Уравнение неразрывности для элементарной струйки
3.4 Уравнение неразрывности для элементарной струйки жидкости
Выделим в элементарной струйке жидкости двумя сечениями 1 - Г и 2 - 2' малый отсек жидкости длиной dl. Объём жидкости внутри выделенного отсека
Масса жидкости, вошедшая в элементарную трубку тока за временной интервал dt, будет равна:

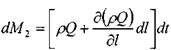
Масса жидкости, вытекшая за это же время через противоположное сечение отсека:
1 В данном разделе для удобства записи вместо принятых ранее обозначений площади сечения элементарной струйки жидкости dS и элементарного расхода жидкости dQ используются обозначения: S и Q.

За тот же интервал времени масса жидкости внутри отсека изменится на величину:
Вам также может быть полезна лекция "8. Эволюция этики делового общения".
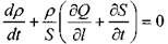
^ * откуда
*
Окончательно формула может быть представлена в виде

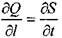
При установившемся движении жидкости (р = const) уравнение неразрывности примет вид:
























