. Чувствительность реакции барбитуратов с ДФК и HgSО4 достигает 0,5 мкг, однако, она неспецифична, поэтому дальнейшее подтверждение присутствия барбитурата производится микрокристаллическими реакциями, исследованием в УФ-области спектра после элюирования вещества с пластинки подходящим растворителем (боратный буфер с рН=10).
Спектроскопическое исследование барбитуратов чаще проводят в области длин волн 200-400 нм, т.е. в УФ-области спектра, получая электронные спектры поглощения (что обусловлено наличием в структуре системы хромофоров и ауксохромов). Способность барбитуратов к абсорбции в УФ-области связана с их таутомерными превращениями.
Для 5,5-замещенных производных:
1. Имидная форма (рН 2) не абсорбирует в УФ области, т.к. здесь отсутствует хромофорная система (система сопряженных простых и двойных связей).
2. Имидольная форма (рН 10) уже имеет такую систему и обладает характерным поглощением с mах=240 нм.
3. Диимидольная форма также обладает характерным поглощением с mах=255-260 нм. Здесь происходит удлинение хромофорной системы за счет образования еще одной двойной связи и, соответственно этому батохромный сдвиг максимума (в длинноволновую область).
В отличие от 5,5-двузамещенных барбитуратов, трехзамещенные имеют лишь одну ионизированную форму (имидольную), поэтому их поглощение не меняется с переходом от рН 10 к рН 13, и они обладают одним максимумом в щелочной среде при длине волны 245 нм.
Таким образом, УФ-спектроскопия дает возможность дифференцировать барбитураты в зависимости от типа замещения в пиримидиновом кольце на:
1. Двузамещенные (рН 2 - нет max, рН 10 - 240 нм, рН 13 -255-260 нм).
2. Трехзамещенные (рН 2 - нет max, рН 10 и рН 13 -245 нм).
3. Тиобарбитураты (рН 2 - 239 нм и 290 нм, рН 10 - 255 и 310 нм, рН 13 – 310 нм).
Однако, дифференциация отдельных представителей внутри каждого из типов замещения затруднительна, т.к. их спектры сходны между собой.
Применение спектральных методов анализа требует высокой степени чистоты выделенных веществ и должно сочетаться с их хроматографической очисткой.
Заключение о присутствии барбитуратов дается по комплексу результатов реакций, ХТС и УФ-спектроскопии.
4 этап. Для количественного определения барбитуратов в настоящее время используется спектрофотометрический метод. При спектрофотометрическом определении барбитуратов, выделенных из биологического материала, используют принцип дифференциальной спектрофотомерии, т.к. прямому СФ-определению мешают посторонние вещества, извлекающиеся из объекта исследования совместно с барбитуратами.
В I варианте концентрацию барбитурата в растворе (после его элюирования с пластинки) определяют по разности абсорбции в щелочном - рН 10 и кислом - рН 2 растворах при l=240 нм.
DD=DрH10-DpH2
Во II варианте - по разности абсорбции в щелочных рН 13 и рН 10 растворах при l=260нм.
DD=DpH13-DpH10|
Использование принципа дифференциальной спектрофотомерии возможно, когда поглощение примесей при выбранной длине волны не зависит от рН среды. Тогда при вычитании оптических плотностей происходит уничтожение абсорбции примесей, что дает возможность получать истинные результаты количественного определения.
Расчет концентрации ведут по уравнению закона Бугера-Ламберта-Бера:
DD = Е1% * L *С, откуда С = DD /E 1% * L, где
С - концентрация вещества в %;
DD - дифференциальная оптическая плотность (абсорбция);
Е1% - удельный показатель поглощения (численно равен поглощению 1% раствора при толщине слоя 1 см). Рассчитывается заранее для каждого барбитурата по растворам с известной концентрацией.
L- толщина светопоглощающего слоя (1 см)
