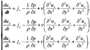
Система дифференциальных уравнений Навье-Стокса
5. Динамика реальной (вязкой жидкости)
При изучении движения реальной (вязкой жидкости) можно пойти двумя разными путями:
воспользоваться готовыми дифференциальными уравнениями и их решениями, полученными для идеальной жидкости. Учёт проявления вязких свойств осуществляется с помощью введения в уравнения дополнительных поправочных членов уравнения, вывести новые уравнения для вязкой жидкости.
Для практической инженерный деятельности более приемлемым следует считать первый полуэмпирический путь, второй следует использовать лишь в тех случаях, когда требуется детальное изучение процесса движения вязкой жидкости. По этой причине ограничимся лишь записью систем дифференциальных уравнений Навье - Стокса и поверхностным анализом этих уравнений.
5.1. Система дифференциальных уравнений Навье - Стокса

Люди также интересуются этой лекцией: 9 Удаление невидимых линий.
При
= const и
= const система уравнений значительно упростятся:

Пренебрегая величинами вторых вязкостей
и считая жидкость несжимаемой
(р = const), уравнения Навье - Стокса запишутся в следующем виде:

К уравнениям Навье - Стокса в качестве дополнительного уравнения принимается уравнение неразрывности. Учитывая громоздкость и трудность прямого решения задачи в практической деятельности (в случаях, когда это считается допустимым) решение достигается первым методом (по аналогии с движением идеальной жидкости).






















