Уравнение движения сплошной среды в напряжениях
Уравнение движения сплошной среды в напряжениях.
Рассмотрим элементарный параллелепипед с ребрами
. Объем его
. На него действуют массовые и поверхностные силы определяемые главным вектором внешних сил
. К параллелепипеду применим закон сохранения количества движения:


Для определения главного вектора поверхностных сил рассмотрим все силы, дающие проекцию на ось х. Для граней перпендикулярных х проекцию дают только силы, создаваемые нормальными напряжениями. Поэтому равнодействующая этих сил равна:

Аналогично для граней перпендикулярных z получим равнодействующую равную: 
Равнодействующая поверхностных сил в проекции на ось х равна: 
Вам также может быть полезна лекция "4.4. Команды передачи данных".
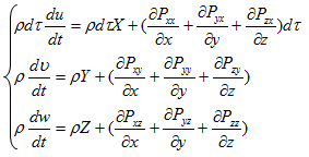
Тогда закон сохранения количества движения в проекции на х можно записать:

Полученная система называется системой уравнений движения сплошной среды в напряжениях. В левой части стоит полная производная от скоростей, которые могут быть расписаны через локальные и конвективные составляющие ускорения. При определенных условиях левая часть значительно упрощается (стационарное, двухмерное или одномерное течение).
Т.к. 
систему можно записать в виде одного уравнения в векторной форме записи:
