С точки зрения чувствительности определения наиболее выгодным оказывается 1 вариант, т.к. он дает большую DD. Однако, в коротковолновой области при l=240 нм сильнее проявляется мешающее влияние примесей, поэтому чаще этот вариант используют в сочетании с предварительной хроматографической очисткой.
Во 2 варианте DD несколько меньше, в связи с чем ниже и чувствительность определения, но одновременно снижается влияние примесей в более длинноволновой области при 260 нм. Поэтому увеличивается надежность определения. Этим вариантом можно пользоваться даже без предварительной хроматографической очистки, например, при работе с биологическими жидкостями (кровь, моча), не подвергшимися гнилостному разложению.
Определение концентрации барбитуратов в биологических жидкостях позволяет:
а) установить тяжесть отравления и контролировать эффективность проводимого лечения в условиях клиники при острых отравлениях барбитуратами,
б) в посмертных случаях позволяет сделать заключение о приеме токсических или терапевтических доз, т.е. ответить на вопрос - явилось ли найденное вещество причиной смерти.
Токсические уровни барбитуратов в крови обычно превышают десятки мкг/мл, а при тяжелых отравлениях, заканчивающихся смертельным исходом, - сотни мкг/мл.
Токсикологическое значение барбитуратов обусловлено, с одной стороны, их сильным фармакологическим действием (список Б, барбамил и этаминал - список А), а с другой стороны - сравнительной доступностью для населения.
Опасность отравления усиливается способностью барбитуратов к кумуляции, т.е. накоплению в организме даже при приеме терапевтических доз. В настоящее время известно о возможном пристрастии к этой группе препаратов и о синергизме при совместном приеме с алкоголем, опиатами и психотропными средствами (транквилизаторами, алкалоидами белладонны и др.), что усиливает токсикологическое значение барбитуратов.
Токсичность. Смертельной дозой барбитуратов считают одномоментный прием 10 разовых доз каждого из препаратов или их смеси с различными индивидуальными различиями (фенобарбитал -2,0, этаминал-Na -1,0). Иногда же эта доза достигает 4 и даже 6-10 г (барбитал).
Токсикокинетика барбитуратов
(всасывание, распределение, метаболизм, выделение)
Всасывание. Все барбитураты, являясь слабыми кислотами (рКа=7,2-3,0), при физиологическом значении рН легко всасываются в желудке и тонком кишечнике способом пассивной диффузии. Этот процесс значительно ускоряется в присутствии алкоголя. Наибольшие концентрации в плазме достигаются для барбитала через 4-8 часов, фенобарбитала - 12-18 часов. Ослабление перистальтики кишечника в глубоком коматозном состоянии может задержать пребывание барбитуратов в желудке до нескольких суток.
Распределение. Барбитураты распределяются по тканям и биологическим жидкостям организма, однако концентрация их может быть различной в зависимости от нескольких факторов:
1. Степени ионизации молекул (при физиологическом значении рН).
2. Жирорастворимости (липофильности)-N-замещенные более липофильны.
3. Степени связывания с белками.
4. Интенсивности кровотока и др.
Связь барбитуратов с белками плазмы в количественном отношении:
барбамил - 50-60%,
этаминал-натрий -50-55%
фенобарбитал - 15%
барбитал -5%
Свободная фракция барбитуратов, в основном, определяет физиологическую активность препарата. Чем меньше связь барбитуратов с белками плазмы, тем в большей степени они выделяются с мочой в неизменённом виде. Наибольшие концентрации барбитуратов определяются в печени, почках селезенке, крови и тканях мозга.
Метаболизм. В организме барбитураты могут подвергаться ряду превращений. Выделяются 4 основных типа превращений:
- Окисление радикалов в 5-ом положении до спиртов, кислот и кетонов (введение группы -ОН вместо Н в метиленовой группе, присоединение -ОН к фенильному радикалу, окисление конечной -СН3 группы до карбоксильной группы)

