Уравнение Бернулли
5.2. Уравнение Бернулли для элементарной струйки вязкой жидкости
Выделим в элементарной струйке жидкости двумя сечениями 1 - 1 и 2 - 2 отсек жидкости. Отсек жидкости находится под действием сил давления
и сил тяжести на жидкость в отсеке действуют также силы инерции самой движущейся жидкости, а также силы трения, препятствующие перемещению
жидкости. В результате действия сил внутреннего трения часть механической энергии жидкости расходуется на преодоление возникающих сопротивлений. По этой причине величины гидродинамических напоров в сечениях будут неодинаковы. Естественно, что
//2 .Тогда разность гидродинамических напоров в крайних сечениях отсеков
будут как раз характеризовать потери напора на преодоление сил трения. Эта величина носит название потерь напора на трение
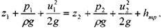
В этом случае уравнение Бернулли примет следующий вид:

- потери удельной энергии (преобразование потенциальнойэнергии жидкости в тепловую энергию при трении).
Величина
носит название гидравлического уклона.