2. Потеря радикала у атома N в случае 3-х замещенных производных и превращение их в дизамещенные производные:
а) деметилирование гексенала

б) дебензоилирование бензонал и бензобамил и превращение их в фенобарбитал и кислотную форму барбамила соответственно

- Десульфирование тиобарбитуратов

- Гидролиз (распад пиримидинового кольца)
Выделение.
Наиболее устойчивым из барбитуратов является барбитал, который на 65-85% выводится в неизменённом (нативном) состоянии с мочой. Барбамил, этаминал-Na, бутобарбитал почти полностью разрушаются в печени и выводится почками лишь в виде следов (10%). Гексенал и тиопентал полностью разрушаются в печени (при введении терапевтических доз) и выводятся в виде метаболитов.
Повторное поступление барбитуратов в организм вызывает развитие толерантности к ним; что зависит от стимуляции активности микросомальных ферментов печени и снижения чувствительности со стороны ЦНС.
Токсикодинамика (развитие отравлений)
Барбитураты принадлежат к обширной группе лекарственных препаратов снотворного действия, которые обладают способностью избирательного токсического действия на ЦНС, что приводит к угнетению всех ее основных функций. В клинической картине острых отравлений барбитуратами и другими снотворными и седативными средствами выделяют 4 ведущих клинических синдрома:
1. Коматозное состояние и другие неврологические расстройства (оглушённость, сон, отсутствие рефлексов).
2. Нарушение дыхания.
3. Нарушение функции сердечно-сосудистой системы.
4. Трофические расстройства и нарушение функций почек (соматогенная фаза отравления).
(1 - 3 симптомы соответствуют токсикогенной фазе отравления)
1 синдром: для коматозного состояния, вызванного угнетающим действием барбитуратов на ЦНС, характерна определенная стадийность, когда последовательно развиваются явления:
1. Оглушения и глубокого сна -1 стадия комы.
2. Поверхностная кома с повышением или снижением сухожильных рефлексов и реакций зрачков на свет -2 стадия комы.
3. Глубокая кома с арефлексией (отсутствие рефлексов} и отсутствием реакции на болевое раздражение - 3 стадия комы.
Глубокая кома сопровождается нарушением дыхания и кровообращения. Определение содержания барбитуратов в крови методом спектрофотомерии позволяет отметить определенную зависимость развития коматозного состояния от уровня этих препаратов в крови. Так, поверхностная кома наблюдается при содержании
Этаминала-натрия 0,1 г/л (100 мкг/мл)
Барбамила 0,3 г/л (300 мкг/мл)
Фенобарбитала > 0,4 г/л (400 мкг/мл)
Концентрация барбитуратов в спинномозговой жидкости примерно соответствует содержанию их в крови, а в моче значительно выше, но не зависит от глубины коматозного состояния.
Таким образом, количественное определение барбитуратов значительно облегчает дифференциальную диагностику отравлений при коме неясной этиологии.
2 синдром: нарушения внешнего дыхания являются наиболее частыми и грозными осложнениями коматозных состояний. Они отмечаются у 11% больных с данной патологией и требуют незамедлительной дыхательной реанимации (бронхорея - слизь в бронхах, гиперсаливация - усиленное слюноотделение, западение языка, ларингоспазм или аспирация (вдыхание) промывной жидкости - аспирационно-обтурационная форма нарушения внешнего дыхания). Центральная форма - как прямое угнетение центров продолговатого мозга (дыхательного центра) снотворными средствами. После ликвидации острых нарушений внешнего дыхания основной причиной дыхательной недостаточности становятся воспалительные процессы в легких - пневмонии и трахеобронхиты.
3 синдром: основными клиническими симптомами нарушения функций сердечно-сосудистой системы при данной патологии служат явления тахикардии и гипотонии.
4 синдром: заметное место в клинической симптоматике отравлении снотворными занимают трофические расстройства. Они отмечаются в виде буллезного дерматита и некротического дерматомиозита, протекающего по типу быстро развивающихся пролежней, что указывает на местное расстройство кровообращения. Возникновение нарушений функции почек при данной патологии, в основном, связано с развитием острой сердечной недостаточности (коллапсом).
Смерть при отравлении барбитуратами наступает от паралича дыхательного и сосудодвигательного центров. При смертельных исходах после отравления барбитуратами картина вскрытия нехарактерна, поэтому химико-токсикологическое исследование внутренних органов (особенно печени и мозга), крови и мочи приобретают особое значение.
Данные о сохраняемости барбитуратов в трупном материале разноречивы: от нескольких дней до нескольких лет (1-3 года), что зависит от химического строения барбитурата и условий хранения биоматериала.
5.4.2. КИСЛОТА САЛИЦИЛОВАЯ

о-оксибензойная кислота
Реакции обнаружения:
1. Реакция образования трибромфенола

К остатку после удаления растворителя в фарфоровой чашке добавляют 1-2 кап. воды очищенной и 1 кап. этанола, жидкость перемешивают и добавляют 2-3 кап. насыщенного раствора бромной воды.
При наличии кислоты салициловой образуется белый осадок.
Реакция высокочувствительна, но неспецифична и имеет отрицательное судебно-химическое значение.
2. Реакция с железа (III) хлоридом

а) К остатку после удаления растворителя в фарфоровой чашке добавляют 1 кап. свежеприготовленного раствора железа (III) хлорида Появляется сине-фиолетовое окрашивание, не исчезающее от добавления 2-3 кап. этанола.
б) На фильтровальную бумагу помещают 1 капли свежеприготовленного раствора железа (III) хлорида и подсушивают. Затем на то же место наносят 1-2 капли исследуемого извлечения - тотчас появляется сине-фиолетовое окрашивание.
3. Реакция образования метилсалицилата
СН3ОН + HOSО3H → CH3OSО3H + Н2О

В пробирку помещают несколько капель исследуемого раствора, растворитель удаляют при слабом нагревании на водяной бане, к остатку добавляют 2-3 кап. конц. серной кислоты., 2-3 кап. метанола и нагревают на водяной бане. Появляется характерный запах метилового эфира кислоты салициловой.
4. Реакция образования ауринового красителя
Часть сухого остатка помещают в чашку и сверху наносят 1 каплю реактива Марки. При наличии салициловой кислоты наблюдают красное окрашивание.
Реакция неспецифична.

ПРОИЗВОДНЫЕ ПИРАЗОЛОНА
5.4.3. АНТИПИРИН

Белый кристаллический порошок, слабо горького вкуса, без запаха, хорошо растворяется в воде, спирте, хлороформе, хуже в эфире. Экстрагируется органическим растворителем из кислых растворов.
Реакции обнаружения
1. Реакция с железа (III) хлоридом
К сухому остатку в фарфоровой чашке прибавляют 1 каплю 5% железа (III) хлорида. При наличии антипирина появляется кроваво–красная или оранжево–красная окраска.
Реакция неспецифична.

ферропирин
2. Реакция образования нитрозоантипирина
Сухой остаток растворяют в 3 –5 каплях воды очищенной, прибавляют 2 – 4 капли 10% раствора серной кислоты и 2 – 3 капли насыщенного раствора натрия нитрита. При наличии антипирина появляется зелёная окраска; при больших количествах может выпасть зелёный осадок.

3. Реакция образования азокрасителя
В пробирку вносят 2 – 5 капель хлороформной вытяжки, которую выпаривают досуха на водяной бане. К сухому остатку прибавляют 1 –2 капли воды, 1 каплю ледяной уксусной кислоты и каплю 5% раствора натрия нитрита. Смесь оставляют на 5 мин при периодическом взбалтывании. Затем добавляют небольшое количество мочевины. После прекращения выделения пузырьков газа прибавляют 3 – 4 кристаллика a–нафтиламина и нагревают пробирку на водяной бане 1 – 2 мин. В зависимости от количества антипирина появляется тёмно– или светло–фиолетовая окраска.

изб. HNO3 +
® 2 N2 + CO2 + H2О

Реакция чувствительна и специфична.
С помощью данной реакции можно отличить антипирин от амидопирина.
4. Микрокристаллическая реакция с солью Рейнеке
К сухому остатку на предметном стекле добавляют каплю воды и каплю реактива. Через 3 – 5 мин. начинается кристаллизация. Кристаллы в форме дендритов и сростков из призм (см. альбом «микрокристаллоскопические реакции»).
5.4.4. АМИДОПИРИН

Белый кристаллический порошок, слабо горького вкуса, без запаха, хорошо растворяется в воде, спирте, хлороформе. Экстрагируется из кислых и щелочных растворов.
Реакции обнаружения
При действии на амидопирин окислителей образуется ряд окрашенных промежуточных продуктов. При дальнейшем окислении этих продуктов образуется диоксиамидопирин (бесцветные кристаллы):

1. Реакция с железа (III) хлоридом
На предметное стекло наносят раствор исследуемого вещества и выпаривают досуха, а затем прибавляют каплю 1% железа (III) хлорида, появляется фиолетовая окраска, исчезающая от избытка реактива.
2. Реакция с серебра нитратом
В пробирку вносят 2 – 3 капли водного раствора исследуемого вещества, прибавляют 3 – 5 капель 1% раствора серебра нитрата и нагревают на водяной бане в течение 3 – 5 мин. Появление фиолетовой окраски указывает на наличие амидопирина в растворе. При больших количествах амидопирина может выпасть чёрный осадок металлического серебра.
3. Реакция с кислотой азотистой
На предметное стекло наносят несколько капель раствора исследуемого вещества и выпаривают досуха. К остатку прибавляют 1 каплю воды, 1 каплю 10% раствора серной кислоты и несколько капель насыщенного раствора натрия нитрита. При наличии амидопирина появляется фиолетовая окраска, исчезающая от избытка реактива.
Если присутствует и антипирин, то вначале появляется фиолетовая окраска (амидопирин), а под влиянием избытка реактива фиолетовая окраска исчезает, а появляется зелёная (антипирин).
4. Реакция с раствором йода в хлороводородной кислоте
К остатку амидопирина на предметном стекле прибавляют 1 – 2 капли раствора йода в концентрированной хлороводородной кислоте – выделяется через некоторое время осадок в виде призматических кристаллов.
5. Микрокристаллическая реакция с аммония тетрароданодиаминохромиатом (Ш) (солью Рейнеке)
Несколько капель хлороформного раствора испаряют на предметном стекле. Полученный осадок растворяют в капле воды, а затем прибавляют каплю реактива. При наличии амидопирина тотчас начинается кристаллизация. Форма кристаллов – сферолиты и сростки из розовых призм (см. альбом «микрокристаллоскопические реакции»).
ПРОИЗВОДНЫЕ КСАНТИНА
5.4.5. КОФЕИН

Кофеин является алкалоидом, который содержится в кофе, чае и некоторых других растениях. Экстрагируется органическими растворителями из кислых и частично из щелочных растворов.
Реакции обнаружения
1. Мурексидная реакция
5 – 6 капель хлороформного раствора исследуемого вещества помещают в фарфоровую чашечку, и растворитель испаряют без нагревания. К сухому остатку прибавляют 0,5 – 1 мл насыщенного раствора бромной воды и выпаривают на водяной бане досуха. К окрашенному в буроватый цвет остатку подносят на стеклянной палочке 1 каплю 25% раствора аммиака. Остаток в чашке при наличии кофеина приобретает пурпурно–фиолетовое окрашивание.

диметилаллоксан диметилдиалуровая кислота


2. Кофеин даёт осадки с реактивами Драгендорфа, Зонненшейна, Шейблера и др.
3. Реакция с реактивом Несслера
При нагревании раствора с реактивом Несслера (на кипящей водяной бане) в течение 1 – 2 мин появляется красно–бурый осадок.
4. Реакция с ртути (II) хлоридом
На предметное стекло наслаивают 2 – 3 капли исследуемого хлороформного раствора. На сухой остаток после удаления хлороформа наносят каплю 0,1 моль/л раствора хлороводородной кислоты и каплю 5% раствора ртути (II) хлорида, через 10 – 15 мин образуются крупные, шелковистые, бесцветные иглообразные кристаллы.
Открываемый минимум 9,4 мкг.
5.4.6. ТЕОБРОМИН

Алкалоид пуринового ряда, содержится в бобах какао, некоторое количество содержится в чае. Трудно растворяется в воде, спирте, эфире, хлороформе. Экстрагируется органическими растворителями из кислых и частично из щелочных растворов.
Реакции обнаружения
1. Мурексидная реакция
(См. кофеин)
2. Реакция с реактивом Несслера
(См. кофеин) В отличие от кофеина появляется слабо–коричневая окраска.
3. Реакция с аммиачным раствором кобальта (П) нитрата
(См. обнаружение барбитуратов). Реакция используется для отличия от кофеина.

4. Микрокристаллическая реакция с реактивом Драгендорфа
Раствор исследуемого вещества в хлороформе наносят на предметное стекло и при комнатной температуре выпаривают досуха. К сухому остатку прибавляют каплю 10% раствора хлороводородной кислоты и каплю реактива Драгендорфа. Через 10 – 15 мин появляются тёмно–красные игольчатые кристаллы, собранные в пучки. Параллельно проводят реакцию с фармакопейным препаратом.
Открываемый минимум 19 мкг.
Кофеин в таких же условиях даёт более мелкие кристаллы.
5.4.7. ТЕОФИЛЛИН

Алкалоид пуринового ряда, по химическому строению является изомером теобромина. Небольшое количество содержится в листьях чая. Экстрагируется органическими растворителями из кислых и частично из щелочных растворов.
Реакции обнаружения
1. Мурексидная реакция
(См. кофеин).
Лекция "1.1. Значение производства" также может быть Вам полезна.
2. Реакция с диазотированной сульфаниловой кислотой
Продукт реакции:

Теобромин не дает этой реакции!
3. Реакция с аммиачным раствором кобальта (П)нитрата
(Методику см. обнаружение барбитуратов). Реакция используется для отличия от кофеина.


























